Analytical Study on Multi-Tier 5G Heterogeneous Small Cell Networks: Coverage Performance and Energy Efficiency
Abstract
:1. Introduction
2. Modeling of Multi-Tier Heterogeneous Networks
3. Coverage Performance
3.1. Coverage Performance of Pico-Tier
3.2. Coverage Performance of Femto-Tier
4. Channel Allocation and Throughput
4.1. Channel Allocation
4.2. System Throughput
5. Energy Efficiency Optimization
5.1. Fairness of Channel Allocation
5.2. Optimization of Energy Efficiency
6. Simulation Results and Analysis
6.1. Simulation Setup
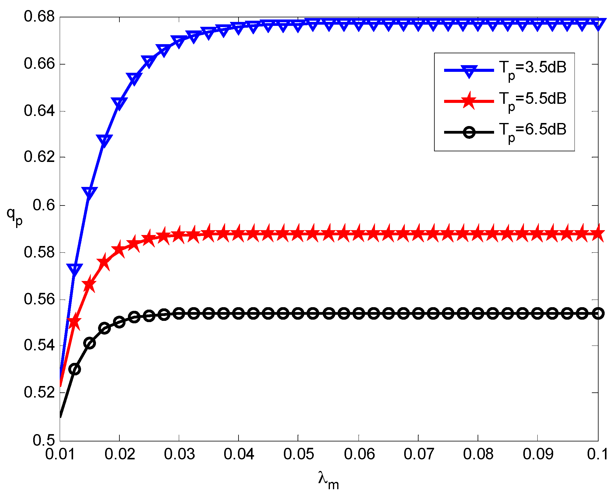
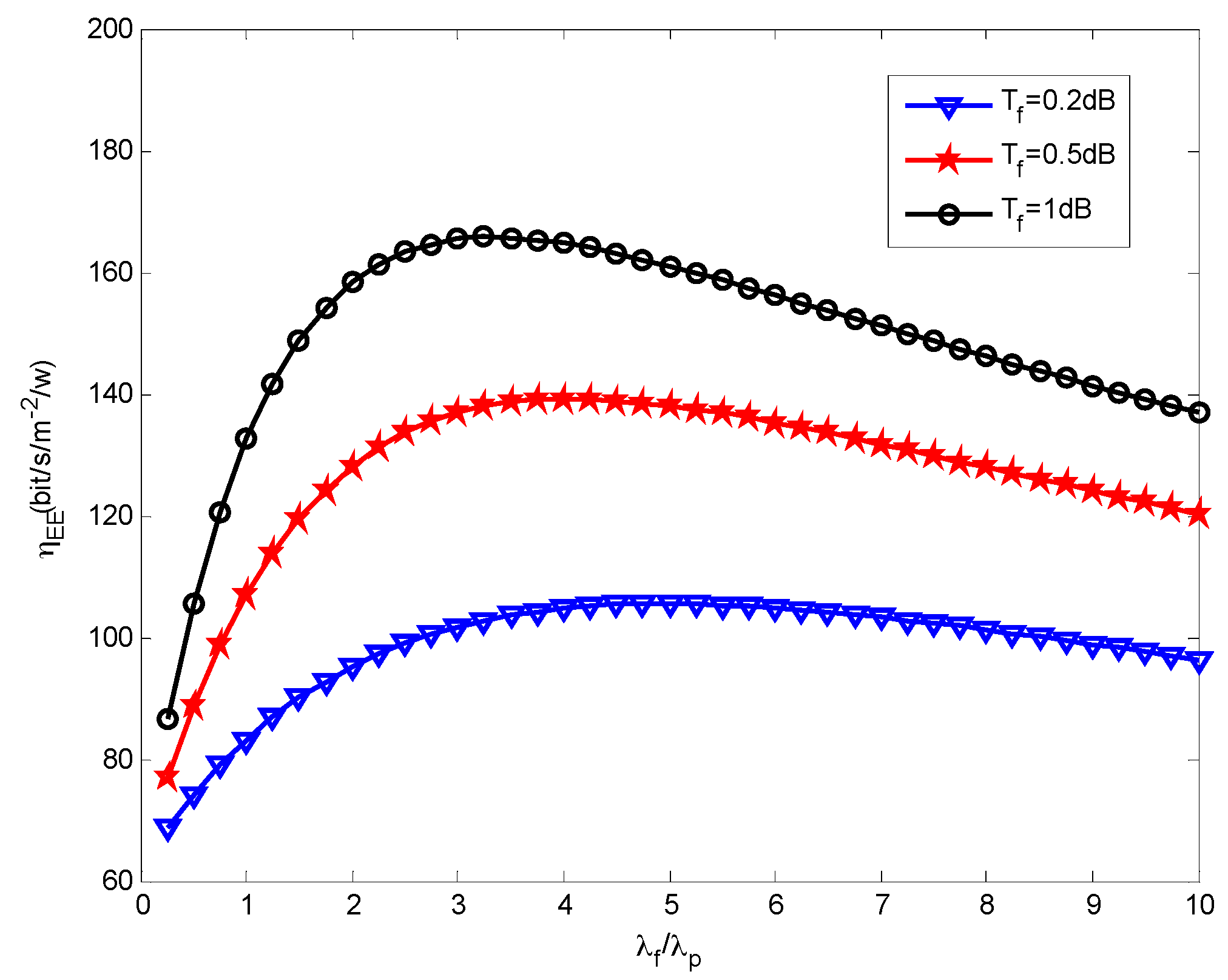
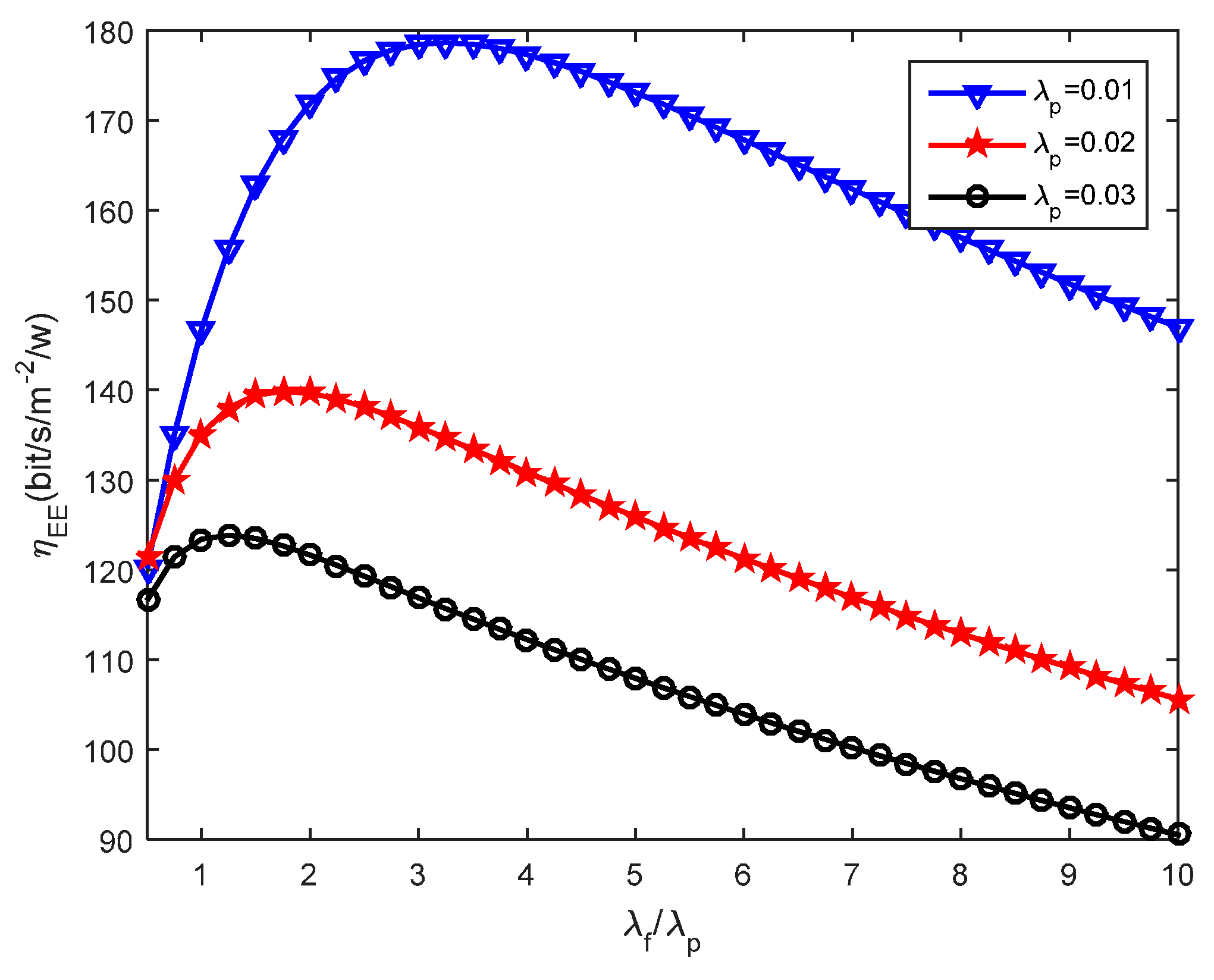
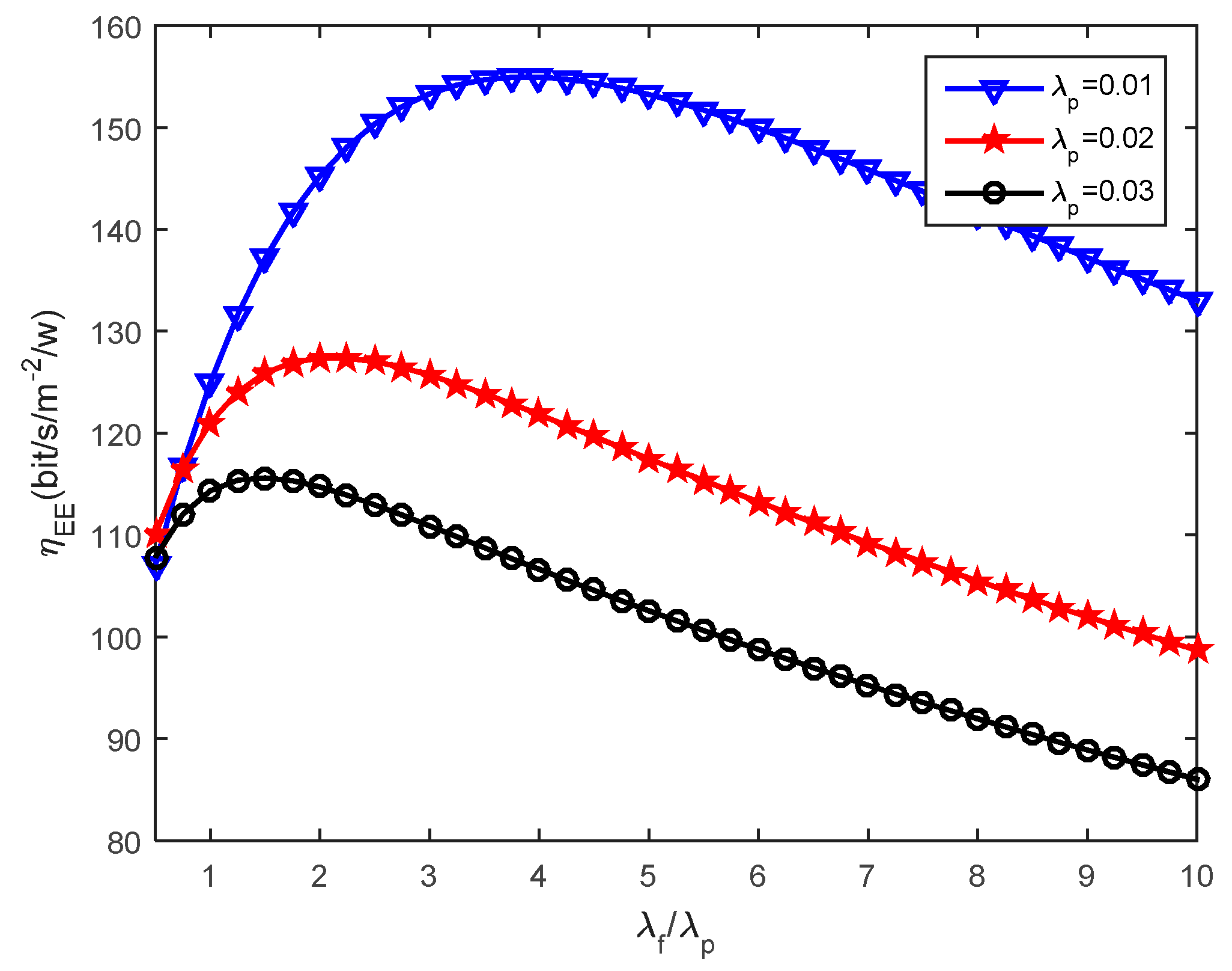
6.2. Discussion and Analysis Results
7. Conclusions
Acknowledgments
Author Contributions
Conflicts of Interest
Appendix A
References
- Global Mobile Data Traffic Forecast Update 2011–2016; White Paper; Cisco: San Jose, CA, USA, 2012; pp. 1–29.
- International Telecommunication Union. IMT Traffic Estimates for the Years 2020 to 2030; Report ITU-R M.2370-0 (07/2015); ITU Publications: Geneva, Switzerland, 2015. [Google Scholar]
- Li, Y.; Qian, M.; Jin, D.; Hui, P.; Wang, Z.; Chen, S. Multiple mobile data offloading through disruption tolerant networks. IEEE Trans. Mob. Commun. 2013, 13, 1579–1596. [Google Scholar]
- Wang, L.; Wang, Y.; Ding, Z.; Wang, X. Cell Selection Game for Densely-Deployed Sensor and Mobile Devices in 5G Networks Integrating Heterogeneous Cells and the Internet of Things. Sensors 2015, 15, 24230–24256. [Google Scholar] [CrossRef] [PubMed]
- Cheng, W.; Zhang, X.; Zhang, H. Heterogeneous statistical QoS provisioning over 5G wireless full-duplex networks. In Proceedings of the IEEE Conference on Computer Communications (INFOCOM), Hong Kong, China, 26 April–1 May 2015; pp. 55–63.
- Liu, F.; Bala, E.; Erkip, E.; Beluri, M.C.; Yang, R. Small-cell traffic balancing over licensed and unlicensed bands. IEEE Trans. Veh. Technol. 2015, 64, 5850–5865. [Google Scholar] [CrossRef]
- Zhang, X.; Zhang, J.; Wang, W.; Zhang, Y.; Chih-Lin, I.; Pan, Z.; Li, G.; Chen, Y. Macro-assisted data-only carrier for 5G green cellular systems. IEEE Commun. Mag. 2015, 53, 223–231. [Google Scholar] [CrossRef]
- Peng, M.; Wang, C.; Li, J.; Xiang, H.; Lau, V. Advances in underlay heterogeneous networks: Interference control, resource allocation, and self-organization. IEEE Commun. Surv. Tutor. 2015, 17, 700–729. [Google Scholar] [CrossRef]
- Zhang, X.; Cheng, W.; Zhang, H. Heterogeneous statistical QoS provisioning over 5G mobile wireless networks. IEEE Netw. Mag. 2014, 28, 46–53. [Google Scholar] [CrossRef]
- Xiao, Z.; Li, T.; Ding, W.; Wang, D.; Zhang, J. Dynamic PCI allocation on avoiding handover confusion via cell status prediction in LTE heterogeneous small cell networks. Wirel. Commun. Mob. Comput. 2016, 14, 1972–1986. [Google Scholar] [CrossRef]
- Cai, S.; Che, Y.; Duan, L.; Wang, J.; Zhou, S.; Zhang, R. Green 5G heterogeneous networks through dynamic small-cell operation. IEEE J. Sel. Areas Commun. 2016, 34, 1103–1115. [Google Scholar] [CrossRef]
- Liu, Y.; Zhang, Y.; Yu, R.; Xie, S. Integrated energy and spectrum harvesting for 5G wireless communications. IEEE Netw. Mag. 2015, 29, 75–81. [Google Scholar] [CrossRef]
- Klessig, H.; Öhmann, D.; Reppas, A.I.; Hatzikirou, H.; Abedi, M.; Simsek, M.; Fettweis, G.P. From immune cells to self-organizing ultra-dense small cell networks. IEEE J. Sel. Areas Commun. 2016, 34, 800–811. [Google Scholar] [CrossRef]
- Kim, J.; Jeong, C.; Yu, H.; Park, J. Areal capacity limit on the growth of small cell density in heterogeneous networks. In Proceedings of the IEEE Global Communications Conference (GLOBECOM), Austin, TX, USA, 8–12 December 2014; pp. 4263–4268.
- Amiri, K.; Johnson, D.B. Protocol evaluation in multihop wireless networks with controllable node sparsity or density (extended abstract). In Proceedings of the IEEE International Conference on Mobile Ad Hoc and Sensor Systems (MASS), Dallas, TX, USA, 19–22 October 2015; pp. 447–448.
- Feng, J.; Feng, Z.; Wei, Z.; Li, W.; Roy, S. Optimal base station density in ultra-densification heterogeneous network. In Proceedings of the IEEE Wireless Communications and Networking Conference (WCNC), New Orleans City, LA, USA, 9–12 March 2015; pp. 1452–1457.
- Wu, F.; Zhu, J.; Xi, Z.; Gao, K. Capacity of heterogeneous mobile wireless networks with D-delay transmission strategy. Sensors 2016, 16, 425. [Google Scholar] [CrossRef] [PubMed]
- Cao, D.; Zhou, S.; Niu, Z. Optimal base station density for energy-efficient heterogeneous cellular networks. In Proceedings of the 2012 IEEE International Conference on Communications (ICC), Ottawa, ON, Canada, 10–15 June 2012; pp. 4379–4383.
- Dong, A.; Luo, X.; Du, Q. A small cell deployment strategy towards amorphous coverage in the cellular network. In Proceedings of the 2015 International Wireless Communications and Mobile Computing Conference (IWCMC), Dubrovnik, Croatia, 24–28 August 2015; pp. 745–750.
- Samarakoon, S.; Bennis, M.; Saad, W.; Debbah, M.; Latva-aho, M. Ultra dense small cell networks: Turning density into energy efficiency. IEEE J. Sel. Areas Commun. 2016, 34, 1267–1280. [Google Scholar] [CrossRef]
- Peng, C.T.; Wang, L.C.; Liu, C.H. Optimal base station deployment for small cell networks with energy-efficient power control. In Proceedings of the 2015 IEEE International Conference on Communications (ICC), London, UK, 8–12 June 2015; pp. 1863–1868.
- Soh, Y.S.; Quek, T.Q.; Kountouris, M.; Shin, H. Energy efficient heterogeneous cellular networks. IEEE J. Sel. Areas Commun. 2013, 842–847. [Google Scholar] [CrossRef]
- Xiao, Z.; Li, H.; Li, Z.; Wang, D. Load-awareness energy saving strategy via success probability constraint for heterogeneous small cell networks. In Proceedings of the IEEE Annual International Symposium on Personal, Indoor, and Mobile Radio Communications (PIMRC), Hong Kong, China, 30 August–2 September 2015; pp. 743–747.
- Baccelli, F.; Blaszczyszyn, B. Stochastic Geometry and Wireless Networks, 1st ed.; Now Publishers: Boston, MA, USA, 2010; pp. 1–312. [Google Scholar]
- Ghosh, A.; Mangalvedhe, N.; Ratasuk, R.; Mondal, B.; Cudak, M.; Visotsky, E.; Thomas, T.A.; Andrews, J.G.; Ping, X.; Han, S.J.; et al. Heterogeneous cellular networks: From theory to practice. IEEE Commun. Mag. 2012, 50, 54–64. [Google Scholar] [CrossRef]
- Andrews, J.G.; Baccelli, F.; Ganti, R.K. A tractable approach to coverage and rate in cellular networks. IEEE Trans. Commun. 2011, 59, 3122–3134. [Google Scholar] [CrossRef]
- Cheng, W.; Zhang, X.; Zhang, H. Optimal power allocation with statistical QoS provisioning for D2D and cellular communications over underlaying wireless networks. IEEE J. Sel. Areas Commun. 2016, 34, 151–162. [Google Scholar] [CrossRef]
- Rappaport, T.S. Wireless Communications: Principles and Practice; Prentice Hall PTR: Upper Saddle River, NJ, USA, 2001; Volume 15, pp. 70–88. [Google Scholar]
- Cheng, W.; Zhang, X.; Zhang, H. Full-duplex spectrum-sensing and mac-protocol for multichannel non-time-slotted cognitive radio networks. IEEE J. Sel. Areas Commun. 2015, 33, 820–831. [Google Scholar] [CrossRef]
- Tan, C.W. Optimal power control in Rayleigh-fading heterogeneous wireless networks. IEEE/ACM Trans. Netw. 2015, 24, 940–953. [Google Scholar] [CrossRef]
- Yang, X.; Petropulu, A.P. Co-channel interference modelling and analysis in a Poisson field of interferers in wireless communications. IEEE Trans. Signal Process. 2003, 51, 64–76. [Google Scholar] [CrossRef]
- Jo, H.S.; Sang, Y.J.; Xia, P.; Andrews, J.G. Heterogeneous cellular networks with flexible cell association: A comprehensive downlink SINR analysis. IEEE Trans. Wirel. Commun. 2012, 11, 3484–3495. [Google Scholar] [CrossRef]
- Kuang, Q.; Utschick, W.; Dotzler, A. Optimal joint user association and multi-pattern resource allocation in heterogeneous networks. IEEE Trans. Signal Process. 2016, 64, 3388–3401. [Google Scholar] [CrossRef]
- Zhang, H.; Jiang, C.; Beaulieu, N.C.; Chu, X.; Wang, X.; Quek, T.Q. Resource allocation for cognitive small cell networks: A cooperative bargaining game theoretic approach. IEEE Trans. Wirel. Commun. 2015, 14, 3481–3493. [Google Scholar] [CrossRef]
- Jia, Y.; Zhao, M.; Zhou, W. Joint User Association and eICIC for Max–Min Fairness in HetNets. IEEE Commun. Lett. 2016, 20, 546–549. [Google Scholar] [CrossRef]
- WINNER II D1.1.2 V1.2 WINNER II Channel Models. Available online: http://www.cept.org/files/1050/documents/winner2%20-%20final%20report.pdf (accessed on 10 July 2016).
- Small Cell Enhancements for E-UTRA and E-UTRAN Physical Layer Aspects (Release 12). Available online: https://portal.3gpp.org/desktopmodules/Specifications/SpecificationDetails.aspx?specificationId=2573 (accessed on 15 June 2016).
- Goldsmith, A. Wireless Communications; Cambridge University Press: Cambridge, UK, 2013. [Google Scholar]
- Chiu, S.N.; Stoyan, D.; Kendall, W.S.; Mecke, J. Stochastic Geometry and Its Applications, 2nd ed.; John Wiley and Sons: Exeter, UK, 1996; pp. 1–436. [Google Scholar]












| Parameter | Value |
|---|---|
| BSs distribution | PPP [24,26] |
| PM | 46 dBm |
| Pp | 38 dBm |
| Pf | 24.8 dBm |
| α | 4 |
| System carrier | 2 GHz |
| System bandwidth | 40 MHz |
| Path loss for macrocell cellular link | 26 log10(d[m]) + 39 + 20 log10(fc[GHz]/5.0) |
| Path loss for Picocell cellular link | 22.7 log10(d[m]) + 41 + 20 log10(fc[GHz]/5.0) |
| Path loss for Femtocell cellular link | 18.7 log10(d[m]) + 46.8 + 20 log10(fc[GHz]/5.0) |
© 2016 by the authors; licensee MDPI, Basel, Switzerland. This article is an open access article distributed under the terms and conditions of the Creative Commons Attribution (CC-BY) license (http://creativecommons.org/licenses/by/4.0/).
Share and Cite
Xiao, Z.; Liu, H.; Havyarimana, V.; Li, T.; Wang, D. Analytical Study on Multi-Tier 5G Heterogeneous Small Cell Networks: Coverage Performance and Energy Efficiency. Sensors 2016, 16, 1854. https://doi.org/10.3390/s16111854
Xiao Z, Liu H, Havyarimana V, Li T, Wang D. Analytical Study on Multi-Tier 5G Heterogeneous Small Cell Networks: Coverage Performance and Energy Efficiency. Sensors. 2016; 16(11):1854. https://doi.org/10.3390/s16111854
Chicago/Turabian StyleXiao, Zhu, Hongjing Liu, Vincent Havyarimana, Tong Li, and Dong Wang. 2016. "Analytical Study on Multi-Tier 5G Heterogeneous Small Cell Networks: Coverage Performance and Energy Efficiency" Sensors 16, no. 11: 1854. https://doi.org/10.3390/s16111854
APA StyleXiao, Z., Liu, H., Havyarimana, V., Li, T., & Wang, D. (2016). Analytical Study on Multi-Tier 5G Heterogeneous Small Cell Networks: Coverage Performance and Energy Efficiency. Sensors, 16(11), 1854. https://doi.org/10.3390/s16111854

