A Vision-Based Sensor for Noncontact Structural Displacement Measurement
Abstract
:1. Introduction
2. Proposed Vision Sensor System

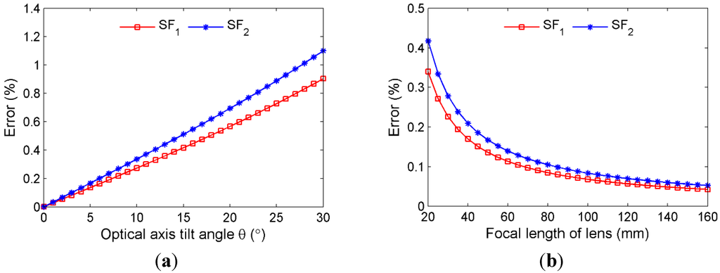
2.1. Scaling Factor Determination


2.2. Hardware of the Vision Sensor System
| Component | Model | Technical Specifications |
|---|---|---|
| Video camera | ![]() Point Grey/FL3-U3-13Y3M-C | Maximum resolution: 1280 × 1024 |
| Frame rate: 150 FPS | ||
| Chroma: Mono | ||
| Sensor type: CMOS | ||
| Pixel size: 4.8 μm | ||
| Lens mount: C-mount | ||
| Interface: USB3.0 | ||
| Optical lens | ![]() Kowa/LMVZ990 IR | Focal length: 9 to 90 mm |
| Maximum Aperture: F1.8 | ||
| Mount: C-mount | ||
| Laptop computer | ![]() Sony /PCG-41216L | Intel(R) Core(TM) i7-2620M CPU @ 2.70 GHz |
| 8192 RAM | ||
| 250 HDD | ||
| 14.1" Screen | ||
| Tripod and Accessories | Tripod, USB3.0 type-A to micro-B cable, etc. | |
2.3. Upsampled Cross Correlation for Template Matching

3. Shaking Table Test of a Frame Structure

3.1. Shaking Table Test Setup
3.2. Subpixel Resolution Performance
| Subpixel (pixel) | 1 | 0.5 | 0.2 | 0.05 |
| Resolution (mm) | ±0.669 | ±0.335 | ±0.134 | ±0.034 |

3.3. Measurement Evaluation by Tracking both Artificial and Natural Targets




| Floor | Vision Sensor | |
|---|---|---|
| Artificial Target | Natural Target | |
| Base | 0.39 | 0.60 |
| 1st | 0.28 | 0.45 |
| 2nd | 0.27 | 0.35 |
| 3rd | 0.18 | 0.32 |
4. Field Tests
4.1. Field Test of a Railway Bridge

| Test | Measurement Distance (m) | Camera Tilt Angle (°) | Train Speed (km/h) | Scaling Factor (mm/pixel) |
|---|---|---|---|---|
| T1 | 30.48 | 2 | 40.23 | 1.90 |
| T2 | 60.96 | 1 | 64.36 | 3.83 |


4.2. Field Test of a Pedestrian Bridge





5. Conclusions and Future Work
- (1)
- As a significant advantage of the proposed vision sensor, better subpixel resolution can be easily achieved by adjusting the upsampling factor. Thus structural vibrations smaller than 1 mm can be accurately measured.
- (2)
- From the shaking table test of a frame structure, satisfactory agreements are observed between the multi-point displacement time histories measured at all floors by one camera by tracking bolt connections on the structure surface and those by four laser displacement sensors.
- (3)
- In realistic field environments, the time-domain performance of the vision sensor is further confirmed through field tests of a railway bridge during train passing; and the frequency-domain performance is validated through field tests of a pedestrian bridge subjected to dynamic loading.
Acknowledgments
Author Contributions
Conflicts of Interest
References
- Fukuda, Y.; Feng, M.Q.; Shinozuka, M. Cost-Effective vision-based system for monitoring dynamic response of civil engineering structures. Struct. Control Health Monit. 2010, 17, 918–936. [Google Scholar] [CrossRef]
- Fukuda, Y.; Feng, M.Q.; Narita, Y.; Kaneko, S.; Tanaka, T. Vision-Based displacement sensor for monitoring dynamic response using robust object search algorithm. IEEE Sens. J. 2013, 13, 4725–4732. [Google Scholar] [CrossRef]
- Ribeiro, D.; Calçada, R.; Ferreira, J.; Martins, T. Non-Contact measurement of the dynamic displacement of railway bridges using an advanced video-based system. Eng. Struct. 2014, 75, 164–180. [Google Scholar] [CrossRef]
- Kohut, P.; Holak, K.; Uhl, T.; Ortyl, Ł.; Owerko, T.; Kuras, P.; Kocierz, R. Monitoring of a civil structure’s state based on noncontact measurements. Struct. Health Monit. 2013, 12, 411–429. [Google Scholar] [CrossRef]
- Gentile, C.; Bernardini, G. An interferometric radar for non-contact measurement of deflections on civil engineering structures: Laboratory and full-scale tests. Struct. Infrastruct. Eng. 2009, 6, 521–534. [Google Scholar] [CrossRef]
- Nassif, H.H.; Gindy, M.; Davis, J. Comparison of laser doppler vibrometer with contact sensors for monitoring bridge deflection and vibration. NDT E Int. 2005, 38, 213–218. [Google Scholar] [CrossRef]
- Casciati, F.; Fuggini, C. Monitoring a steel building using gps sensors. Smart Struct. Syst. 2011, 7, 349–363. [Google Scholar] [CrossRef]
- Casciati, F.; Wu, L. Local positioning accuracy of laser sensors for structural health monitoring. Struct. Control. Health Monit. 2013, 20, 728–739. [Google Scholar] [CrossRef]
- Kim, S.-W.; Jeon, B.-G.; Kim, N.-S.; Park, J.-C. Vision-Based monitoring system for evaluating cable tensile forces on a cable-stayed bridge. Struct. Health Monit. 2013, 12, 440–456. [Google Scholar] [CrossRef]
- Schumacher, T.; Shariati, A. Monitoring of structures and mechanical systems using virtual visual sensors for video analysis: Fundamental concept and proof of feasibility. Sensors 2013, 13, 16551–16564. [Google Scholar] [CrossRef]
- Song, Y.-Z.; Bowen, C.R.; Kim, A.H.; Nassehi, A.; Padget, J.; Gathercole, N. Virtual visual sensors and their application in structural health monitoring. Struct. Health Monit. 2014, 13, 251–264. [Google Scholar] [CrossRef]
- Busca, G.; Cigada, A.; Mazzoleni, P.; Zappa, E. Vibration monitoring of multiple bridge points by means of a unique vision-based measuring system. Exp. Mech. 2014, 54, 255–271. [Google Scholar] [CrossRef]
- Santos, C.A.; Costa, C.O.; Batista, J.P. Calibration methodology of a vision system for measuring the displacements of long-deck suspension bridges. Struct. Control. Health Monit. 2012, 19, 385–404. [Google Scholar] [CrossRef]
- Debella-Gilo, M.; Kääb, A. Sub-Pixel precision image matching for measuring surface displacements on mass movements using normalized cross-correlation. Remote Sens. Environ. 2011, 115, 130–142. [Google Scholar] [CrossRef]
- Lee, J.J.; Shinozuka, M. A vision-based system for remote sensing of bridge displacement. NDT&E Int. 2006, 39, 425–431. [Google Scholar]
- Lee, J.-J.; Ho, H.-N.; Lee, J.-H. A vision-based dynamic rotational angle measurement system for large civil structures. Sensors 2012, 12, 7326–7336. [Google Scholar] [CrossRef] [PubMed]
- Park, H.; Kim, J.; Kim, J.; Choi, S.; Kim, Y. A new position measurement system using a motion-capture camera for wind tunnel tests. Sensors 2013, 13, 12329–12344. [Google Scholar] [CrossRef] [PubMed]
- Wu, L.-J.; Casciati, F.; Casciati, S. Dynamic testing of a laboratory model via vision-based sensing. Eng. Struct. 2014, 60, 113–125. [Google Scholar] [CrossRef]
- Sładek, J.; Ostrowska, K.; Kohut, P.; Holak, K.; Gąska, A.; Uhl, T. Development of a vision based deflection measurement system and its accuracy assessment. Measurement 2013, 46, 1237–1249. [Google Scholar] [CrossRef]
- Feng, M.; Fukuda, Y.; Feng, D.; Mizuta, M. Nontarget vision sensor for remote measurement of bridge dynamic response. J. Bridg. Eng. 2015. [Google Scholar] [CrossRef]
- Pan, B.; Xie, H.-M.; Xu, B.Q.; Dai, F.L. Performance of sub-pixel registration algorithms in digital image correlation. Meas. Sci. Technol. 2006, 17, 1615. [Google Scholar]
- Foroosh, H.; Zerubia, J.B.; Berthod, M. Extension of phase correlation to subpixel registration. IEEE Trans. Image Process. 2002, 11, 188–200. [Google Scholar] [CrossRef] [PubMed]
- Berenstein, C.A.; Kanal, L.N.; Lavine, D.; Olson, E.C. A geometric approach to subpixel registration accuracy. Comput. Vis. Graph. Image Process. 1987, 40, 334–360. [Google Scholar] [CrossRef]
- Pilch, A.; Mahajan, A.; Chu, T. Measurement of whole-field surface displacements and strain using a genetic algorithm based intelligent image correlation method. J. Dyn. Syst. Meas. Control 2004, 126, 479–488. [Google Scholar] [CrossRef]
- Li, L.; Chen, Y.; Yu, X.; Liu, R.; Huang, C. Sub-pixel flood inundation mapping from multispectral remotely sensed images based on discrete particle swarm optimization. ISPRS J. Photogramm. Remote Sens. 2015, 101, 10–21. [Google Scholar] [CrossRef]
- Bruck, H.A.; McNeill, S.R.; Sutton, M.A.; Peters, W.H., III. Digital image correlation using newton-raphson method of partial differential correction. Exp. Mech. 1989, 29, 261–267. [Google Scholar] [CrossRef]
- Davis, C.Q.; Freeman, D.M. Statistics of subpixel registration algorithms based on spatiotemporal gradients or block matching. Opt. Eng. 1998, 37, 1290–1298. [Google Scholar] [CrossRef]
- Hijazi, A.; Friedl, A.; Kähler, C.J. Influence of camera’s optical axis non-perpendicularity on measurement accuracy of two-dimensional digital image correlation. Jordan J. Mech. Ind. Eng. 2011, 5, 373–382. [Google Scholar]
- Zhang, Z. A flexible new technique for camera calibration. IEEE Trans. Pattern Anal. Mach. Intell. 2000, 22, 1330–1334. [Google Scholar] [CrossRef]
- Dworakowski, Z.; Kohut, P.; Gallina, A.; Holak, K.; Uhl, T. Vision-Based algorithms for damage detection and localization in structural health monitoring. Struct. Control Health Monit. 2015. [Google Scholar] [CrossRef]
- Guizar-Sicairos, M.; Thurman, S.T.; Fienup, J.R. Efficient subpixel image registration algorithms. Opt. Lett. 2008, 33, 156–158. [Google Scholar] [CrossRef] [PubMed]
- Tian, Q.; Huhns, M.N. Algorithms for subpixel registration. Comput. Vis. Graph. Image Process. 1986, 35, 220–233. [Google Scholar] [CrossRef]
- Abdel-Jaber, H.; Glisic, B. Analysis of the status of pre-release cracks in prestressed concrete structures using long-gauge sensors. Smart Mater. Struct. 2015, 24. [Google Scholar] [CrossRef]
© 2015 by the authors; licensee MDPI, Basel, Switzerland. This article is an open access article distributed under the terms and conditions of the Creative Commons Attribution license (http://creativecommons.org/licenses/by/4.0/).
Share and Cite
Feng, D.; Feng, M.Q.; Ozer, E.; Fukuda, Y. A Vision-Based Sensor for Noncontact Structural Displacement Measurement. Sensors 2015, 15, 16557-16575. https://doi.org/10.3390/s150716557
Feng D, Feng MQ, Ozer E, Fukuda Y. A Vision-Based Sensor for Noncontact Structural Displacement Measurement. Sensors. 2015; 15(7):16557-16575. https://doi.org/10.3390/s150716557
Chicago/Turabian StyleFeng, Dongming, Maria Q. Feng, Ekin Ozer, and Yoshio Fukuda. 2015. "A Vision-Based Sensor for Noncontact Structural Displacement Measurement" Sensors 15, no. 7: 16557-16575. https://doi.org/10.3390/s150716557
APA StyleFeng, D., Feng, M. Q., Ozer, E., & Fukuda, Y. (2015). A Vision-Based Sensor for Noncontact Structural Displacement Measurement. Sensors, 15(7), 16557-16575. https://doi.org/10.3390/s150716557




