A Case Study of Improving Yield Prediction and Sulfur Deficiency Detection Using Optical Sensors and Relationship of Historical Potato Yield with Weather Data in Maine
Abstract
:1. Introduction
- Can GBAO sensors predict dryland potato yield?
- Is there any difference in yield predicting abilities of two sensors under dryland potato cultivation?
- Do N sources affect sensors prediction models?
- Does LAI help in improving yield and NDVI relationship in potatoes?
- Could sensors detect S deficiencies in potatoes?
- Is there any relationship between weather data and dryland potato yield in Maine conditions?
2. Material and Methods
2.1. Location Treatments
2.2. Weather Data and Soil Data
2.3. Ground-Based Active-Optical (GBAO) Sensor Descriptions and Sensing Procedure
2.4. Harvesting
2.5. Statistical Analysis
3. Results
3.1. Nitrogen Analysis, Economics, and Specific Gravity
3.2. Sensor Data Analysis
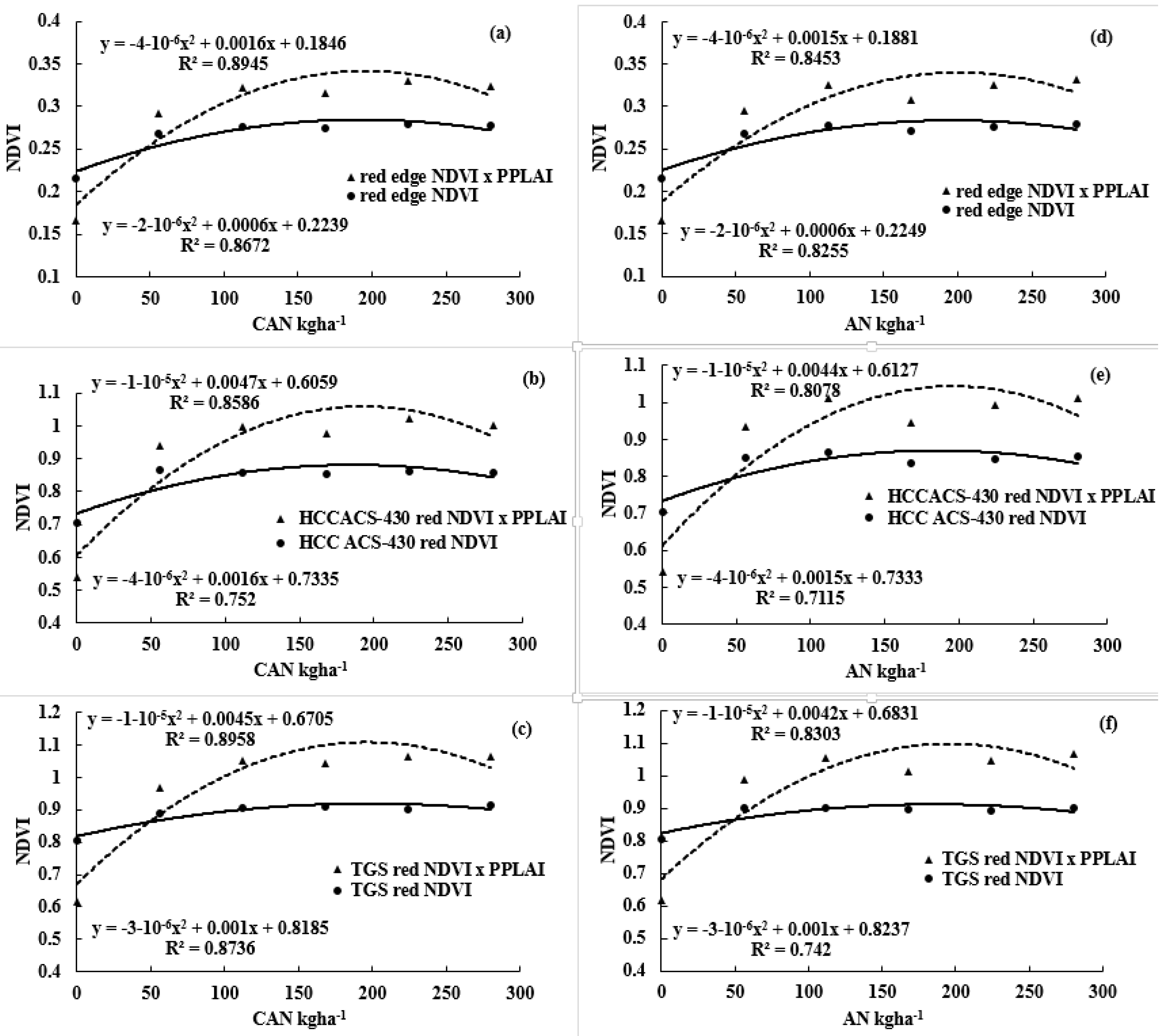
3.3. Multiplied PPLAI with NDVI
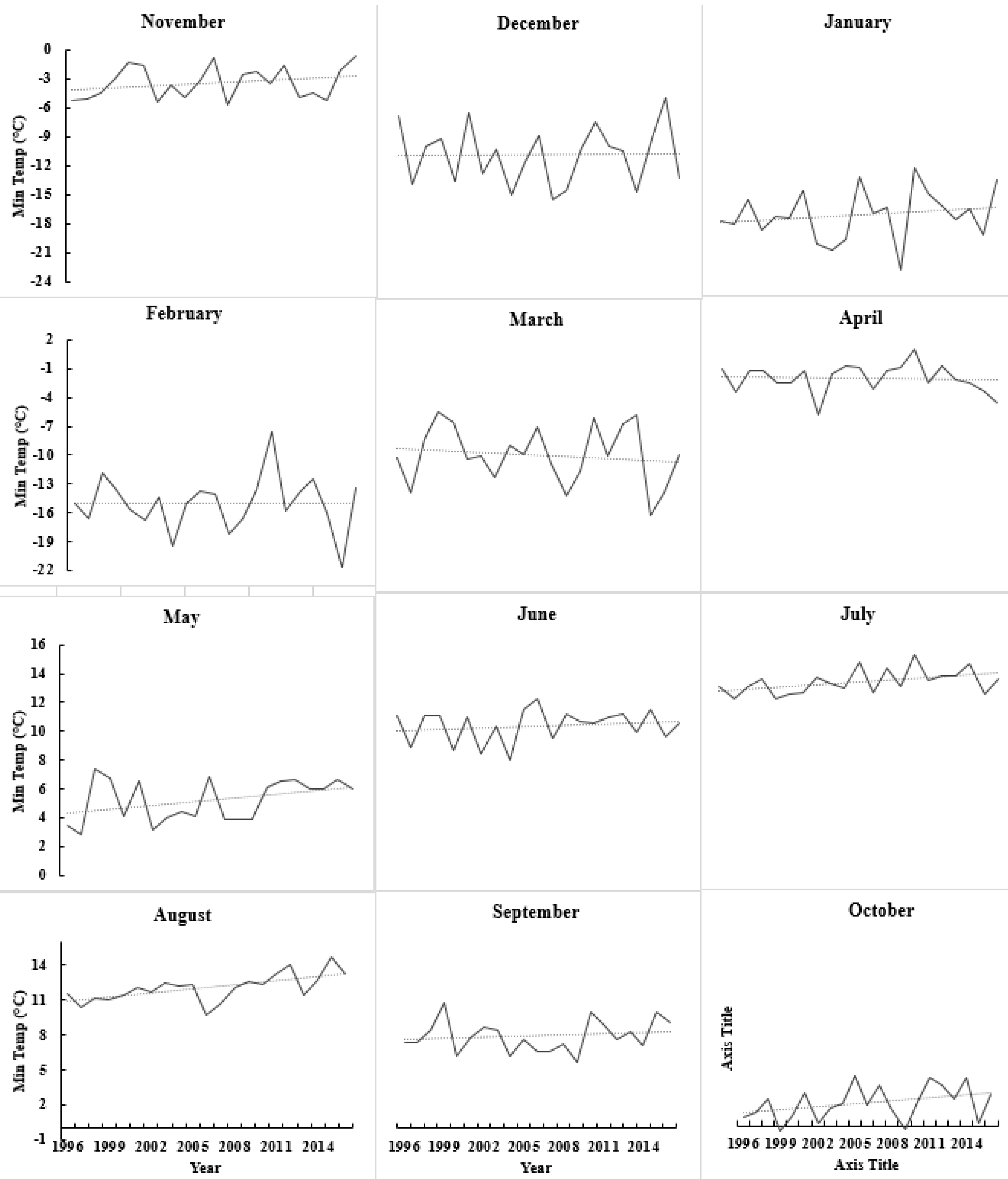
3.4. Weather Data Analysis
4. Discussion
5. Conclusions
Acknowledgments
Author Contributions
Conflicts of Interest
References
- Cheng, H.T. Competitive relationships among potato production areas in northeastern. Am. J. Food Dist. Res. 2005, 36, 27–32. [Google Scholar]
- A Study of the Maine Potato Industry: Its Economic Impact. 2003. Available online: http://www.nmdc.org/reportsstudies/Maine/PotatoIndustryImpactStudy.pdf (accessed on 31 March 2017).
- Halloran, J.M.; Larkin, R.P.; DeFauw, S.L.; Olanya, O.M.; He, Z. Economic potential of compost amendment as an alternative to irrigation in Maine potato production systems. Am. J. Plant Sci. 2013, 4, 238–245. [Google Scholar] [CrossRef]
- Raun, W.R.; Johnson, G.V. Improving Nitrogen Use efficiency for cereal production. Agron. J. 1999, 91, 357–363. [Google Scholar] [CrossRef]
- Smil, V. Nitrogen in crop production: An account of global flows. Glob. Biogeochem. Cycles 1999, 13, 647–662. [Google Scholar] [CrossRef]
- Fageria, N.K.; Baligar, V.C. Enhancing nitrogen use efficiency in crop plants. Adv. Agron. 2005, 88, 97–185. [Google Scholar]
- Sawyer, J. Integrated Crop Management. Available online: http://www.ipm.iastate.edu/ipm/icm/2007/5-14/measuren.html (accessed on 31 March 2017).
- Bhowmik, A.; Fortuna, A.M.; Cihacek, L.J.; Bary, A.; Cogger, C. Use of biological indicators of oil health to estimate reactive nitrogen dynamics in long term organic vegetable and pasture systems. Soil Biol. Biochem. 2016, 103, 308–319. [Google Scholar] [CrossRef]
- Hoskins, B.R. For Professionals in Agriculture, Horticulture, Nutrient and Residuals Management, Formerly “Soil Testing Handbook for Professional Agriculturalists”, 3rd ed.; Maine Soil Testing Service/Analytical Lab.: Orono, ME, USA, 1997. [Google Scholar]
- Schroder, J.J.; Neeteson, J.J.; Oenema, O.; Struik, P.C. Does the crop or the soil indicate how t osave nitrogen in maize production? Reviewing the state of the art. Field Crop Res. 2000, 66, 151–164. [Google Scholar] [CrossRef]
- Bock, B.R. Efficient use of nitrogen in cropping systems. In Nitrogen in Crop Production; Hauck, R.D., Ed.; ASA, CSSA, and SSSA: Madison, WI, USA, 1984; pp. 273–294. [Google Scholar]
- Pierce, F.J.; Rice, C.W. Crop rotation and its impact on efficiency of water and nitrogen use. In Cropping Strategies for Efficient Use of Water and Nitrogen; Hargrove, W.L., Ed.; ASA Special Publ. 51, ASA, CSSA, and SSSA: Madison, WI, USA, 1988; pp. 21–42. [Google Scholar]
- Clark, K.; Beegle, D. Nutrient Management to Improve Nitrogen Use Efficiency and Reduce Environmental Losses. Available online: http://extension.psu.edu/plants/nutrient-management/educational/soil-fertility/nutrient-management-to-improve-nitrogen-use-efficiency-and-reduce-environmental-losses/extension_publication_file (accessed on 31 March 2017).
- Sharma, L.K.; Franzen, D.W. Use of Corn Height to Improve the Relationship between Active Optical Sensor Readings and Yield Estimates. Precis. Agric. 2014, 15, 331–345. [Google Scholar] [CrossRef]
- Franzen, D.W.; Sharma, L.K.; Bu, H.; Dentond, A. Evidence for the ability of active-optical sensors to detect sulfur deficiency in corn. Agron. J. 2016, 108, 2158–2162. [Google Scholar] [CrossRef]
- Mamo, M.; Malzer, G.L.; Mulla, D.J.; Huggins, D.R.; Strock, J. Spatial and temporal variation in economically optimum nitrogen rate for corn. Agron. J. 2003, 95, 958–964. [Google Scholar] [CrossRef]
- Hurley, T.M.; Malzer, G.L.; Kilian, B. Estimating site-specific nitrogen crop response functions: A conceptual framework and geostatistical model. Agron. J. 2004, 96, 1331–1343. [Google Scholar] [CrossRef]
- Koch, B.; Khosla, R.; Frasier, W.M.; Westfall, D.G.; Inman, D. Economic feasibility of variable-rate nitrogen application utilizing site-specific management zones. Agron. J. 2004, 96, 1572–1580. [Google Scholar] [CrossRef]
- Scharf, P.C.; Kitchen, N.R.; Sudduth, K.A.; Davis, J.G.; Hubbard, V.C.; Lory, J.A. Field-scale variability in optimal nitrogen fertilizer rate for corn. Agron. J. 2005, 97, 452–461. [Google Scholar] [CrossRef]
- Shahandeh, H.; Wright, A.L.; Hons, F.M.; Lascano, R.J. Spatial and temporal variation of soil nitrogen parameters related to soil texture and corn yield. Agron. J. 2005, 97, 772–782. [Google Scholar] [CrossRef]
- Lambert, D.M.; Lowenberg-DeBoer, J.; Malzer, G.L. Economic analysis of spatial-temporal patterns in corn and soybean response to nitrogen and phosphorus. Agron. J. 2006, 98, 43–54. [Google Scholar] [CrossRef]
- Inman, D.; Khosla, R.; Westfall, D.G.; Reich, R. Nitrogen uptake across site specific management zones in irrigated corn production systems. Agron. J. 2005, 97, 169–176. [Google Scholar] [CrossRef]
- Gastal, F.; Lemaire, G. Nitrogen uptake and distribution in crops: An agronomical and ecophysiological perspective. J. Exp. Bot. 2002, 53, 789–799. [Google Scholar] [CrossRef] [PubMed]
- Lory, J.A.; Scharf, P.C. Yield goal versus delta yield for predicting fertilizer nitrogen need in corn. Agron. J. 2003, 95, 994–999. [Google Scholar] [CrossRef]
- Kyveryga, P.M.; Blackmer, A.M.; Zhang, J. Characterizing and classifying variability in corn yield response to nitrogen fertilization on subfield and field scales. Agron. J. 2009, 101, 269–277. [Google Scholar] [CrossRef]
- Justes, E.; Mary, B.; Meynard, J.M.; Machet, J.M.; Thelier-Huché, L. Determination of a critical nitrogen dilution curve for winter wheat crops. Ann. Bot. 1994, 74, 397–407. [Google Scholar] [CrossRef]
- Sexton, P.; Porter, G. Potato fertilizer recommendations. Unpublished work. 2009. [Google Scholar]
- Lokupitiya, E.; Paustian, K.; Easter, M.; Williams, S.; Andrén, O.; Kätterer, T. Carbon Balances in US Croplands During the Last Two Decades of the Twentieth Century. Biogeochemistry 2010, 107, 207–225. [Google Scholar] [CrossRef]
- Tremblay, N.; Bouroubi, M.Y.; Panneton, B.; Guillaume, S.; Vigneault, P. Development and validation of a fuzzy logic estimation of optimum N rate for corn based on soil and crop features. Precis. Agric. 2010, 11, 621–635. [Google Scholar] [CrossRef]
- Koerselman, W.; Van Kerkhoven, M.B.; Verhoeven, J.T. Release of inorganic N, P and K in peat soils: Effect of temperature, water chemistry, and water level. Biogeochemistry 1993, 20, 63–81. [Google Scholar] [CrossRef]
- Armstrong, R.D.; Fitzpatrick, J.; Rab, M.A.; Abuzar, M.; Fisher, P.D.; O’Leary, G.J. Advances in precision agriculture in south-eastern Australia: III. Interactions between soil properties and water use help explain spatial variability of crop production in the Victorian Mallee. Crop Pasture Sci. 2009, 60, 870–884. [Google Scholar] [CrossRef]
- Franzen, D.W. North Dakota Fertilizer Recommendation Tables and Equations; NDSU Extension Service: Fargo, ND, USA, 2010. [Google Scholar]
- Gunasena, H.P.M.; Harris, P.M. The Effect of CCC, Nitrogen, and Potassium on the Growth of Two Varieties of Potato. J. Agric. Sci. 1971, 76, 33–52. [Google Scholar] [CrossRef]
- Schepers, J.S.; Varvel, G.E.; Watts, D.G. Nitrogen and water management strategies to reduce nitrate leaching under irrigated maize. J. Contam. Hydrol. 1995, 20, 227–239. [Google Scholar] [CrossRef]
- Varvel, G.E.; Schepers, J.S.; Francis, D.D. Ability for in-season correction of nitrogen deficiency in corn using chlorophyll meters. Soil Sci. Soc. Am. J. 1997, 59, 1233–1239. [Google Scholar] [CrossRef]
- Gausman, H.W.; Allen, W.A. Optical parameters of leaves of 30 plant species. Plant Physiol. 1973, 52, 57–62. [Google Scholar] [CrossRef] [PubMed]
- Walburg, G.; Bauer, M.E.; Daughtry, C.S.T.; Housley, T.L. Effects of nitrogen nutrition on the growth, yield, and reflectance characteristics of corn canopies. Agron. J. 1982, 74, 677–683. [Google Scholar] [CrossRef]
- Gausman, H.W. Leaf reflectance of near-infrared. Photogramm. Eng. Remote Sens. 1974, 40, 183–191. [Google Scholar]
- Ercoli, L.; Mariotti, M.; Masoni, A.; Massantini, F. Relationship between nitrogen and chlorophyll content and spectral properties in maize leaves. Eur. J. Agron. 1993, 2, 113–117. [Google Scholar] [CrossRef]
- Al-Abbas, A.H.; Barr, R.; Hall, J.D.; Crane, F.L.; Baumagardner, M.F. Spectra of normal and nutrient-deficient maize leaves. Agron. J. 1974, 66, 16–20. [Google Scholar] [CrossRef]
- Milton, N.M.; Ager, C.M.; Eiswerth, B.A.; Power, M.S. Arsenic- and selenium-induced changes in spectral reflectance and morphology of soybean plants. Remote Sens. Environ. 1989, 30, 263–269. [Google Scholar] [CrossRef]
- Milton, N.M.; Eiswerth, B.A.; Ager, C.M. Effect of phosphorus deficiency on spectral reflectance and morphology of soybean plants. Remote Sens. Environ. 1991, 36, 121–127. [Google Scholar] [CrossRef]
- Horler, D.N.H.; Dockray, M.; Barber, J. The red-edge of plant leaf reflectance. Int. J. Remote Sens. 1983, 4, 273–288. [Google Scholar] [CrossRef]
- Adams, M.L.; Norvell, W.A.; Peverly, J.H.; Philpot, W.O. Fluorescence and reflectance characteristics of manganese deficient soybean leaves: Effect of leaf age and choice of leaflet. Plant Soil. 1993, 156, 235–238. [Google Scholar] [CrossRef]
- Masoni, A.; Ercoli, L.; Mariotti, M. Spectral properties of leaves deficient in iron, sulfur, magnesium, and manganese. Agron. J. 1996, 88, 937–943. [Google Scholar] [CrossRef]
- Raun, W.R.; Solie, J.B.; Johnson, G.V.; Stone, M.L.; Lukina, E.V.; Thomason, W.E.; Schepers, J.S. In-season prediction of potential grain yield in winter wheat using canopy reflectance. Agron. J. 2001, 93, 131–138. [Google Scholar] [CrossRef]
- Sharma, L.K.; Bu, H.G.; Denton, A.; Franzen, D.W. Active-Optical Sensors Using Red NDVI Compared to Red Edge NDVI for Prediction of Corn Grain Yield in North Dakota, U.S.A. Sensors 2015, 15, 27832–27853. [Google Scholar] [CrossRef] [PubMed]
- Bu, H.; Sharma, L.K.; Denton, A.; Franzen, D.W. Sugarbeet root yield and quality prediction at multiple harvest dates using active-optical sensors. Agron. J. 2016, 108, 273–284. [Google Scholar] [CrossRef]
- Bu, H.; Sharma, L.K.; Denton, A.; Franzen, D.W. Comparison of Satellite Imagery and Ground-Based Active Optical Sensors as Yield Predictors in Sugar Beet, Spring Wheat, Corn, and Sunflower. Agron. J. 2017, 109, 299–308. [Google Scholar] [CrossRef]
- Franzen, D.W.; Sharma, L.K.; Bu, H. Split application of N on sugarbeet and update on the use of active-optical sensors for sugarbeet yield and quality prediction. In Proceedings of the 44th Annual Sugarbeet Research Reporting Session, National Sunflower Association Research Forum, Fargo, ND, USA, 14 January 2014. [Google Scholar]
- Franzen, D.W.; Sharma, L.K.; Bu, H. Active Optical Sensor Algorithms for Corn Yield Prediction and a Corn Side-Dress Nitrogen Rate Aid; North Dakota State University Extension Service: Fargo, ND, USA, 2014. [Google Scholar]
- Chappelle, E.W.; Kim, M.S. Ratio analysis of reflectance spectra (RARS): An algorithm for the remote estimation of the concentrations of Chlorophyll A, Chlorophyll B, and Carotenoids in soybean leaves. Remote Sens. Environ. 1992, 39, 239–247. [Google Scholar] [CrossRef]
- Sharma, L.K.; Franzen, D.W.; Bu, H. Evaluation of wavelength from ground-based active optical sensors for corn yield prediction in North Dakota. In Proceedings of the 43rd North Central Extension-Industry Soil Fertility Conference, Des Moines, IA, USA, 20–21 November 2013. [Google Scholar]
- Gausman, H.W. Reflectance of leaf components. Remote Sens. Environ. 1977, 6, 1–9. [Google Scholar] [CrossRef]
- Slaton, M.R.; Hunt, E.R.; Smith, W.K. Estimating near-infrared leaf reflectance from leaf structural characteristics. Am. J. Bot. 2001, 88, 278–284. [Google Scholar] [CrossRef] [PubMed]
- Cassman, K.G.; Dobermann, A.; Walters, D.T. Agroecosystems, nitrogen-use efficiency, and nitrogen management. AMBIO 2002, 31, 132–140. [Google Scholar] [CrossRef] [PubMed]
- Sharma, L.K. Evaluation of Active Optical Ground-Based Sensors to Detect Early Nitrogen Deficiencies in Corn. Ph.D. Thesis, North Dakota State University, Fargo, ND, USA, 2014. [Google Scholar]
- Franzen, M. Active-Sensor Analysis Tool; NDSU: Fargo, ND, USA, 2012. [Google Scholar]
- Walsh, O.S.; Klatt, A.R.; Solie, J.B.; Godsey, C.B.; Raun, W.R. Use of soil moisture data for refined GreenSeeker sensor based nitrogen recommendations in winter wheat (Triticum aestivum L.). Precis. Agric. 2013, 14, 343–356. [Google Scholar] [CrossRef]
- Franzen, D.; Ashley, R.; Endres, G.; Teboh, J.; Sharma, L.; Bu, H.; Schmidt, B.; Schultz, E.C.; Lamb, J.; Heard, J.; et al. North Dakota Corn Nitrogen Calculator. Available online: https://www.ndsu.edu/pubweb/soils/corn/ (accessed on 1 April 2017).
- Sharma, L.K.; Bu, H.; Franzen, D.W. Comparison of two ground-based active-optical sensors for in-season estimation of corn (Zea mays, L.) yield. J. Plant Nutr. 2016, 39, 957–966. [Google Scholar] [CrossRef]
- Pagani, A.; Echeverría, H.E.; Andrade, F.H.; Sainz Rozas, H.R. Characterization of corn nitrogen status with a greenness index under different availability of sulfur. Agron. J. 2009, 101, 315–322. [Google Scholar] [CrossRef]
- Bouma, D. Nutrient uptake and distribution in subterranean clover during recovery from nutritional stresses. II. Experiments with sulfur. Aust. J. Biol. Sci. 1967, 20, 613–621. [Google Scholar] [CrossRef]
- Raun, W.R.; Solie, J.B.; Johnson, G.V.; Stone, M.L.; Mullen, R.W.; Freeman, K.W.; Thomason, W.E.; Lukina, E.V. Improving nitrogen use efficiency in cereal grain production with optical sensing and variable rate application. Agron. J. 2002, 94, 815–820. [Google Scholar] [CrossRef]
- Sharma, L.K.; Bu, H.; Franzen, D.W.; Denton, A. Use of corn height measured with an acoustic sensor improves yield estimation with ground based active optical sensors. Comput. Electron. Agric. 2016, 124, 254–262. [Google Scholar] [CrossRef]
- Gitelson, A.A.; Merzlyak, M.N. Remote estimation of chlorophyll content in higher plant leaves. Int. J. Remote Sens. 1997, 18, 2691–2697. [Google Scholar] [CrossRef]
- Gu, Y.; Wylie, B.K.; Howard, D.M.; Phuyal, K.P.; Ji, L. NDVI saturation adjustment: A new approach for improving cropland performance estimates in the Greater Platte River Basin, USA. Ecol. Indic. 2013, 30, 1–6. [Google Scholar] [CrossRef]
- Hoefsloot, P.; Ines, A.; Dam, J.V.; Duveiller, G.; Kayitakire, F.; Hansen, J. Combining Crop Models and Remote Sensing for Yield Prediction: Concepts, Applications and Challenges for Heterogeneous Smallholder Environments; Report of Joint CCFAS-JRC Workshop; European Union: Ispra, Italy, 2012. [Google Scholar]
- Franzen, D.W.; Bu, H.; Sharma, L.K. Relationship of Active-Optical Sensor Readings with Sugarbeet Yield and Quality, Sunflower Yield and Spring Wheat Grain Protein; ASA-CSSA-SSSA: Tampa, FL, USA, November 2013; p. 708. [Google Scholar]
- Bu, H.; Franzen, D.W.; Sharma, L.K. Crop Yield Relationship to Remote Sensing Data Using Intensified Weighted Nonlinear Regression Models; ASA-CSSA-SSSA: Madison, WI, USA, November 2013; p. 281. [Google Scholar]
- Sharma, L.K.; Franzen, D.W.; Shultz, E.C.; Bu, H.; Bali, S.K. In-Season N Management Tools in Commercial Cultivation System; ASA-CSSA-SSSA: Madison, WI, USA, November 2016. [Google Scholar]
- Holland, K.H.; Schepers, J.S. Derivation of a variable rate nitrogen application method for in-season fertilization of corn. Agron. J. 2010, 102, 1415–1424. [Google Scholar] [CrossRef]
- Sharma, L.K.; Dwyer, J.; Plant, A.; Bali, S.K. In Season Nitrogen Recommendation Methods: A Review; ASA-CSSA-SSSA: Madison, WI, USA, November 2016; pp. 277–330. [Google Scholar]
- Sharma, L.K.; Dwyer, J.; Plant, A. Evaluate the Nitrogen, Calcium, and Boron Application Rates for Their Impact on Soft Rot, Yield, and Quality of “Russet Burbank”; ASA-CSSA-SSSA: Madison, WI, USA, November 2016; p. 4611. [Google Scholar]
- Horneck, D.A. Daily nutrient use in potatoes. In Proceedings of the Idaho Potato Conference, Poncatello, ID, USA, 22 January 2004. [Google Scholar]
- United States Department of Agriculture National Agricultural Statistics Service. Available online: https://www.nass.usda.gov/ (accessed on 1 April 2017).
- Bora, G.C.; Bali, S.; Mistry, P. Impact of Climate Variability on Yield of Spring Wheat in North Dakota. Am. J. Clim. Chang. 2014, 3, 366–377. [Google Scholar] [CrossRef]
- Singh, S.; Boote, K.J.; Angadi, S.V.; Grover, K.; Begna, S.; Auld, D. Adapting the CROPGRO Model to Simulate Growth and Yield of Spring Safflower in Semiarid Conditions. Agron. J. 2016, 108, 64. [Google Scholar] [CrossRef]
- Singh, S.; Boote, K.J.; Angadi, S.V.; Grover, K.K. Estimating water balance, evapotranspiration and water use efficiency of spring safflower using the CROPGRO model. Agric. Water Manag. 2017, 185, 137–144. [Google Scholar] [CrossRef]
- Luebehusen, E. United States Drought Monitor. Available online: http://droughtmonitor.unl.edu/Home/StateDroughtMonitor.aspx?ME (accessed on 1 April 2017).









| Location/Soil Sample Depth | OM | pH | P | K | Ca | Mg | N | S | B | Cu | Fe | Mn | Zn |
|---|---|---|---|---|---|---|---|---|---|---|---|---|---|
| % | Kg·ha−1 | % Saturation | ppm | ||||||||||
| Easton/0–15 cm | 3.4 | 5.4 | 39.9 | 13.5 | 38.4 | 13.9 | 26 | 133 | 0.5 | 1.25 | 4.9 | 5.4 | 1.0 |
| Easton/15–46 cm | 3.1 | 5.5 | 44.2 | 17.1 | 40.1 | 13.6 | 18 | 167 | 0.4 | 1.19 | 4.6 | 6.1 | 1.0 |
| ARF/0–15 cm | 4.0 | 5.4 | 36.0 | 3.3 | 54.4 | 7.0 | 24 | 6.0 | 0.2 | 3.27 | 9.7 | 4.3 | 0.6 |
| ARF/15–46 cm | 2.7 | 5.3 | 30.7 | 2.2 | 43.5 | 5.9 | 12 | 10 | 0.2 | 4.3 | 15 | 3.3 | 0.5 |
| Location | N Source | Sensor Type | Wavelength | NDVI and Yield | (NDVI × LAI) and Yield | NDVI and LAI |
|---|---|---|---|---|---|---|
| Easton | CAN+AN | HCC ACS-430 | Red edge | y = 13.377e5.1926x R2 = 0.57 *** | y = 29.925e1.9611x R2 = 0.58 *** | y = 22.741e0.7791x R2 = 0.58 *** |
| Red | y = 10.941e1.9033x R2 = 0.488 *** | y = 28.285e0.6897x R2 = 0.58 *** | ||||
| TGS | Red | y = 4.9323e2.6857x R2 = 0.48 *** | y = 25.828e0.7424x R2 = 0.60 *** | |||
| CAN | HCC ACS-430 | Red edge | y = 243.9x − 11.495 R2 = 0.59 *** | y = 95.468x + 25.323 R2 = 0.62 *** | y = −1.1685x + 83.7 R2 = 0.42 *** | |
| Red | y = 84.432x − 17.199 R2 = 0.4651 *** | y = 32.49x + 23.473 R2 = 0.59 *** | ||||
| TGS | Red | y = 5.3235e2.5815x R2 = 0.59 *** | y = 26.218e0.7183x R2 = 0.69 *** | |||
| AN | HCC ACS-430 | Red edge | y = 257.03x − 14.109 R2 = 0.62 *** | y = 99.959x + 24.831 R2 = 0.64 *** | y = −1.6606x + 99.059 R2 = 0.64 *** | |
| Red | y = 104.65x − 32.411 R2 = 0.64 *** | y = 35.318x + 21.984 R2 = 0.66 *** | ||||
| TGS | Red | y = 4.6811e2.7571x R2 = 0.60 *** | y = 26.153e0.7399x R2 = 0.70 *** |
| Location | N Source | Sensor Type | Wavelength | NDVI and Yield | (NDVI × LAI) and Yield | NDVI and LAI |
|---|---|---|---|---|---|---|
| ARF | CAN+AN | HCC ACS-430 | Red edge | y = −93.851x2 − 65.368x + 29.592 R2 = 0.44 *** | y = 263.34x2 − 133.38x + 25.403 R2 = 0.44 *** | y = 3.6912x2 − 27.691x + 29.076 R2 = 0.44 *** |
| Red | y = 2.7838x2 − 21.484x + 29.259 R2 = 0.40 *** | y = 14.275x2 − 30.907x + 24.835 R2 = 0.43 *** | ||||
| TGS | Red | y = 136.23x2 − 228.73x + 113.74 R2 = 0.13 * | y = 13.803x2 − 35.707x + 28.8 R2 = 0.43 *** | |||
| CAN | HCC ACS-430 | Red edge | y = 924.38x2 − 414.15x + 59.023 R2 = 0.53 *** | y = 1039x2 − 277.72x + 31.693 R2 = 0.50 *** | y = 0.1235x2 − 7.1541x + 117.81 R2 = 0.49 *** | |
| Red | y = 60.696x2 − 100.34x + 55.745 R2 = 0.44 *** | y = 64.08x2 − 67.932x + 31.369 R2 = 0.48 *** | ||||
| TGS | Red | y = 168.64x2 − 278.12x + 130.41 R2 = 0.35 ** | y = 59.946x2 − 76.598x + 37.495 R2 = 0.52 *** | |||
| AN | HCC ACS-430 | Red edge | y = 163.38x2 − 123.64x + 32.407 R2 = 0.35 ** | y = 487.19x2 − 152.39x + 25.469 R2 = 0.34 ** | y = −0.0048x2 + 0.8875x − 6.7679 R2 = 0.26 ** | |
| Red | y = 17.743x2 − 34.495x + 31.499 R2 = 0.34 ** | y = 34.634x2 − 38.558x + 25.071 R2 = 0.34 ** | ||||
| TGS | Red | y = 153.57x2 − 253.26x + 123.46 R2 = 0.03 | y = 7.0663x2 − 28.936x + 27.383 R2 = 0.32 ** |
© 2017 by the authors. Licensee MDPI, Basel, Switzerland. This article is an open access article distributed under the terms and conditions of the Creative Commons Attribution (CC BY) license (http://creativecommons.org/licenses/by/4.0/).
Share and Cite
Sharma, L.K.; Bali, S.K.; Dwyer, J.D.; Plant, A.B.; Bhowmik, A. A Case Study of Improving Yield Prediction and Sulfur Deficiency Detection Using Optical Sensors and Relationship of Historical Potato Yield with Weather Data in Maine. Sensors 2017, 17, 1095. https://doi.org/10.3390/s17051095
Sharma LK, Bali SK, Dwyer JD, Plant AB, Bhowmik A. A Case Study of Improving Yield Prediction and Sulfur Deficiency Detection Using Optical Sensors and Relationship of Historical Potato Yield with Weather Data in Maine. Sensors. 2017; 17(5):1095. https://doi.org/10.3390/s17051095
Chicago/Turabian StyleSharma, Lakesh K., Sukhwinder K. Bali, James D. Dwyer, Andrew B. Plant, and Arnab Bhowmik. 2017. "A Case Study of Improving Yield Prediction and Sulfur Deficiency Detection Using Optical Sensors and Relationship of Historical Potato Yield with Weather Data in Maine" Sensors 17, no. 5: 1095. https://doi.org/10.3390/s17051095
APA StyleSharma, L. K., Bali, S. K., Dwyer, J. D., Plant, A. B., & Bhowmik, A. (2017). A Case Study of Improving Yield Prediction and Sulfur Deficiency Detection Using Optical Sensors and Relationship of Historical Potato Yield with Weather Data in Maine. Sensors, 17(5), 1095. https://doi.org/10.3390/s17051095
