Probabilistic Fatigue Life Updating for Railway Bridges Based on Local Inspection and Repair
Abstract
:1. Introduction
2. Proposed Methodology
2.1. Limit-State Function Formulations for Fatigue Failure
2.2. Reliability Updating through Inspection and Repair Events
3. Numerical Example
3.1. Example of Bridge Considered in This Study: Calumet Bridge
3.2. Monitoring Data and Rainflow Counting
3.3. Random Variables and Deterministic Parameters
4. Analysis Results
4.1. Fatigue Life Evaluation
4.2. Updated Fatigue Life Based on Local Inspection and Repair
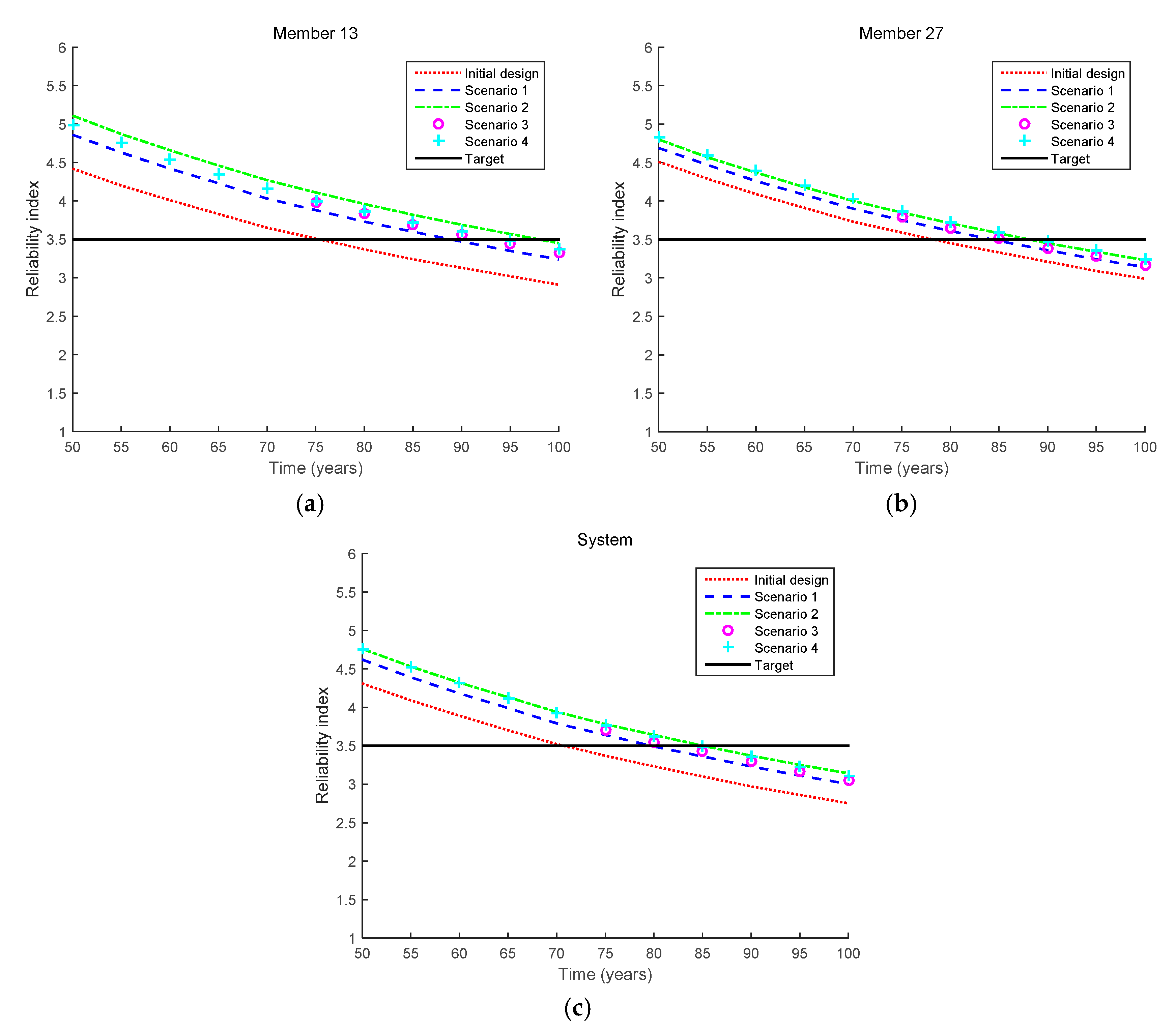
4.2.1. Inequality Cases
4.2.2. Equality Cases
4.2.3. Mixed Cases
5. Conclusions
Acknowledgments
Author Contributions
Conflicts of Interest
References
- Domaneschi, M.; Martinelli, L.; Perotti, F. Wind and earthquake protection of cable-supported bridges. Bridge Eng. 2015, 169, 157–171. [Google Scholar] [CrossRef]
- Makabe, C.; Murdani, A.; Kuniyoshi, K.; Irei, Y.; Saimoto, A. Crack-growth arrest by redirecting crack growth by drilling stop holes and inserting pins into them. Eng. Fail. Anal. 2009, 16, 475–483. [Google Scholar] [CrossRef]
- Branco, C.M.; Infante, V.; Baptista, R. Fatigue behaviour of welded joints with cracks, repaired by hammer peening. Fatigue Fract. Eng. Mater. Struct. 2004, 27, 785–798. [Google Scholar] [CrossRef]
- Miner, M.A. Cumulative damage in fatigue. J. Appl. Mech. 1945, 12, 159–164. [Google Scholar]
- Chryssanthopoulos, M.K.; Righiniotis, T.D. Fatigue reliability of welded steel structures. J. Constr. Steel Res. 2006, 62, 1199–1209. [Google Scholar] [CrossRef]
- Fisher, J.W. Fatigue and Fracture in Steel Bridges: Case Studies; John Wiley & Sons: New York, NY, USA, 1984. [Google Scholar]
- Agerskov, H.; Nielsen, J.A. Fatigue in steel highway bridges under random loading. ASCE J. Struct. Eng. 1999, 125, 152–162. [Google Scholar] [CrossRef]
- MacDougall, C.; Green, M.F.; Shillinglaw, S. Fatigue damage of steel bridges due to dynamic vehicle loads. J. Bridg. Eng. 2006, 11, 320–328. [Google Scholar] [CrossRef]
- Xiao, Z.-G.; Yamada, K.; Inoue, J.; Yamaguchi, K. Fatigue cracks in longitudinal ribs of steel orthotropic deck. Int. J. Fatigue 2006, 28, 409–416. [Google Scholar] [CrossRef]
- Lee, Y.J.; Cho, S. SHM-based probabilistic fatigue life prediction for bridges based on FE model updating. Sensors 2016, 16, 317. [Google Scholar] [CrossRef] [PubMed]
- Nagayama, T.; Sim, S.H.; Miyamori, Y.; Spencer, B.F. Issues in structural health monitoring employing smart sensors. Smart Struct. Syst. 2007, 3, 299–320. [Google Scholar] [CrossRef]
- Kurt, M.; Eriten, M.; McFarland, D.M.; Bergman, L.A.; Vakakis, A.F. Methodology for model updating of mechanical components with local nonlinearities. J. Sound Vib. 2015, 357, 331–348. [Google Scholar] [CrossRef]
- Kurt, M.; Moore, K.J.; Eriten, M.; McFarland, D.M.; Bergman, L.A.; Vakakis, A.F. Nonlinear model updating applied to the IMAC XXXII Round Robin benchmark system. Mech. Syst. Signal Process. 2017, 88, 111–122. [Google Scholar] [CrossRef]
- Chen, H.; Kurt, M.; Lee, Y.S.; McFarland, D.M.; Bergman, L.A.; Vakakis, A.F. Experimental system identification of the dynamics of a vibro-impact beam with a view towards structural health monitoring and damage detection. Mech. Syst. Signal Process. 2014, 46, 91–113. [Google Scholar] [CrossRef]
- Lee, Y.J.; Song, J. System reliability updating of fatigue-induced sequential failures. J. Struct. Eng. 2014, 140, 04013074. [Google Scholar] [CrossRef]
- Paris, P.C.; Erdogan, F. An effective approximation to evaluate multinormal integrals. Struct. Saf. 1963, 20, 51–67. [Google Scholar]
- Newman, J.C.; Raju, I.S. An empirical stress intensity factor equation for the surface crack. Eng. Fract. Mech. 1981, 15, 185–192. [Google Scholar] [CrossRef]
- Nieslony, A. Determination of fragments of multiaxial service loading strongly influencing the fatigue of machine components. Mech. Syst. Signal Process. 2009, 23, 2712–2721. [Google Scholar] [CrossRef]
- Moan, T.; Song, R. Implications of inspection updating on system fatigue reliability of offshore structures. J. Offshore Mech. Arct. Eng. 2000, 122, 173–180. [Google Scholar] [CrossRef]
- Karamchandani, A.; Dalane, J.I.; Bjerager, P. Systems reliability approach to fatigue of structures. J. Struct. Eng. 1992, 118, 684–700. [Google Scholar] [CrossRef]
- Forman, R.G.; Kearney, V.E.; Engle, R.M. Numerical Analysis of Crack Propagation in Cyclic Loaded Structures. J. Basic Eng. 1967, 89, 459–464. [Google Scholar] [CrossRef]
- Walker, K. The effect of stress ratio during crack propagation and fatigue for 2024-T3 and 7075-T6 aluminum. In Effects of Environment and Complex Load History on Fatigue Life; ASTM International: Philadelphia, PA, USA, 1970. [Google Scholar]
- Jiao, G.; Moan, T. Methods of reliability model updating through additional events. Struct. Saf. 1990, 9, 139–153. [Google Scholar] [CrossRef]
- Straub, D. Reliability updating with equality information. Probab. Eng. Mech. 2011, 26, 254–258. [Google Scholar] [CrossRef]
- Madsen, H.O. Model updating in reliability theory. In Proceedings of the 5th International Conference on Applications of Statistics and Probability in Civil Engineering (ICASP5), Vancouver, BC, Canada, 25–29 May 1987. [Google Scholar]
- Hohenbichler, M.; Rackwitz, R. First-order concepts in system reliability. Struct. Saf. 1983, 1, 177–188. [Google Scholar] [CrossRef]
- Melchers, R.E. Structural Reliability Analysis and Prediction; John Wiley & Son Ltd.: New York, NY, USA, 1999. [Google Scholar]
- Der Kiureghian, A. First- and second-order reliability methods. In Engineering Design Reliability Handbook; CRC Press: Boca Raton, FL, USA, 2005; Chapter 14. [Google Scholar]
- Sudret, B.; Der Kiureghian, A. Stochastic Finite Element Methods and Reliability: A State-of-the-Art Report; Department of Civil and Environmental Engineering, University of California: Berkeley, CA, USA, 2000. [Google Scholar]
- Song, J.; Der Kiureghian, A. Bounds on system reliability by linear programming. J. Eng. Mech. 2003, 129, 627–636. [Google Scholar] [CrossRef]
- Song, J.; Kang, W.H. System reliability and sensitivity under statistical dependence by matrix-based system reliability method. Struct. Saf. 2009, 31, 148–156. [Google Scholar] [CrossRef]
- Kim, R.E.; Moreu, F.; Spencer, B.F. System identification of an in-service railroad bridge using wireless smart sensors. Smart Struct. Syst. 2015, 15, 683–698. [Google Scholar] [CrossRef]
- Moreu, F.; Kim, R.E.; Spencer, B.F. Railroad bridge monitoring using wireless smart sensors. Struct. Control Health Monit. 2016, 24, e1863. [Google Scholar] [CrossRef]
- Crossbow Technology Inc. Imote2—High-Performance Wireless Sensor Network Node. Available online: http://wsn.cse.wustl.edu/images/e/e3/Imote2_Datasheet.pdf (accessed on 17 January 2017).
- Kim, R.E.; Moreu, F.; Spencer, B.F. Hybrid model for railroad bridge dynamics. J. Struct. Eng. 2016, 142, 04016066. [Google Scholar] [CrossRef]
- Tada, H.; Paris, P.C.; Irwin, G.R. The Stress Analysis of Cracks Handbook; ASME: New York, NY, USA, 2000. [Google Scholar]
- Yazdani, N.; Albrecht, P. Crack growth rates of structural steel in air and aqueous environments. Eng. Fract. Mech. 1989, 32, 997–1007. [Google Scholar] [CrossRef]
- Lee, Y.J.; Song, J. Finite-element-based system reliability analysis of fatigue-induced sequential failures. Reliab. Eng. Syst. Saf. 2012, 108, 131–141. [Google Scholar] [CrossRef]












| Member No. | 13 | 27 | 8 | 6 | 7 | 5 | 10 | 9 | 17 | 4 |
|---|---|---|---|---|---|---|---|---|---|---|
| Maximum stress (MPa) | 32.82 | 32.48 | 21.26 | 20.73 | 20.73 | 20.22 | 20.16 | 19.26 | 18.95 | 18.48 |
| Random Variable (RV) | Mean | c.o.v. | Distribution Type | Number of RVs |
|---|---|---|---|---|
| Paris law parameter (C) | 1.537 × 10−12 m/cycle/(MPa·mm)m | 0.2258 | Lognormal | 10 |
| Initial crack length (a0) | 0.11 mm | 1.0 | Exponential | 10 |
| Initial crack length in repaired member (ar) | 0.11 mm | 1.0 | Exponential | # of repair events |
| Detectable crack size (ad) | 1.0 mm | 1.0 | Exponential | # of inequality events |
| Crack measurement error (εm) | 0 | 0.1 * | Normal | # of equality events |
| Live load scale factor (S) | 1 | 0.1 | Lognormal | 1 |
| Case | Scenario Number | Scenario Description |
|---|---|---|
| Inequality | 1 | No crack is detected in Member 13 (TI = 50 years & mean of ad = 1.0 mm) |
| 2 | No crack is detected in Member 13 (TI = 50 years & mean of ad = 0.5 mm) | |
| 3 | No crack is detected in Member 13 (TI = 75 years & mean of ad = 1.0 mm) | |
| 4 | No crack is detected anywhere (TI = 50 years & mean of ad = 1.0 mm) | |
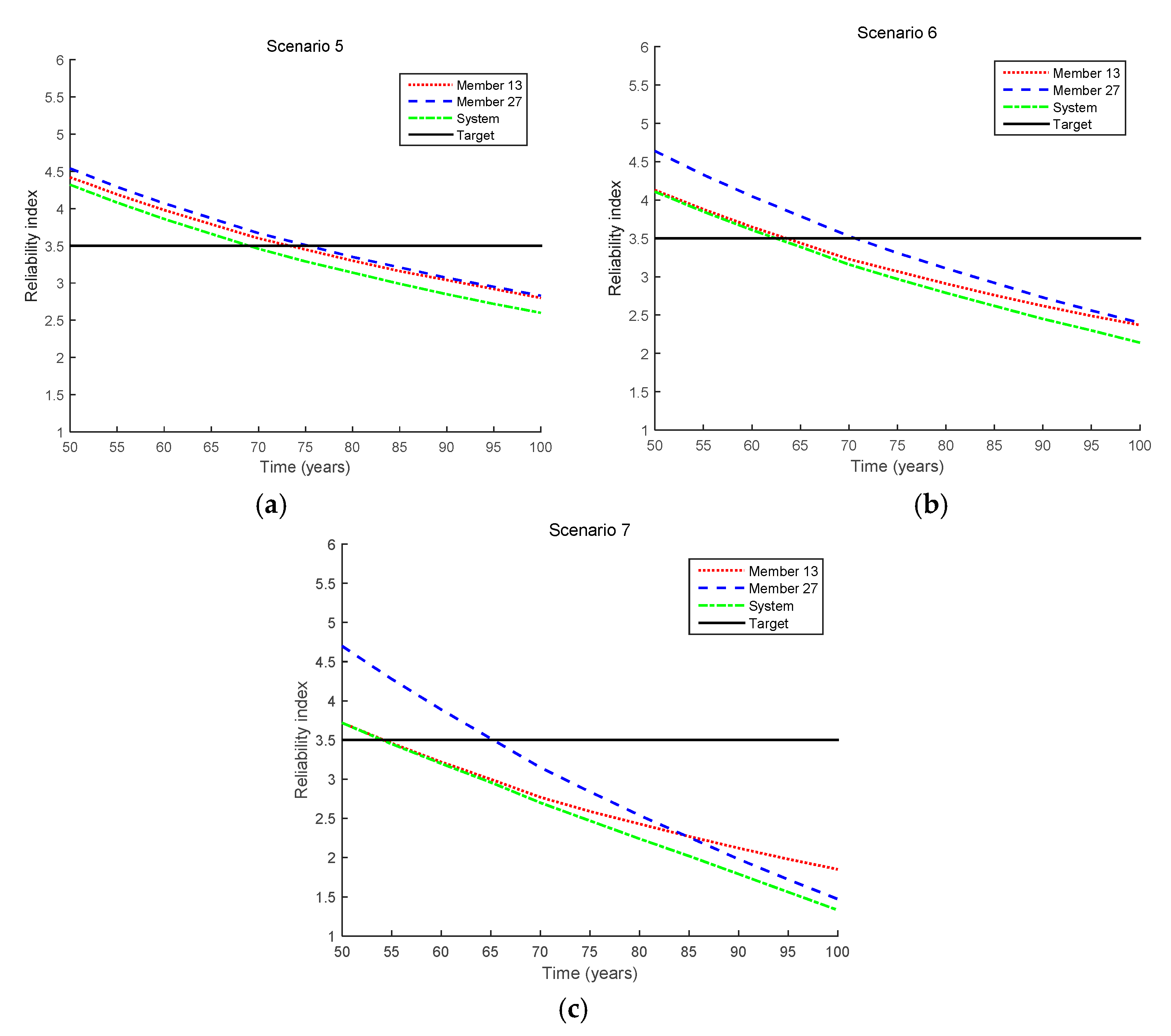
| Equality | 5 | 0.1 mm crack is found in Member 13 (TI = 50 years) |
| 6 | 0.5 mm crack is found in Member 13 (TI = 50 years) | |
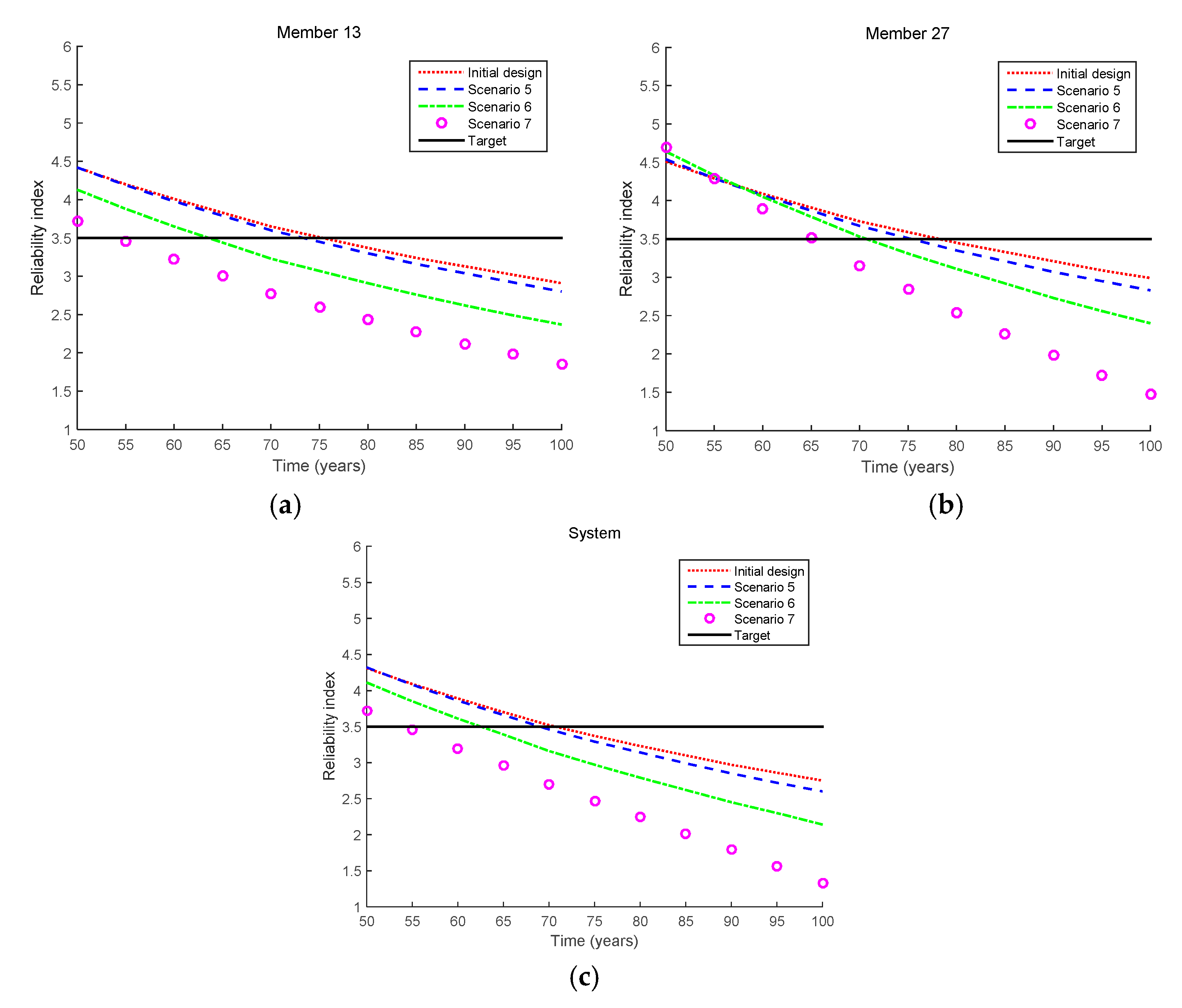
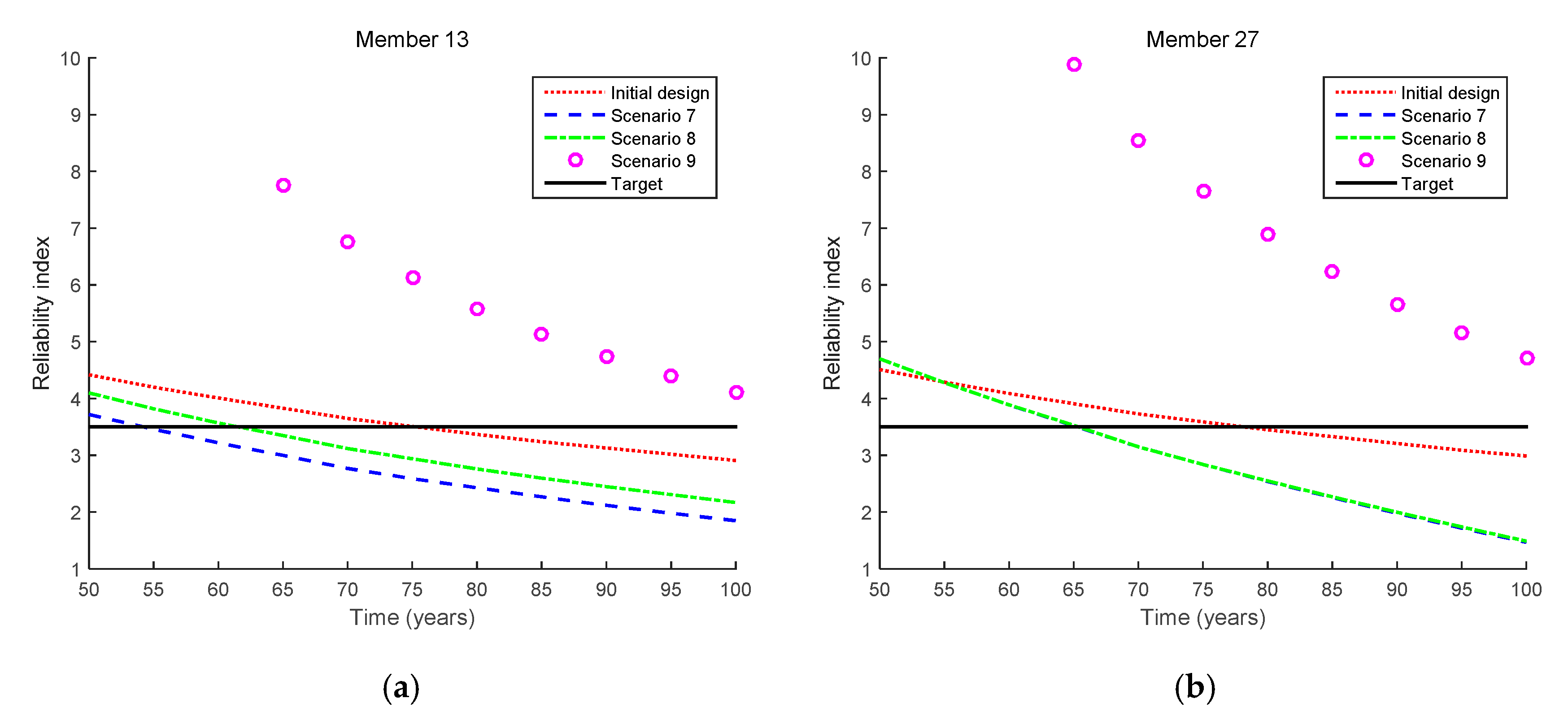
| 7 | 1.0 mm crack is found in Member 13 (TI = 50 years) | |
| Mixed | 8 | 1.0 mm crack is found in Member 13, but nowhere else (TI = 50 years & mean of ad = 1.0 mm) |
| 9 | 0.5 mm crack is found in Member 13, but nowhere else, and Members 13 and 27 are repaired (TI = 50 years & mean of ad = 1.0 mm) |
| Scenario | Fatigue Life (Years) | ||
|---|---|---|---|
| Member 13 | Member 27 | System | |
| Initial design | 75.4 | 78.2 | 70.7 |
| Scenario 1 | 88.8 | 84.2 | 79.7 |
| Scenario 2 | 97.9 | 88.1 | 85 |
| Scenario 3 | 92.5 | 85.8 | 81.9 |
| Scenario 4 | 94.2 | 88.8 | 84.2 |
| Scenario | Fatigue Life (Years) | ||
|---|---|---|---|
| Member 13 | Member 27 | System | |
| Initial design | 75.4 | 78.2 | 70.7 |
| Scenario 5 | 73.3 | 75.3 | 69 |
| Scenario 6 | 63.6 | 70.7 | 62.5 |
| Scenario 7 | 54.2 | 65.3 | 54.1 |
| Scenario | Fatigue Life (Years) | ||
|---|---|---|---|
| Member 13 | Member 27 | System | |
| Initial design | 75.4 | 78.2 | 70.7 |
| Scenario 7 | 54.2 | 65.3 | 54.1 |
| Scenario 8 | 61.6 | 65.4 | 60.2 |
| Scenario 9 | >100 | >100 | >100 |
© 2017 by the authors. Licensee MDPI, Basel, Switzerland. This article is an open access article distributed under the terms and conditions of the Creative Commons Attribution (CC BY) license (http://creativecommons.org/licenses/by/4.0/).
Share and Cite
Lee, Y.-J.; Kim, R.E.; Suh, W.; Park, K. Probabilistic Fatigue Life Updating for Railway Bridges Based on Local Inspection and Repair. Sensors 2017, 17, 936. https://doi.org/10.3390/s17040936
Lee Y-J, Kim RE, Suh W, Park K. Probabilistic Fatigue Life Updating for Railway Bridges Based on Local Inspection and Repair. Sensors. 2017; 17(4):936. https://doi.org/10.3390/s17040936
Chicago/Turabian StyleLee, Young-Joo, Robin E. Kim, Wonho Suh, and Kiwon Park. 2017. "Probabilistic Fatigue Life Updating for Railway Bridges Based on Local Inspection and Repair" Sensors 17, no. 4: 936. https://doi.org/10.3390/s17040936
APA StyleLee, Y.-J., Kim, R. E., Suh, W., & Park, K. (2017). Probabilistic Fatigue Life Updating for Railway Bridges Based on Local Inspection and Repair. Sensors, 17(4), 936. https://doi.org/10.3390/s17040936
