The Abundance-Preference Method for Assemblage Analysis: A Normalized Diagram with Algorithm Implementing the Method
Abstract
1. Introduction
2. The Abundance Preference Diagram (APD) Method
3. Methods
- -
- To make this tool applicable to any assemblage of any systematic group, we introduced two adaptations: the first consists of reducing the scale of the ordinate axis (abundances) to the interval [0–1], identically to the abscissas axis; the second adaptation concerns the equation of the hyperbola proposed for ranking the assemblage species according to their preference, more precisely its opening, the number of hyperbolas required, and their positions in relation to the curve of exclusive species (ESC);
- -
- Developing an algorithm for implementing the method: this tool is intended to calculate the DP and to plot the APD in both its original and normalized forms.
4. Results
4.1. Towards the Normalized APD
4.1.1. Justification
4.1.2. Normalizing the Y-Axis (Abundance)
4.1.3. Adapting the APD Zoning to the Normalized Y-Abscissa
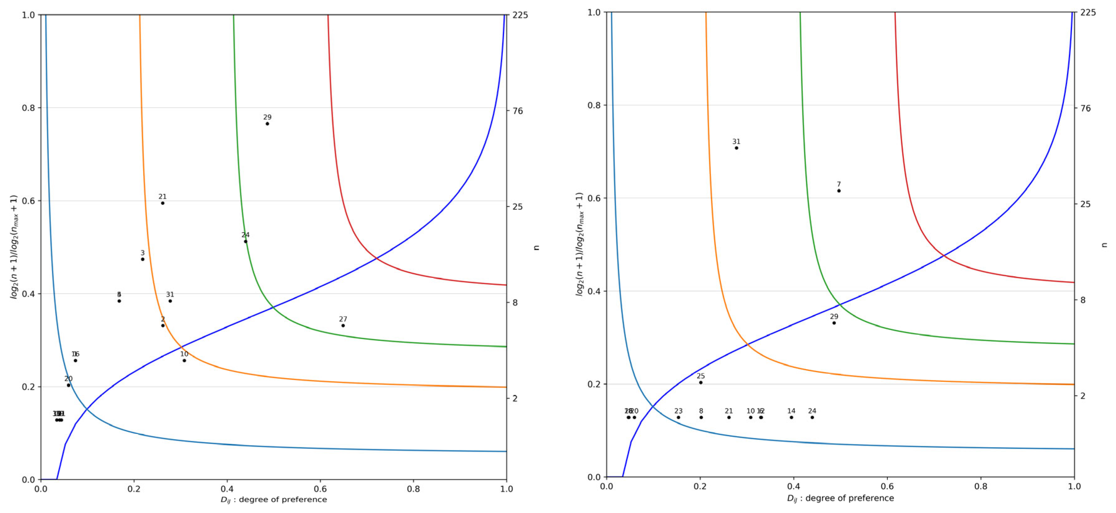
4.2. Application of the Normalized APD Across a Case Study
4.3. Algorithm for Implementing the APD Method
4.3.1. Introduction
4.3.2. Inputs
- -
- I: Total number of species;
- -
- J: Total number of habitats;
- -
- Abundance: Matrix[I][J].
4.3.3. Outputs: APDs
- -
- DP: Vector of preference indices of the species;
- -
- APD axes;
- -
- X-axis (abscissa): preference index (DP), ranging from 0 to 1;
- -
- Y1-axis (ordinate):, ranging from 0 to + 1), in non-normalized APD and Y2-axis:/ + 1), ranging from 0 to 1 in normalized APDs;
- -
- Reference curves: exclusive species curve (ESC) and hyperbolas;
- -
- Species projection for each assemblage.
4.3.4. Algorithm Steps
Initialization
- -
- Create a vector DP[I] to store preference indices.
- -
- Create a vector D_sum[I] to store the sum of adjusted abundances (increased by 1).
- -
- Define Dk_n as a list of reference values [0.1, 0.3, 0.5, 0.75] for normalized APD.
- -
- Define Dk_nn as a list of reference values [0.01, 0.1, 0.3, 0.5, 0.75] for non-normalized APD.
- -
- Initialize matrix A[I][J] as species abundances for projecting each habitat/assemblage (in non-normalized APD).
- -
- Initialize matrix B[I][J] as species abundances for projecting each habitat/assemblage (In normalized APD).
Calculating Preference Indices (DP)
Drawing the Exclusive Species Curve (ESC)
Calculate and Plot Hyperbolas
Calculate A and B
5. Discussion
6. Conclusions
Supplementary Materials
Author Contributions
Funding
Institutional Review Board Statement
Data Availability Statement
Acknowledgments
Conflicts of Interest
References
- Pielou, E.C. Ecological Diversity; Wiley: New York, NY, USA, 1975; 165p. [Google Scholar] [CrossRef]
- Daget, J. Les Modèles Mathématiques en Écologie; Collection d’écologie n°8; Masson: Paris, France, 1976; p. 172. [Google Scholar] [CrossRef]
- Cock, M.J.W. The Assessment of Preference. J. Anim. Ecol. 1978, 47, 805–816. [Google Scholar] [CrossRef]
- Huston, M. A general hypothesis of species diversity. Am. Nat. 1979, 113, 81–101. [Google Scholar] [CrossRef]
- Legendre, P.; Legendre, L. Developments in Environmental Modelling. In Volume 20: Numerical Ecology, 2nd English ed.; Elsevier Science: Amsterdam, The Netherlands, 1998; 853p. [Google Scholar]
- Elith, J.; Leathwick, J.R. Species distribution models: Ecological explanation and prediction across space and time. Annu. Rev. Ecol. Evol. Syst. 2009, 40, 677–697. [Google Scholar] [CrossRef]
- Kéry, M.; Royle, J.A. Applied Hierarchical Modeling in Ecology: Analysis of distribution, abundance and species richness in R and BUGS. In Vol. 1: Prelude and Static Models; Elsevier: Amsterdam, The Netherlands, 2016; p. 783. [Google Scholar] [CrossRef]
- Dorfman, J.R.; van Beijeren, H.; Kirkpatrick, T.R. The Boltzmann equation 1: Fundamentals. In Contemporary Kinetic Theory of Matter; Cambridge University Press: Cambridge, UK, 2021; pp. 19–59. [Google Scholar] [CrossRef]
- Castaño-Quintero, S.; Velasco, J.; González-Voyer, A.; Martínez-Meyer, E.; Yáñez-Arenas, C. Niche position and niche breadth effects on population abundances: A case study of New World Warblers (Parulidae). Ecol. Evol. 2023, 14, e11108. [Google Scholar] [CrossRef] [PubMed]
- Jaccard, P. Étude comparative de la distribution florale dans une portion des Alpes et des Jura. Bull. Soc. Vaud. Sci. Nat. 1901, 37, 547–579. [Google Scholar] [CrossRef]
- Mac Arthur, R.H.; Wilson, E.O. The Theory of Island Biogeography; Princeton University Press: Princeton, NJ, USA, 1967; p. 203. [Google Scholar]
- Fretwell, S.D.; Lucas, H.L. On territorial behaviour and other factors influencing habitat distribution in birds. Acta Biotheor. 1969, 14, 16–36. [Google Scholar] [CrossRef]
- Mac Arthur, R.H. Geographical Ecology: Patterns in the Distribution of Species; Harper & Row Publishers: New York, NY, USA, 1972; p. 269. [Google Scholar]
- Dakki, M. Ecosystème d’eau courante du haut Sebou (Moyen Atlas). Trav. Inst. Sci. Rabat Série Zool. 1987, 42, 1–100. [Google Scholar]
- Soberon, J.; Peterson, A.T. Interpretation of models of fundamental ecological niches and species’ distributional areas. Biodivers. Inform. 2005, 2, 1–10. [Google Scholar] [CrossRef]
- Brambilla, M.; Ficetola, G.F. Species distribution models as a tool to estimate reproductive parameters: A case study with a passerine bird species. J. Anim. Ecol. 2012, 81, 781–787. [Google Scholar] [CrossRef]
- Dallas, T.A.; Hastings, A. Habitat suitability estimated by niche models is largely unrelated to species abundance. Glob. Ecol. Biogeogr. 2018, 27, 1448–1456. [Google Scholar] [CrossRef]
- Waldock, C.; Stuart-Smith, R.D.; Albouy, C.; Cheung, W.W.L.; Edgar, G.J.; Mouillot, D.; Tjiputra, J.; Pellissier, L. A quantitative review of abundance-based species distribution models. Ecography 2022, 2022, e05694. [Google Scholar] [CrossRef]
- Zerrouk, M.; Dakki, M.; El Agbani, M.A.; El Alami, M.; Bennas, N.; Qninba, A.; Himmi, O. Evolution of the benthic communities in a North-African river, the Upper Sebou (Middle Atlas, Morocco) between 1981 and 2017: Effects of global changes. Biologia 2021, 76, 2973–2989. [Google Scholar] [CrossRef]
- Bagno, E.; Battisti, C.; Zullo, F.; Amori, G. Applying Abundance/Biomass Comparison Curves to Small Mammals: A Weak Tool for Detect Urbanization-Related Stress in the Assemblages? Folia Oecologica 2020, 47, 10–15. [Google Scholar] [CrossRef]
- Kazila, E.; Ntislidou, C.; Voreadou, C. Comparison of quantitative and semi-quantitative sampling methodologies for biomonitoring of Mediterranean streams using benthic macroinvertebrates: A case study from Greece. Environ. Monit. Assess. 2022, 195, 53. [Google Scholar] [CrossRef]
- Simpson, E.H. Measurement of diversity. Nature 1949, 163, 688. [Google Scholar] [CrossRef]
- Margalef, R. Information theory in ecology. Gen. Syst. 1958, 3, 36–71. [Google Scholar]
- Dakki, M.; Ennakri, M.; El Farouki, M.; Ziti, S.; Zoglat, A. A Graphical Method for Analysing Species Assemblages Combining Habitat Preference and Abundance. Afr. J. Ecol. 2025, 63, 1–13. [Google Scholar] [CrossRef]
- Dolédec, S.; Chessel, D.; Gimaret-Carpentier, C. Niche separation in community analysis: A new method. Ecology 2000, 81, 2914. [Google Scholar] [CrossRef]
- De Cáceres, M.; Legendre, P.; Moretti, M. Improving indicator species analysis by combining groups of sites. Oikos 2010, 119, 1674–1684. [Google Scholar] [CrossRef]
- Shannon, C.E.; Weaver, W. The Mathematical Theory of Communication; University of Illinois Press: Urbana, IL, USA, 1949; pp. 9–131. [Google Scholar] [CrossRef]
- Mishra, P.; Pandey, C.M.; Singh, U.; Keshri, A.; Sabaretnam, M. Selection of appropriate statistical methods for data analysis. Ann. Card. Anaesth. 2019, 22, 297–302. [Google Scholar] [CrossRef] [PubMed]
- Ali, P.J.M.; Faraj, R.H. Data Normalization and Standardization: A Technical Report. Mach. Learn. Tech. Rep. 2014, 1, 1–6. [Google Scholar] [CrossRef]
- Trebuňa, P.; Halčinová, J.; Fil’o, M.; Markovič, J. The importance of normalization and standardization in the process of clustering. In Proceedings of the 2014 IEEE 12th International Symposium on Applied Machine Intelligence and Informatics (SAMI), Herl’any, Slovakia, 23–25 January 2014. [Google Scholar] [CrossRef]
- Henderi, H.; Wahyuningsih, T.; Rahwanto, E. Comparison of Min-Max normalization and Z-Score Normalization in the K-nearest neighbor (kNN) Algorithm to Test the Accuracy of Types of Breast Cancer. Int. J. Inform. Inf. Syst. 2021, 4, 13–20. [Google Scholar] [CrossRef]
- Wang, B.; Sun, F.; Luan, Y. Comparison of the effectiveness of different normalization methods for metagenomic cross-study phenotype prediction under heterogeneity. Sci. Rep. 2024, 14, 7024. [Google Scholar] [CrossRef] [PubMed]
- Ali, P.J.M. Investigating the impact of min-max data normalization on the regression performance of K-Nearest Neighbor with different similarity measurements. ARO—Sci. J. Koya Univ. 2022, 10, 85–91. [Google Scholar] [CrossRef]
- Barnett, J.H. Enter, stage center: The early drama of the hyperbolic functions. Math. Mag. 2004, 77, 15–30. [Google Scholar] [CrossRef]
- Crasmareanu, M.; Popescu, M. Quaternionic product of equilateral hyperbolas and some extensions. Mathematics 2020, 8, 1686. [Google Scholar] [CrossRef]
- Bayed, A. Etude Ecologique des Ecosystèmes de Plages de Sable Fin de la Côte Atlantique Marocaine. Bachelor’s Thesis, Etat, Université Mohammed V, Faculté des Sciences de Rabat, Rabat, Morocco, 1991; 229p. [Google Scholar]
- Bardach, J.E.; Ivlev, V.S.; Scott, D.S. Experimental ecology of the feeding of fishes. Copeia 1962, 1962, 234–236. [Google Scholar] [CrossRef]
- Manly, B.F.J.; Miller, P.; Cook, L.M. Analysis of a selective predation experiment. Am. Nat. 1972, 106, 719–736. [Google Scholar] [CrossRef]
- Strauss, R.E. Reliability estimates for Ivlev’s electivity index, the forage ratio, and a proposed linear index of food selection. Trans. Am. Fish. Soc. 1979, 108, 344–352. [Google Scholar] [CrossRef]
- Vanderploeg, H.A.; Scavia, D. Calculation and use of selectivity, coefficients of feeding zooplankton grazing. Ecol. Model. 1979, 7, 135–149. [Google Scholar] [CrossRef]
- Sabelis, M.W. How to analyze prey preference when prey density varies? A new method to discriminate between effects of gut fullness and prey type composition. Oecologia 1990, 82, 289–298. [Google Scholar] [CrossRef] [PubMed]
- Underwood, A.J.; Chapman, M.G.; Crowe, T.P. Identifying and understanding ecological preferences for habitat or prey. J. Exp. Mar. Biol. Ecol. 2004, 300, 161–187. [Google Scholar] [CrossRef]
- Maia, C.M.; Volpato, G.L. A history-based method to estimate animal preference. Sci. Rep. 2016, 6, 28328. [Google Scholar] [CrossRef] [PubMed]







Disclaimer/Publisher’s Note: The statements, opinions and data contained in all publications are solely those of the individual author(s) and contributor(s) and not of MDPI and/or the editor(s). MDPI and/or the editor(s) disclaim responsibility for any injury to people or property resulting from any ideas, methods, instructions or products referred to in the content. |
© 2025 by the authors. Licensee MDPI, Basel, Switzerland. This article is an open access article distributed under the terms and conditions of the Creative Commons Attribution (CC BY) license (https://creativecommons.org/licenses/by/4.0/).
Share and Cite
Ennakri, M.; Dakki, M.; El Farouki, M.; Ziti, S.; Zoglat, A. The Abundance-Preference Method for Assemblage Analysis: A Normalized Diagram with Algorithm Implementing the Method. Diversity 2025, 17, 598. https://doi.org/10.3390/d17090598
Ennakri M, Dakki M, El Farouki M, Ziti S, Zoglat A. The Abundance-Preference Method for Assemblage Analysis: A Normalized Diagram with Algorithm Implementing the Method. Diversity. 2025; 17(9):598. https://doi.org/10.3390/d17090598
Chicago/Turabian StyleEnnakri, Meryem, Mohamed Dakki, Mohamed El Farouki, Soumia Ziti, and Abdelhak Zoglat. 2025. "The Abundance-Preference Method for Assemblage Analysis: A Normalized Diagram with Algorithm Implementing the Method" Diversity 17, no. 9: 598. https://doi.org/10.3390/d17090598
APA StyleEnnakri, M., Dakki, M., El Farouki, M., Ziti, S., & Zoglat, A. (2025). The Abundance-Preference Method for Assemblage Analysis: A Normalized Diagram with Algorithm Implementing the Method. Diversity, 17(9), 598. https://doi.org/10.3390/d17090598

