Highly Sensitive and Selective Colorimetric and Off-On Fluorescent Reversible Chemosensors for Al3+ Based on the Rhodamine Fluorophore
Abstract
:1. Introduction

2. Results and Discussion
2.1. Absorption Spectroscopic Studies

2.2. Fluorescence Emission Studies






| System | Absorbance EF (I/Io*) | Emission EF (F/Fo*) | Quantum yield (Ф) |
|---|---|---|---|
| L1 | 1 | 1 | <0.001 |
| L1 + Al3+ | 616 | 14 | 0.11 |
| L2 | 1 | 1 | <0.001 |
| L2 + Al3+ | 469 | 17 | 0.059 |
| L3 | 1 | 1 | <0.001 |
| L3 + Al3+ | 577 | 17 | 0.054 |
2.3. Electrochemical Measurements



2.4. 1H-NMR Titration


3. Experimental Section
3.1. Reagents and Apparatus
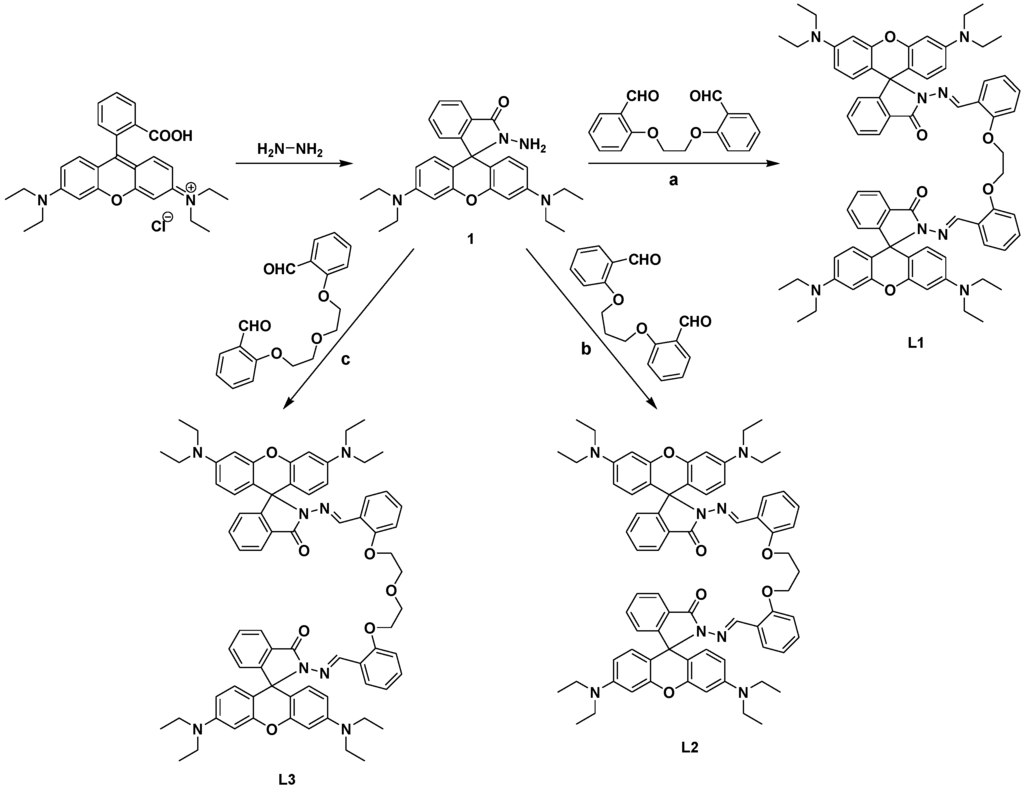
3.2. Synthesis and Characterization
3.2.1. Preparation of Rhodamine-B hydrazide (1)
3.2.2. Preparation of Compounds L1–L3
4. Conclusions
Supplementary Files
Supplementary File 1Acknowledgments
Author Contributions
Conflicts of Interest
References
- Baylor, N.W.; Egan, W.; Richman, P. Aluminum salts in vaccines-US perspective. Vaccine 2002, 20, S18–S23. [Google Scholar] [CrossRef] [PubMed]
- Soni, M.G.; White, S.M.; Flamm, W.G.; Burdock, G.A. Safety evaluation of dietary aluminum. Regul. Toxicol. Pharm. 2001, 33, 66–79. [Google Scholar] [CrossRef]
- Banks, W.A.; Kastin, A.J. Aluminum-induced neurotoxicity: Alterations in membrane function at the blood-brain barrier. Neurosci. Biobehav. Rev. 1989, 13, 47–53. [Google Scholar] [CrossRef] [PubMed]
- Good, P.F.; Olanow, C.W.; Perl, D.P. Neuromelanin-containing neurons of the substantia nigra accumulate iron and aluminum in parkinson’s disease: A LAMMA study. Brain Res. 1992, 593, 343–346. [Google Scholar] [CrossRef] [PubMed]
- Kawahara, M.; Muramoto, K.; Kobayashi, K.; Mori, H.; Kuroda, Y. Aluminum promotes the aggregation of alzheimer’s amyloid β-protein in vitro. Biochem. Biophys. Res. Commun. 1994, 198, 531–535. [Google Scholar] [CrossRef] [PubMed]
- Paik, S.R.; Lee, J.H.; Kim, D.H.; Chang, C.S.; Kim, J. Aluminum-induced structural alterations of the precursor of the non-Aβ component of alzheimer’s disease amyloid. Arch. Biochem. Biophys. 1997, 344, 325–334. [Google Scholar] [CrossRef] [PubMed]
- Lin, J.L.; Kou, M.T.; Leu, M.L. Effect of long-term low-dose aluminum-containing agents on hemoglobin synthesis in patients with chronic renal insufficiency. Nephron 1996, 74, 33–38. [Google Scholar] [CrossRef] [PubMed]
- Alvim, M.N.; Ramos, F.T.; Oliveira, D.C.; Isaias, R.M.S.; Franca, M.G.C. Aluminium localization and toxicity symptoms related to root growth inhibition in rice (Oryza sativa L.) seedlings. J. Biosci. 2012, 37, 1079–1088. [Google Scholar] [CrossRef] [PubMed]
- Alamgir, A.N.M.; Akhter, S. Effects of aluminium (Al3+) on seed germination and seedling growth of wheat (Triticum aestivum L.). Bangladesh J. Bot. 2009, 38, 1–6. [Google Scholar]
- Gupta, V.K.; Jain, A.K.; Maheshwari, G. Aluminum(III) selective potentiometric sensor based on morin in poly(vinyl chloride) matrix. Talanta 2007, 72, 1469–1473. [Google Scholar] [CrossRef] [PubMed]
- Gupta, V.K.; Goyal, R.N.; Jain, A.K.; Sharma, R.A. Aluminium (III)-selective PVC membrane sensor based on a schiff base complex of N,N'-bis (salicylidene)-1,2-cyclohexanediamine. Electrochim. Acta 2009, 54, 3218–3224. [Google Scholar] [CrossRef]
- Gupta, V.K.; Singh, A.K.; Ganjali, M.R.; Norouzi, P.; Faridbod, F.; Mergu, N. Comparative study of colorimetric sensors based on newly synthesized schiff bases. Sens. Actuators B Chem. 2013, 182, 642–651. [Google Scholar] [CrossRef]
- Chen, S.; Fang, Y.M.; Xiao, Q.; Li, J.; Li, S.B.; Chen, H.J.; Sun, J.J.; Yang, H.H. Rapid visual detection of aluminium ion using citrate capped gold nanoparticle. Analyst 2012, 137, 2021–2023. [Google Scholar] [CrossRef] [PubMed]
- Mohadesi, A.; Taher, M.A. Voltammetric determination of Cu(II) in natural waters and human hair at a meso-2,3-dimercaptosuccinic acid self-assembled gold electrode. Talanta 2007, 72, 95–100. [Google Scholar] [CrossRef] [PubMed]
- Mashhadizadeh, M.H.; Pesteh, M.; Talakesh, M.; Sheikhshoaie, I.; Ardakani, M.M.; Karimi, M.A. Solid phase extraction of lead(II), copper(II), cadmium(II) and nickel(II) using gallic acid-modified silica gel prior to determination by flame atomic absorption spectrometry. Spectrochim. Acta B 2008, 63, 885–888. [Google Scholar] [CrossRef]
- Cassella, R.J.; Magalhaes, O.I.B.; Couto, M.T.; Lima, E.L.S.; Neves, M.A.F.S.; Coutinho, F.M.B. Synthesis and application of a functionalized resin for flow injection/ F AAS copper determination in waters. Talanta 2005, 67, 121–128. [Google Scholar] [CrossRef] [PubMed]
- Ali, A.; Shen, H.; Yin, X. Simultaneous determination of trace amounts of nickel, copper and mercury by liquid chromatography coupled with flow injection online derivatization and preconcentration. Anal. Chim. Acta 1998, 369, 215–223. [Google Scholar] [CrossRef]
- Ferreira, S.L.C.; Queiroz, A.S.; Fernandes, M.S.; dos Santos, H.C. Application of factorial designs and doehlert matrix in optimization of experimental variables associated with the preconcentration and determination of vanadium and copper in seawater by inductively coupled plasma optical emission spectrometry. Spectrochim. Acta B 2002, 57, 1939–1950. [Google Scholar] [CrossRef]
- Li, Y.P.; Liu, X.M.; Zhang, Y.H.; Chang, Z. A fluorescent and colorimetric sensor for Al3+ based on a dibenzo-18-crown-6 derivative. Inorg. Chem. Commun. 2013, 33, 6–9. [Google Scholar] [CrossRef]
- Chen, C.H.; Liao, D.J.; Wan, C.F.; Wu, A.T. A turn-on and reversible schiff base fluorescence sensor for Al3+ ion. Analyst 2013, 138, 2527–2530. [Google Scholar] [CrossRef] [PubMed]
- Gupta, V.K.; Singh, A.K.; Mergu, N. Antipyrine based schiff bases as turn-on fluorescent sensors for Al(III) ion. Electrochim. Acta 2014, 117, 405–412. [Google Scholar] [CrossRef]
- Gupta, V.K.; Singh, A.K.; Kumawat, L.K. Thiazole schiff base turn-on fluorescent chemosensor for Al3+ ion. Sens. Actuators B Chem. 2014, 195, 98–108. [Google Scholar] [CrossRef]
- Gupta, V.K.; Mergu, N.; Singh, A.K. Fluorescent chemosensors for Zn2+ ions based on flavonol derivatives. Sens. Actuators B Chem. 2014, 202, 674–682. [Google Scholar] [CrossRef]
- Gupta, V.K.; Mergu, N.; Kumawat, L.K.; Singh, A.K. Selective naked-eye detection of magnesium (II) ions using a coumarin-derived fluorescent probe. Sens. Actuators B Chem. 2015, 207, 216–223. [Google Scholar] [CrossRef]
- Kim, K.B.; You, D.M.; Jeon, J.H.; Yeon, Y.H.; Kim, J.H.; Kim, C. A fluorescent and colorimetric chemosensor for selective detection of aluminum in aqueous solution. Tetrahedron Lett. 2014, 55, 1347–1352. [Google Scholar] [CrossRef]
- Azadbakht, R.; Khanabadi, J. A novel aluminum-sensitive fluorescent nano-chemosensor based on naphthalene macrocyclic derivative. Tetrahedron 2013, 69, 3206–3211. [Google Scholar] [CrossRef]
- Zhou, D.; Sun, C.; Chen, C.; Cui, X.; Li, W. Research of a highly selective fluorescent chemosensor for aluminum(III) ions based on photoinduced electron transfer. J. Mol. Struct. 2015, 1079, 315–320. [Google Scholar] [CrossRef]
- Soroka, K.; Vithanage, R.S.; Phillips, D.A.; Walker, B.; Dasgupta, P.K. Fluorescence properties of metal complexes of 8-hydroxyquinoline-5-sulfonic acid and chromatographic applications. Anal. Chem. 1987, 59, 629–636. [Google Scholar] [CrossRef]
- Kim, H.N.; Lee, M.H.; Kim, H.J.; Kim, J.S.; Yoon, J. A new trend in rhodamine-based chemosensors: application of spirolactam ring-opening to sensing ions. Chem. Soc. Rev. 2008, 37, 1465–1472. [Google Scholar] [CrossRef] [PubMed]
- Beija, M.; Afonso, C.A.M.; Martinho, J.M.G. Synthesis and applications of Rhodamine derivatives as fluorescent probes. Chem. Soc. Rev. 2009, 38, 2410–2433. [Google Scholar] [CrossRef] [PubMed]
- Grynkiewicz, G.; Poenie, M.; Tsien, R.Y. A new generation of Ca2+ indicators with greatly improved fluorescence properties. J. Biol. Chem. 1985, 260, 3440–3450. [Google Scholar] [PubMed]
- Minta, A.; Tsien, R.Y. Fluorescent indicators for cytosolic sodium. J. Biol. Chem. 1989, 264, 19449–19457. [Google Scholar] [PubMed]
- Yu, C.; Zhang, J.; Wang, R.; Chen, L. Highly sensitive and selective colorimetric and off-on fluorescent probe for Cu2+ based on rhodamine derivative. Org. Biomol. Chem. 2010, 8, 5277–5279. [Google Scholar] [CrossRef] [PubMed]
- Kaewtong, C.; Wanno, B.; Uppa, Y.; Morakot, N.; Pulpoka, B.; Tuntulani, T. Facile synthesis of rhodamine-based highly sensitive and fast responsive colorimetric and off-on fluorescent reversible chemosensors for Hg2+: Preparation of fluorescent thin film sensor. Dalton Trans. 2011, 40, 12578–12583. [Google Scholar] [CrossRef] [PubMed]
- Lee, M.H.; Wu, J.S.; Lee, J.W.; Jung, J.H.; Kim, J.S. Highly sensitive and selective chemosensor for Hg2+ based on the rhodamine fluorophore. Org. Lett. 2007, 9, 2501–2504. [Google Scholar] [CrossRef] [PubMed]
- Bag, B.; Pal, A. Rhodamine-based probes for metal ion-induced chromo-/fluorogenic dual signalling and their selectivity towards Hg(II) ion. Org. Biomol. Chem. 2011, 9, 4467–4480. [Google Scholar] [CrossRef] [PubMed]
- Shafiee, A.; Salleh, M.M.; Yahaya, M. Determination of HOMO and LUMO of [6,6]-phenyl C61-butyric acid 3-ethylthiophene ester and poly (3-octyl-thiophene-2,5-diyl) through voltametry characterization. Sains Malays. 2011, 40, 173–176. [Google Scholar]
- Gupta, V.K.; Singh, A.K.; Mergu, N. A new beryllium ion-selective membrane electrode based on dibenzo(perhydrotriazino)aza-14-crown-4 ether. Anal. Chim. Acta 2012, 749, 44–50. [Google Scholar] [CrossRef]
- Xiang, Y.; Tong, A.; Jin, P.; Ju, Y. New fluorescent rhodamine hydrazone chemosensor for Cu(II) with high selectivity and sensitivity. Org. Lett. 2006, 8, 2863–2866. [Google Scholar] [CrossRef] [PubMed]
- Gupta, V.K.; Ganjali, M.R.; Norouzi, P.; Khani, H.; Nayak, A.; Agarwal, S. Electrochemical Analysis of some Toxic Metals and Drugs by Ion Selective Electrodes. Crit. Rev. Anal. Chem. 2011, 41, 282–313. [Google Scholar] [CrossRef]
© 2015 by the authors; licensee MDPI, Basel, Switzerland. This article is an open access article distributed under the terms and conditions of the Creative Commons Attribution license (http://creativecommons.org/licenses/by/4.0/).
Share and Cite
Mergu, N.; Singh, A.K.; Gupta, V.K. Highly Sensitive and Selective Colorimetric and Off-On Fluorescent Reversible Chemosensors for Al3+ Based on the Rhodamine Fluorophore. Sensors 2015, 15, 9097-9111. https://doi.org/10.3390/s150409097
Mergu N, Singh AK, Gupta VK. Highly Sensitive and Selective Colorimetric and Off-On Fluorescent Reversible Chemosensors for Al3+ Based on the Rhodamine Fluorophore. Sensors. 2015; 15(4):9097-9111. https://doi.org/10.3390/s150409097
Chicago/Turabian StyleMergu, Naveen, Ashok Kumar Singh, and Vinod Kumar Gupta. 2015. "Highly Sensitive and Selective Colorimetric and Off-On Fluorescent Reversible Chemosensors for Al3+ Based on the Rhodamine Fluorophore" Sensors 15, no. 4: 9097-9111. https://doi.org/10.3390/s150409097
APA StyleMergu, N., Singh, A. K., & Gupta, V. K. (2015). Highly Sensitive and Selective Colorimetric and Off-On Fluorescent Reversible Chemosensors for Al3+ Based on the Rhodamine Fluorophore. Sensors, 15(4), 9097-9111. https://doi.org/10.3390/s150409097

