A Micro Bubble Structure Based Fabry–Perot Optical Fiber Strain Sensor with High Sensitivity and Low-Cost Characteristics
Abstract
:1. Introduction
2. Sensor Fabrication
3. Analysis of the Mechanical Properties of Micro Bubbles
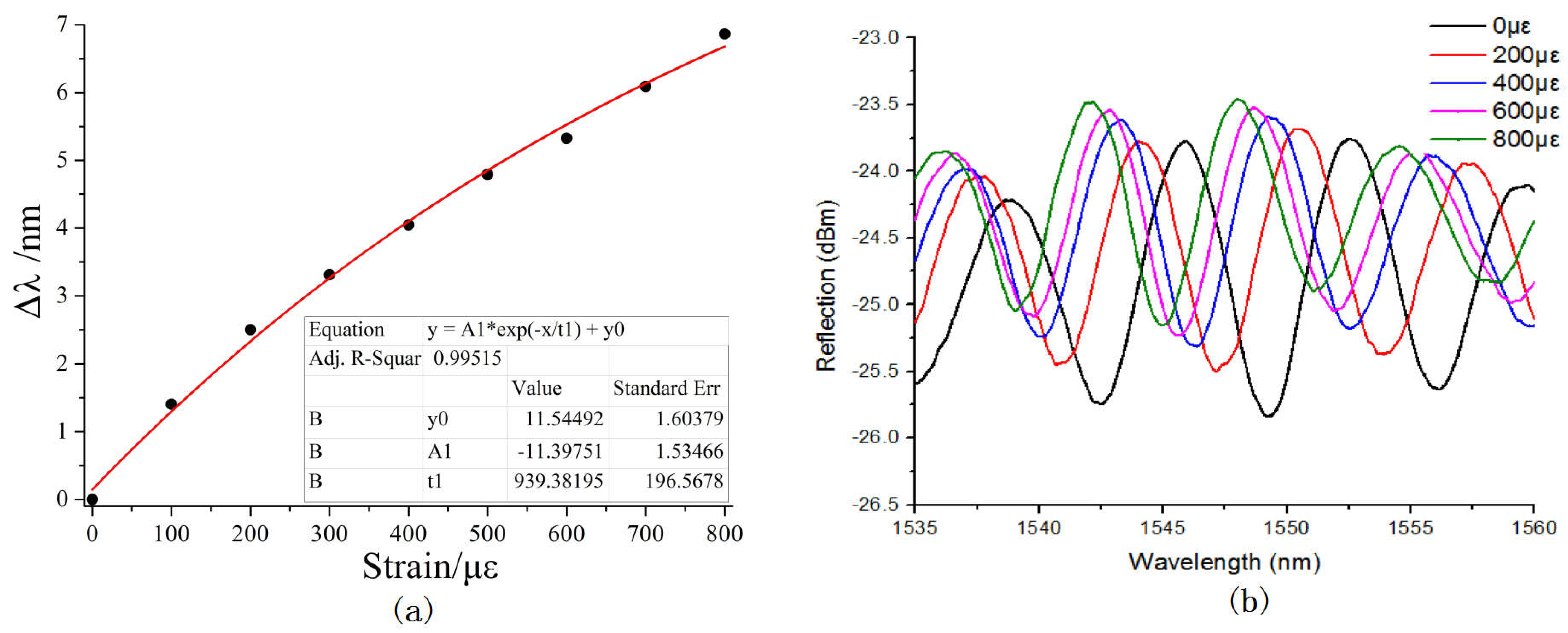
4. Numerical Analysis
5. Conclusions
Acknowledgments
Author Contributions
Conflicts of Interest
References
- Ward, J.M.; Dhasmana, N.; Chormaic, S.N. Hollow core, whispering gallery resonator sensors. Eur. Phys. J. Spec. Top. 2014, 223, 1917–1935. [Google Scholar] [CrossRef]
- Pandey, G.; Thostenson, E.T.; Heider, D. Electric time domain reflectometry sensors for non-invasive structural health monitoring of glass fiber composites. Prog. Electromagn. Res. 2012, 124, 315–329. [Google Scholar] [CrossRef]
- Wang, C.; Jin, W.; Jina, W.; Ju, J.; Ma, J.; Ho, H.L. Evanescent-field photonic microcells and their applications in sensing. Measurement 2016, 79, 172–181. [Google Scholar] [CrossRef]
- Islam, M.R.; Ali, M.M.; Lai, M.H.; Lim, K.S.; Ahmad, H. Chromolory of Fabry-Perot Interferometer Fiber-Optic Sensors and Their Applications: A Review. Sensors 2014, 14, 7451–7488. [Google Scholar] [CrossRef] [PubMed]
- Wang, Y. Review of long period fiber gratings written by CO2 laser. J. Appl. Phys. 2010, 108. [Google Scholar] [CrossRef]
- Kumar, S.; Sharma, G.; Singh, V. Sensitivity modulation of surface plasmon resonance sensor configurations in optical fiber waveguide. Prog. Electromagn. Res. Lett. 2013, 37, 167–176. [Google Scholar] [CrossRef]
- Lee, B.H.; Kim, Y.H.; Park, K.S.; Eom, J.B.; Kim, M.J.; Rho, B.S.; Choi, H.Y. Interferometric Fiber Optic Sensors. Sensors 2012, 12, 2467–2486. [Google Scholar] [CrossRef] [PubMed]
- Zhu, T.; Wu, D.; Liu, M.; Duan, D.W. In-Line Fiber Optic Interferometer Sensors in Single-Mode Fibers. Sensors 2012, 12, 10430–10449. [Google Scholar] [CrossRef] [PubMed]
- Sirkis, J.; Berkoff, T.A.; Jones, R.T. In-Line fiber etalon (ILFE) fiber-optic strain sensors. J. Lightwave Technol. 1995, 13, 1256–1263. [Google Scholar] [CrossRef]
- Rao, Y.J.; Zhu, T.; Yang, X.C.; Duan, D.W. In-line fiber-optic etalon formed by hollow-core photonic crystal fiber. Opt. Lett. 2007, 32, 2663–2664. [Google Scholar] [CrossRef]
- Jiang, X.; Chen, D. Low-Cost Fiber-Tip Fabry-Perot Interferometer and its Application for Transverse Load Sensing. Prog. Electromagn. Res. Lett. 2014, 48, 103–108. [Google Scholar] [CrossRef]
- Li, E.; Peng, G.D.; Ding, X. High spatial resolution fiber-optic Fizeau interferomrtic strain sensor based on an in-fiber spherical microcavity. Appl. Phys. Lett. 2008, 92, 101117–101119. [Google Scholar] [CrossRef]
- Villatoro, J.; Finazzi, V.; Coviello, G.; Pruneri, V. Photonic crystal-fiber enabled micro-Fabry-Perot interferometer. Opt. Lett. 2009, 34, 2441–2443. [Google Scholar] [CrossRef] [PubMed]
- Ma, J.; Ju, J.; Jin, L.; Jin, W.; Wang, D. Fiber-tip micro-cavity for temperature and transverse load sensing. Opt. Express 2011, 19, 12418–12426. [Google Scholar] [CrossRef] [PubMed]
- Duan, D.W.; Rao, Y.J.; Hou, Y.S.; Zhu, T. Microbubble based fiber-optic Fabry-Perot interferometer formed by fusion splicing single-mode fibers for strain measurement. Appl. Opt. 2012, 51, 1033–1036. [Google Scholar] [CrossRef] [PubMed]
- Liu, S.; Wang, Y.; Wang, G.; Li, Z.; Wang, Q.; Zhou, J.; Yang, K.; Zhong, X.; Zhao, J.; Tang, J. High-sensitivity strain sensor based on in-fiber improved Fabry-Perot interferometer. Opt. Lett. 2014, 39, 2121–2124. [Google Scholar] [CrossRef] [PubMed]
- Liu, S.; Yang, K.; Wang, Y.; Qu, J.; Liao, C.; He, J.; Li, Z.; Yin, G.; Sun, B.; Zhou, J.; et al. High-sensitivity strain sensor based on in-fiber rectangular air bubble. Sci. Rep. 2015, 5, 1–7. [Google Scholar] [CrossRef] [PubMed]







© 2017 by the authors. Licensee MDPI, Basel, Switzerland. This article is an open access article distributed under the terms and conditions of the Creative Commons Attribution (CC BY) license ( http://creativecommons.org/licenses/by/4.0/).
Share and Cite
Yan, L.; Gui, Z.; Wang, G.; An, Y.; Gu, J.; Zhang, M.; Liu, X.; Wang, Z.; Wang, G.; Jia, P. A Micro Bubble Structure Based Fabry–Perot Optical Fiber Strain Sensor with High Sensitivity and Low-Cost Characteristics. Sensors 2017, 17, 555. https://doi.org/10.3390/s17030555
Yan L, Gui Z, Wang G, An Y, Gu J, Zhang M, Liu X, Wang Z, Wang G, Jia P. A Micro Bubble Structure Based Fabry–Perot Optical Fiber Strain Sensor with High Sensitivity and Low-Cost Characteristics. Sensors. 2017; 17(3):555. https://doi.org/10.3390/s17030555
Chicago/Turabian StyleYan, Lu, Zhiguo Gui, Guanjun Wang, Yongquan An, Jinyu Gu, Meiqin Zhang, Xinglin Liu, Zhibin Wang, Gao Wang, and Pinggang Jia. 2017. "A Micro Bubble Structure Based Fabry–Perot Optical Fiber Strain Sensor with High Sensitivity and Low-Cost Characteristics" Sensors 17, no. 3: 555. https://doi.org/10.3390/s17030555
APA StyleYan, L., Gui, Z., Wang, G., An, Y., Gu, J., Zhang, M., Liu, X., Wang, Z., Wang, G., & Jia, P. (2017). A Micro Bubble Structure Based Fabry–Perot Optical Fiber Strain Sensor with High Sensitivity and Low-Cost Characteristics. Sensors, 17(3), 555. https://doi.org/10.3390/s17030555

