Seasonal Dynamics of Avian Dietary and Foraging Location Guilds in Relation to Urban Land Cover Structure: A Case Study from Taizhou, China
Abstract
1. Introduction
2. Materials and Methods
2.1. Study Area
2.2. Study Design and Bird Surveys
2.3. Environmental Variables Selection
2.4. Classification of Bird Guilds
2.5. Data Analysis
3. Results
3.1. General Survey Results
3.2. Seasonal Variation in Bird Community Composition and Functional Guilds
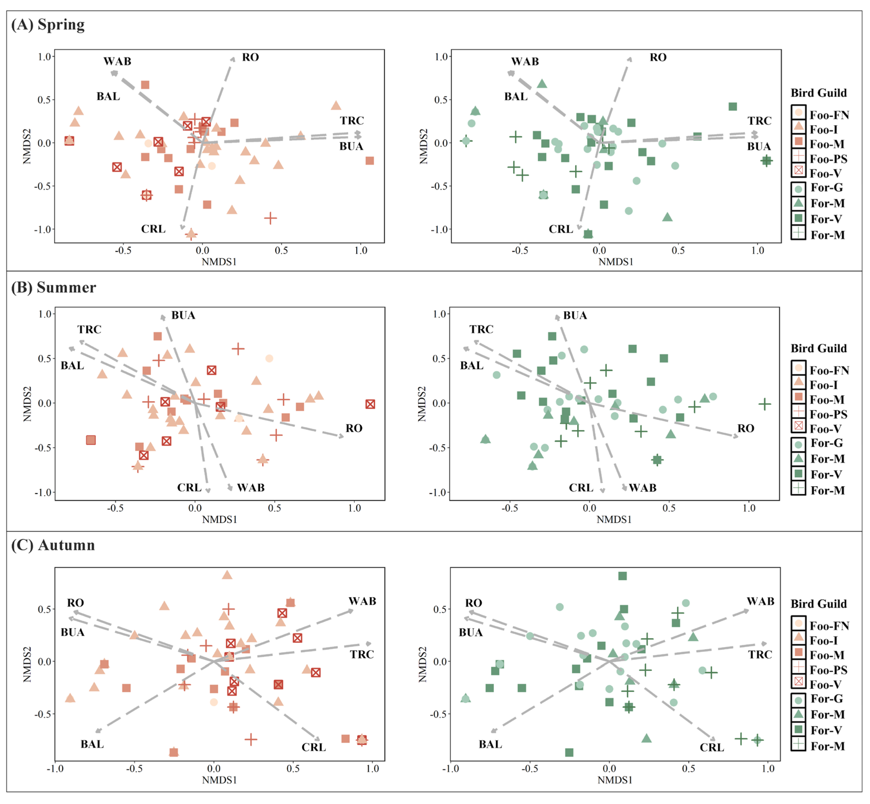
3.3. Influence of Land Cover on Birdfunctional Guilds
4. Discussion
5. Conclusions
Supplementary Materials
Author Contributions
Funding
Institutional Review Board Statement
Data Availability Statement
Acknowledgments
Conflicts of Interest
References
- Xiong, Y.; Li, Z.; Ruan, L.; Dai, S.; Hu, L. Comparison of avian diversity between urban parks adjacent to mountain and river in the largest megacity Guangzhou, South China. Urban For. Urban Green. 2022, 77, 127756. [Google Scholar] [CrossRef]
- Chen, Y.; Rasool, M.A.; Hussain, S.; Meng, S.; Yao, Y.; Wang, X.; Liu, Y. Bird community structure is driven by urbanization level, blue-green infrastructure configuration and precision farming in Taizhou, China. Sci. Total Environ. 2023, 859, 160096. [Google Scholar] [CrossRef] [PubMed]
- Liu, Y.; Huang, C.; Zhang, L. The Spatio-Temporal Patterns and Driving Forces of Land Use in the Context of Urbanization in China: Evidence from Nanchang City. Int. J. Environ. Res. Public Health 2023, 20, 2330. [Google Scholar] [CrossRef] [PubMed]
- Ding, Q.; Pan, T.; Lin, T.; Zhang, C. Urban Land-Cover Changes in Major Cities in China from 1990 to 2015. Int. J. Environ. Res. Public Health 2022, 19, 16079. [Google Scholar] [CrossRef]
- Yang, J.; Xing, Z.; Cheng, C. How Urban Fringe Expansion Affects Green Habitat Diversity? Analysis from Urban and Local Scale in Hilly City. J. Environ. Public Health 2022, 2022, 8566686. [Google Scholar] [CrossRef]
- Sun, B.; Lu, Y.; Yang, Y.; Yu, M.; Yuan, J.; Yu, R.; Bullock, J.M.; Stenseth, N.C.; Li, X.; Cao, Z.; et al. Urbanization affects spatial variation and species similarity of bird diversity distribution. Sci. Adv. 2022, 8, eade3061. [Google Scholar] [CrossRef]
- Barik, S.; Saha, G.K.; Mazumdar, S. Influence of land cover features on avian community and potential conservation priority areas for biodiversity at a Ramsar site in India. Ecol. Process. 2022, 11, 25. [Google Scholar] [CrossRef]
- Xie, S.; Ouyang, Z.; Gong, C.; Meng, N.; Lu, F. Seasonal fluctuations of urban birds and their responses to immigration: An example from Macau, China. Urban For. Urban Green. 2021, 59, 126936. [Google Scholar] [CrossRef]
- Lee, M.-B.; Peabotuwage, I.; Gu, H.; Zhou, W.; Goodale, E. Factors affecting avian species richness and occupancy in a tropical city in southern China: Importance of human disturbance and open green space. Basic Appl. Ecol. 2019, 39, 48–56. [Google Scholar] [CrossRef]
- Liang, J.; Yu, C.; Jiang, X.; Liu, R.; Tan, Y.; Du, Z.; Zhang, J. Supporting effect of landscape characteristics of urban green ecotone on avian community: A case study of Huangshan City Center, 2024. Authorea 2024. preprint. [Google Scholar] [CrossRef]
- Whelan, C.J.; Şekercioğlu, Ç.H.; Wenny, D.G. Why birds matter: From economic ornithology to ecosystem services. J. Ornithol. 2015, 156, 227–238. [Google Scholar] [CrossRef]
- Wang, X.; Wang, X.; Dai, S.; Zhai, F.; Ding, J.; Wang, L. The dual lens of diversity: Seasonal variability of avian community structure in urban hills. Glob. Ecol. Conserv. 2024, 54, e03200. [Google Scholar] [CrossRef]
- Panda, B.P.; Prusty, B.A.K.; Panda, B.; Pradhan, A.; Parida, S.P. Habitat heterogeneity influences avian feeding guild composition in urban landscapes: Evidence from Bhubaneswar, India. Ecol. Process 2021, 10, 31. [Google Scholar] [CrossRef]
- Tu, H.-M.; Fan, M.-W.; Ko, J.C.-J. Different Habitat Types Affect Bird Richness and Evenness. Sci. Rep. 2020, 10, 1221. [Google Scholar] [CrossRef] [PubMed]
- Davis, K.P.; Sofaer, H.R.; Pejchar, L. Land cover differentially affects abundance of common and rare birds. Glob. Change Biol. 2023, 29, 2999–3009. [Google Scholar] [CrossRef]
- Fraissinet, M.; Ancillotto, L.; Migliozzi, A.; Capasso, S.; Bosso, L.; Chamberlain, D.E.; Russo, D. Responses of avian assemblages to spatiotemporal landscape dynamics in urban ecosystems. Landsc. Ecol. 2023, 38, 293–305. [Google Scholar] [CrossRef]
- Bernard, T.; Kodikara, K.A.S.; Sleutel, J.; Wijeratne, G.G.N.K.; Hugé, J.; Kumara, M.P.; Weerasinghe, M.A.Y.N.; Ranakawa, D.P.D.; Thakshila, W.A.K.G.; Dahdouh-Guebas, F. Assessing the Influence of Anthropogenic Land-Use Changes on Bird Diversity and Feeding Guilds—A Case Study of Kalametiya Lagoon (Southern Sri Lanka). Diversity 2023, 15, 383. [Google Scholar] [CrossRef]
- Husna, F.; Nurhayati, N.; Patria, M.P.; Winarni, N.L. Diversity of bird-feeding guilds in Bukit Mas Village, North Sumatra, Indonesia. Biodiversitas 2024, 25. [Google Scholar] [CrossRef]
- Wang, X.; Zhu, G.; Ma, H.; Wu, Y.; Zhang, W.; Zhang, Y.; Li, C.; de Boer, W.F. Bird communities’ responses to human-modified landscapes in the southern Anhui Mountainous Area. Avian Res. 2022, 13, 100006. [Google Scholar] [CrossRef]
- Xie, S.; Marzluff, J.M.; Su, Y.; Wang, Y.; Meng, N.; Wu, T.; Gong, C.; Lu, F.; Xian, C.; Zhang, Y.; et al. The role of urban waterbodies in maintaining bird species diversity within built area of Beijing. Sci. Total Environ. 2022, 806, 150430. [Google Scholar] [CrossRef]
- Wong, J.S.; Soh, M.C.; Low, B.W.; Er, K.B. Tropical bird communities benefit from regular-shaped and naturalised urban green spaces with water bodies. Landsc. Urban Plan. 2023, 231, 104644. [Google Scholar] [CrossRef]
- Neate-Clegg, M.H.C.; Tonelli, B.A.; Youngflesh, C.; Wu, J.X.; Montgomery, G.A.; Şekercioğlu, Ç.H.; Tingley, M.W. Traits shaping urban tolerance in birds differ around the world. Curr. Biol. 2023, 33, 1677–1688. [Google Scholar] [CrossRef]
- Sohil, A.; Sharma, N. Assessing the bird guild patterns in heterogeneous land use types around Jammu, Jammu and Kashmir, India. Ecol. Process 2020, 9, 49. [Google Scholar] [CrossRef]
- Violle, C.; Navas, M.-L.; Vile, D.; Kazakou, E.; Fortunel, C.; Hummel, I.; Garnier, E. Let the concept of trait be functional! Oikos 2007, 116, 882–892. [Google Scholar] [CrossRef]
- Ding, Z.; Liang, J.; Hu, Y.; Zhou, Z.; Sun, H.; Liu, L.; Liu, H.; Hu, H.; Si, X. Different responses of avian feeding guilds to spatial and environmental factors across an elevation gradient in the central Himalaya. Ecol. Evol. 2019, 9, 4116–4128. [Google Scholar] [CrossRef] [PubMed]
- Golab, M.J.; Sniegula, S.; Brodin, T. Cross-Latitude Behavioural Axis in an Adult Damselfly Calopteryx splendens (Harris, 1780). Insects 2022, 13, 342. [Google Scholar] [CrossRef]
- Ahmed, T.; Khan, A. Avifaunal feeding guilds’ response to landscape compositional heterogeneity and their drivers in forest mosaic, Uttarakhand, India. J. Trop. Ecol. 2022, 38, 183–193. [Google Scholar] [CrossRef]
- Swartz, T.M.; Gleditsch, J.M.; Behm, J.E. A functional trait approach reveals the effects of landscape context on ecosystem services provided by urban birds. Landsc. Urban Plan. 2023, 234, 104724. [Google Scholar] [CrossRef]
- Li, B.; Bibi, N.; Ma, S.; Chen, W.; Yang, M.; Xiang, N.; Cui, Q.; Tan, L. Taxonomic and functional nestedness of bird communities in urban parks of Liuzhou, China. Biodivers. Data J. 2025, 13, e154385. [Google Scholar] [CrossRef]
- Lin, S.; Liang, W. Geographic variation in urbanization filter effects on birds in China. Environ. Monit. Assess. 2025, 197, 1015. [Google Scholar] [CrossRef]
- Bibby, C.J. Bird Census Techniques, 2nd ed.; Academic Press: Cambridge, MA, USA, 2000; ISBN 9780120958313. [Google Scholar]
- Zheng, G. A Checklist on the Classification and Distribution of the Birds of China, 4th ed.; Science Press: Beijing, China, 2023; ISBN 9787030754165. [Google Scholar]
- Li, Z.H.; He, W.; Cheng, M.F.; Hu, J.X.; An, X.; Huang, Y.; Yang, G.Y.; Zhang, H.Y. SinoLC-1: The first 1-meter resolution national-scale land-cover map of China created with the deep learning framework and open-access data (User guide V2.4). Earth Syst. Sci. Data 2023, 15, 4749–4780. [Google Scholar] [CrossRef]
- Wilman, H.; Belmaker, J.; Simpson, J.; de La Rosa, C.; Rivadeneira, M.M.; Jetz, W. Elton-Traits 1.0: Species-level foraging attributes of the world’s birds and mammals. Ecology 2014, 95, 2027. [Google Scholar] [CrossRef]
- Dray, S.; Choler, P.; Dolédec, S.; Peres-Neto, P.R.; Thuiller, W.; Pavoine, S.; ter Braak, C.J.F. Combining the fourth-corner and the RLQ methods for assessing trait responses to environmental variation. Ecology 2014, 95, 14–21. [Google Scholar] [CrossRef] [PubMed]
- Pabico, L.; Duya, M.; Fidelino, J.; Ong, P.; Duya, M.R. Bird Feeding Guild Assemblage along a Disturbance Gradient in the Pantabangan-Carranglan Watershed and Forest Reserve, Central Luzon Island, Philippines. Philipp. J. Sci. 2021, 150, 237–255. [Google Scholar] [CrossRef]
- Damos, P.; Savopoulou-Soultani, M. Temperature-Driven Models for Insect Development and Vital Thermal Requirements. Psyche A J. Entomol. 2012, 2012, 123405. [Google Scholar] [CrossRef]
- Tryjanowski, P.; Skórka, P.; Sparks, T.H.; Biaduń, W.; Brauze, T.; Hetmański, T.; Martyka, R.; Indykiewicz, P.; Myczko, Ł.; Kunysz, P.; et al. Urban and rural habitats differ in number and type of bird feeders and in bird species consuming supplementary food. Environ. Sci. Pollut. Res. Int. 2015, 22, 15097–15103. [Google Scholar] [CrossRef]
- Fatima, Z.; Ahmed, M.; Hussain, M.; Abbas, G.; Ul-Allah, S.; Ahmad, S.; Ahmed, N.; Ali, M.A.; Sarwar, G.; Haque, E.U.; et al. The fingerprints of climate warming on cereal crops phenology and adaptation options. Sci. Rep. 2020, 10, 18013. [Google Scholar] [CrossRef]
- Smit, B.; Woodborne, S.; Wolf, B.O.; McKechnie, A.E. Differences in the use of surface water resources by desert birds are revealed using isotopic tracers. Auk 2019, 136, uky005. [Google Scholar] [CrossRef]
- Lee, A.T.K.; Wright, D.; Barnard, P. Hot bird drinking patterns: Drivers of water visitation in a fynbos bird community. Afr. J. Ecol. 2017, 55, 541–553. [Google Scholar] [CrossRef]
- Santos, E.G.; Wiederhecker, H.C.; Pompermaier, V.T.; Gainsbury, A.M.; Schirmer, S.C.; Morais, C.V.F.; Fontenele, J.L.; Morais de Santana, M.C.; Marini, M.Â. Urbanization reduces diversity, simplifies community and filter bird species based on their functional traits in a tropical city. Sci. Total Environ. 2024, 935, 173379. [Google Scholar] [CrossRef]
- Stukenholtz, E.E.; Stevens, R.D. Taxonomic and functional components of avian meta-community structure along an urban gradient. PLoS ONE 2022, 17, e0271405. [Google Scholar] [CrossRef]
- Sidemo-Holm, W.; Ekroos, J.; Reina García, S.; Söderström, B.; Hedblom, M. Urbanization causes biotic homogenization of woodland bird communities at multiple spatial scales. Glob. Change Biol. 2022, 28, 6152–6164. [Google Scholar] [CrossRef]
- Adam, M.E.A.; Mohamed, M.A.E. Bird Habitats in Urban Environments: A Case from an Urban Landfill in and around Tayba Al Hasanab Landfill, Khartoum, Sudan. J. Environ. Prot. 2024, 15, 887–905. [Google Scholar] [CrossRef]





| Attribute | Bird Guild | Description |
|---|---|---|
| Dietary | Fruit-Nectar Feeders (Foo-FN) | Primarily consume fruits, drupes, nectar, pollen, plant exudates, and gums (>50% of use) |
| Plant-Seed Feeders (Foo-PS) | Mainly feed on seeds, maize, nuts, spores, wheat, grains, and other plant materials (>50% of use) | |
| Invertebrate Feeders (Foo-I) | Predominantly consume invertebrates (>50% of use) | |
| Vertebrate Feeders (Foo-V) | Feed extensively on vertebrates including mammals, birds, reptiles, fish, and scavenge (>50% of use) | |
| Mixed Feeders (Foo-M) | Do not exceed 50% use in any of the above categories | |
| Foraging Location | Vegetation Layer Foragers (For-V) | Forage predominantly in the understory, mid-high, and canopy layers (>50% of use) |
| Ground Foragers (For-G) | Mainly forage on the ground (>50% of use) | |
| Water Foragers (For-W) | Primarily forage on water surfaces or underwater (>50% of use) | |
| Multi-layer Foragers (For-M) | Do not exceed 50% use in any of the above categories |
Disclaimer/Publisher’s Note: The statements, opinions and data contained in all publications are solely those of the individual author(s) and contributor(s) and not of MDPI and/or the editor(s). MDPI and/or the editor(s) disclaim responsibility for any injury to people or property resulting from any ideas, methods, instructions or products referred to in the content. |
© 2026 by the authors. Licensee MDPI, Basel, Switzerland. This article is an open access article distributed under the terms and conditions of the Creative Commons Attribution (CC BY) license.
Share and Cite
Wang, X.; Wang, L.; Ye, J.; Zhang, L.; Wang, B.; Ding, J. Seasonal Dynamics of Avian Dietary and Foraging Location Guilds in Relation to Urban Land Cover Structure: A Case Study from Taizhou, China. Diversity 2026, 18, 65. https://doi.org/10.3390/d18020065
Wang X, Wang L, Ye J, Zhang L, Wang B, Ding J. Seasonal Dynamics of Avian Dietary and Foraging Location Guilds in Relation to Urban Land Cover Structure: A Case Study from Taizhou, China. Diversity. 2026; 18(2):65. https://doi.org/10.3390/d18020065
Chicago/Turabian StyleWang, Xue, Lei Wang, Jun Ye, Lu Zhang, Bangfeng Wang, and Jingjing Ding. 2026. "Seasonal Dynamics of Avian Dietary and Foraging Location Guilds in Relation to Urban Land Cover Structure: A Case Study from Taizhou, China" Diversity 18, no. 2: 65. https://doi.org/10.3390/d18020065
APA StyleWang, X., Wang, L., Ye, J., Zhang, L., Wang, B., & Ding, J. (2026). Seasonal Dynamics of Avian Dietary and Foraging Location Guilds in Relation to Urban Land Cover Structure: A Case Study from Taizhou, China. Diversity, 18(2), 65. https://doi.org/10.3390/d18020065
