Combining Grass-Legume Mixtures with Soil Amendments Boost Aboveground Productivity on Engineering Spoil Through Selection and Compensation Effects
Abstract
1. Introduction
2. Materials and Methods
2.1. Overview of the Research Area
2.2. Soil Treatment and Plant Configuration
2.3. Data Collection and Calculation
2.4. Data Analysis
3. Results and Analysis
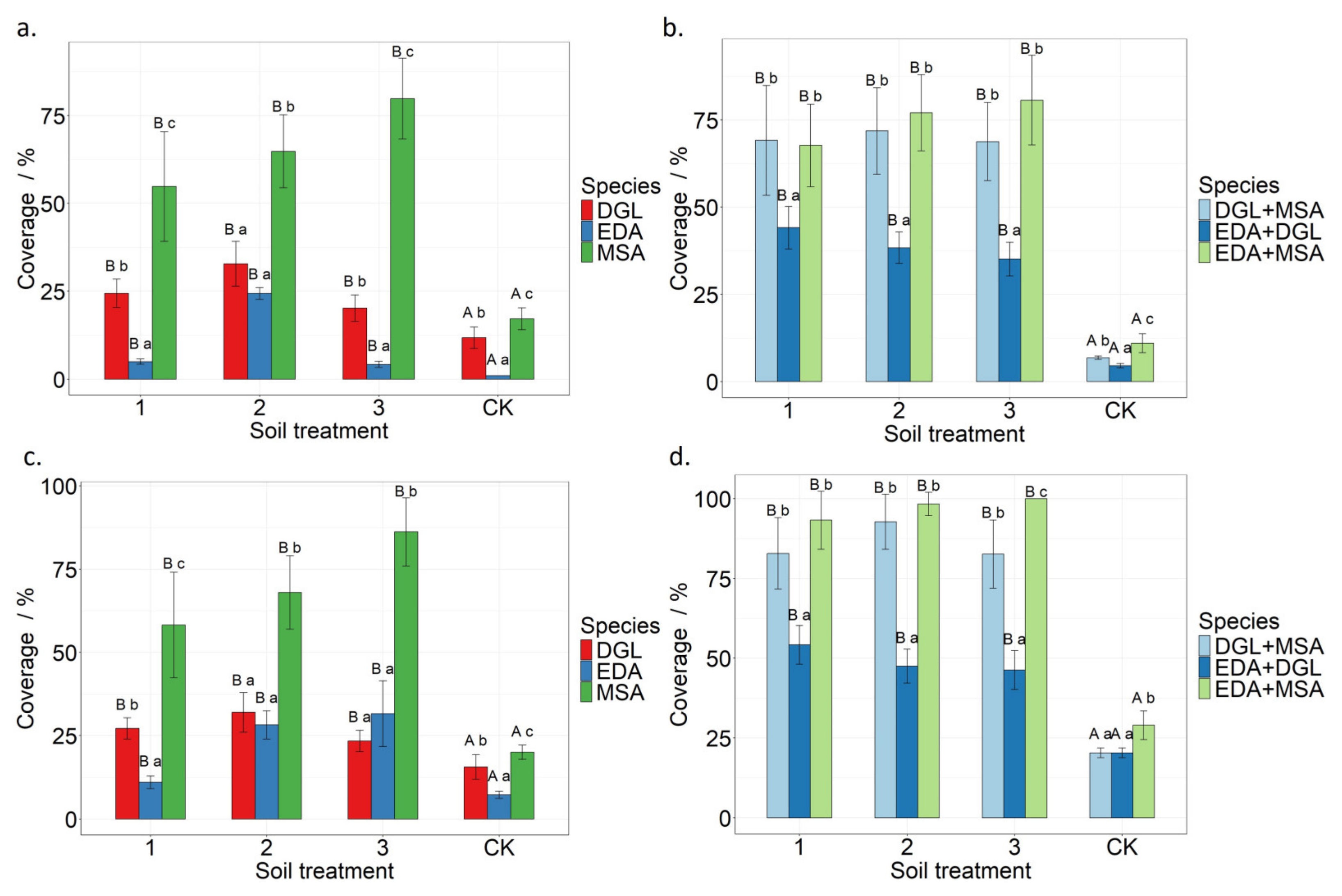
3.1. The Response of Vegetation Coverage to Soil Treatment and Species Configuration
3.2. The Response of the Maximum Height of the Plant to Soil Treatment
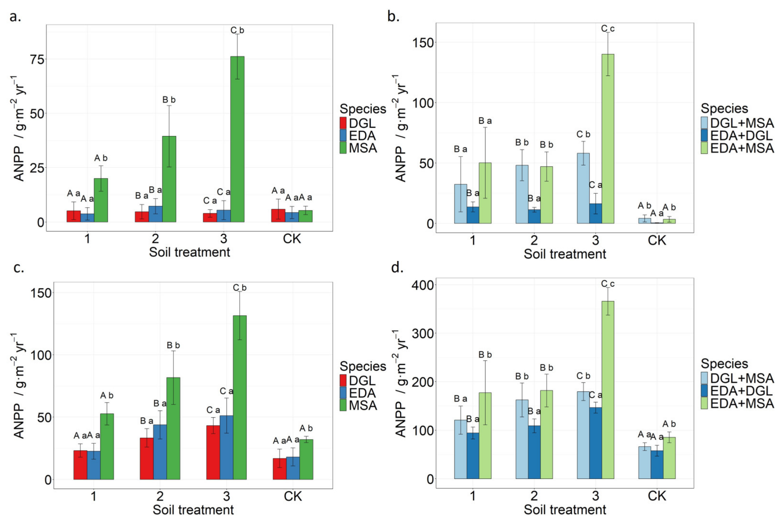
3.3. The Impact of Soil Treatment on Aboveground Biomass
3.4. The Compensatory Effect of Mixed Sowing Combinations and the Selection Effect
4. Discussion
4.1. The Core Driving Role of Legumes
4.2. The Optimization Configuration of Mixed Sowing Combinations
5. Conclusions
Author Contributions
Funding
Institutional Review Board Statement
Data Availability Statement
Acknowledgments
Conflicts of Interest
References
- Du, S.K.; Tang, G.Y.; Liu, Y.G.; Lei, C.Y.; Xu, Y.J.; Ruan, C.M.; Sun, Y.Y.; Zhang, C.H.; Wang, Y. Plant Diversity in Various Sections of Jinsha River Dry-Hot Valley under Different Site Environments. J. Zhejiang AF Univ. 2000, 39, 742–749. [Google Scholar] [CrossRef]
- Wang, D.C.; Zhang, X.; Huang, Y.; Wang, X.; Zhang, W.; Cao, Z.J.; Xin, Y.; Qu, M. Comparative Study on Temperature Response of Hydropower Development in the Dry-Hot Valley. GeoHealth 2021, 5, e2021GH000438. [Google Scholar] [CrossRef] [PubMed]
- Gastauer, M.; Silva, J.R.; Caldeira Junior, C.F.; Ramos, S.J.; Souza Filho, P.W.M.; Furtini Neto, A.E.; Siqueira, J.O. Mine Land Rehabilitation: Modern Ecological Approaches for More Sustainable Mining. J. Clean. Prod. 2018, 172, 1409–1422. [Google Scholar] [CrossRef]
- Poulos, H.M.; Camp, A.E. Topographic Influences on Vegetation Mosaics and Tree Diversity in the Chihuahuan Desert Borderlands. Ecology 2010, 91, 1140–1151. [Google Scholar] [CrossRef]
- Feng, Y.H.; Schmid, B.; Loreau, M.; Forrester, D.I.; Fei, S.L.; Zhu, J.X.; Tang, Z.Y. Multispecies Forest Plantations Outyield Monocultures across a Broad Range of Conditions. Science 2022, 376, 865–868. [Google Scholar] [CrossRef]
- Zhang, W.P.; Gao, S.N.; Li, Z.X.; Xu, H.S.; Yang, H.; Yang, X.; Fan, H.X.; Su, Y.; Fornara, D.; Li, L. Shifts from Complementarity to Selection Effects Maintain High Productivity in Maize/Legume Intercropping Systems. J. Appl. Ecol. 2021, 58, 2603–2613. [Google Scholar] [CrossRef]
- Ranaldo, M.; Carlesi, S.; Costanzo, A.; Barberi, P. Functional Diversity of Cover Crop Mixtures Enhances Biomass Yield and Weed Suppression in a Mediterranean Agroecosystem. Edited by Matt Liebman. Weed Res. 2020, 60, 96–108. [Google Scholar] [CrossRef]
- Xie, K.; He, F.; Meng, X.; Yan, A.; Wan, J. Dynamics of Productivity and Nitrogen Contribution in Mixed Legume/Grass Grasslands in Rain-fed Semi-arid Areas in Northwest China. Agronomy 2025, 15, 632. [Google Scholar] [CrossRef]
- Bristow, K.L.; Horton, R. Modeling the Impact of Partial Surface Mulch on Soil Heat and Water Flow. Theor. Appl. Climatol. 1996, 54, 85–89. [Google Scholar] [CrossRef]
- Luna, L.; Vignozzi, N.; Miralles, I.; Solé-Benet, A. Organic Amendments and Mulches Modify Soil Porosity and Infiltration in Semiarid Mine Soils. Land Degrad. Dev. 2018, 29, 1019–1030. [Google Scholar] [CrossRef]
- Wang, P.; Deng, Y.J.; Li, X.Y.; Wei, Z.W.; Hu, X.; Tian, F.; Wu, X.C. Dynamical Effects of Plastic Mulch on Evapotranspiration Partitioning in a Mulched Agriculture Ecosystem: Measurement with Numerical Modeling. Agric. For. Meteorol. 2019, 268, 98–108. [Google Scholar] [CrossRef]
- Liu, J.L.; Zhu, Y.; Li, J.Y.; Kong, X.L.; Zhang, Q.; Wang, X.S.; Peng, D.Q.; Zhang, X.Y. Short-Term Artificial Revegetation with Herbaceous Species Can Prevent Soil Degradation in a Black Soil Erosion Gully of Northeast China. Land 2024, 13, 1486. [Google Scholar] [CrossRef]
- Xu, C.; Zhang, P.; Chen, L.; Wang, W.Z.; Yang, X.K.; Liu, Z.H.; Mi, Y.H. Effects of Dissolved Organic Carbon Leaching and Soil Carbon Fractions Under Intercropping Dactylis glomerata L.—Medicago sativa L. in Response to Extreme Rainfall. Agronomy 2025, 15, 1485. [Google Scholar] [CrossRef]
- Wang, Y.J.; Xie, Z.K.; Malhi, S.; Vera, C.L.; Zhang, Y.B.; Guo, Z.H. Effects of Gravel—Sand Mulch, Plastic Mulch and Ridge and Furrow Rainfall Harvesting System Combinations on Water Use Efficiency, Soil Temperature and Watermelon Yield in a Semi-Arid Loess Plateau of Northwestern China. Agric. Water Manag. 2011, 101, 88–92. [Google Scholar] [CrossRef]
- Ward, Y.K.; Tissue, D.T.; Thomas, R.B.; Strain, B.R. Comparative Responses of Model C3 and C4 Plants to Drought in Low and Elevated CO2. Glob. Change Biol. 1999, 5, 857–867. [Google Scholar] [CrossRef]
- Chen, K.Q.; Pan, Y.F.; Li, Y.Q.; Cheng, J.Y.; Lin, H.L.; Zhuo, W.H.; He, Y.; Fang, Y.C.; Jiang, Y. Slope Position- Mediated Soil Environmental Filtering Drives Plant Community Assembly Processes in Hilly Shrublands of Guilin, China. Front. Plant Sci. 2023, 13, 1074191. [Google Scholar] [CrossRef] [PubMed]
- Xiong, D.H.; Zhou, H.Y.; Yang, Z.; Zhang, X.B. Slope Lithologic Property, Soil Moisture Condition and Revegetation in Dry-Hot Valley of Jinsha River. Chin. Geogr. Sci. 2005, 15, 186–192. [Google Scholar] [CrossRef]
- Xi, N.X.; Jonathan, R.D.; John, D.; Paul, K.; Leslie, E.F.; Martin, Z.; Marina, S. Plant–soil microbial interactions as modulators of species coexistence and productivity. Trends Ecol. Evol. 2025, 40, 673–686. [Google Scholar] [CrossRef]
- Dou, Z.Y.; Zheng, W.H.; Tian, Y.; Li, S.; Ma, Y.X.; Zheng, W. Comprehensive Comparison of Production Performance of Annual Mixed Legume-Grass Pastures. Pratacult. Sci. 2023, 40, 2639–2650. [Google Scholar] [CrossRef]
- Jia, P.; Liang, J.L.; Yang, S.X.; Zhang, S.C.; Liu, J.; Liang, Z.W.; Li, F.M. Plant Diversity Enhances the Reclamation of Degraded Lands by Stimulating Plant–Soil Feedbacks. J. Appl. Ecol. 2020, 57, 1258–1270. [Google Scholar] [CrossRef]
- Barbieri, P.; Starck, T.; Voisin, A.S.; Nesme, T. Biological Nitrogen Fixation of Legumes Crops under Organic Farming as Driven by Cropping Management: A Review. Agric. Syst. 2023, 205, 103579. [Google Scholar] [CrossRef]
- Fageria, N.K.; Baligar, V.C.; Bailey, B.A. Role of Cover Crops in Improving Soil and Row Crop Productivity. Commun. Soil. Sci. Plant Anal. 2005, 36, 2733–2757. [Google Scholar] [CrossRef]
- Girvan, M.S.; Bullimore, J.; Pretty, J.N.; Mark Osborn, A.; Ball, A.S. Soil Type Is the Primary Determinant of the Composition of the Total and Active Bacterial Communities in Arable Soils. Appl. Environ. Microbiol. 2003, 69, 1800–1809. [Google Scholar] [CrossRef] [PubMed]
- Vukicevich, E.; Lowery, T.; Bowen, P.; Úrbez-Torres, J.R.; Hart, M. Cover Crops to Increase Soil Microbial Diversity and Mitigate Decline in Perennial Agriculture. A Review. Agron. Sustain. Dev. 2016, 36, 48. [Google Scholar] [CrossRef]
- Gross, N.; Suding, K.N.; Lavorel, S.; Roumet, C. Complementarity as a Mechanism of Coexistence between Functional Groups of Grasses. J. Ecol. 2007, 95, 1296–1305. [Google Scholar] [CrossRef]
- Zhao, Z.Q.; He, L.P.; Li, G.X.; Ma, S.Y.; Cui, M.; Liu, Y.G.; Yong Chai, Y. Partitioning Beta Diversity of Dry and Hot Valley Vegetation in the Nujiang River in Southwest China. Front. Ecol. Evol. 2023, 11, 1199874. [Google Scholar] [CrossRef]
- Gil-Quintana, E.; Larrainzar, E.; Arrese-Igor, C.; González, E.M. Is N-feedback involved in the inhibition of nitrogen fixation in drought-stressed Medicago truncatula? J. Exp. Bot. 2013, 64, 281–292. [Google Scholar] [CrossRef]
- Haase, P.; Pugnaire, F.I.; Clark, S.C.; Incoll, L.D. Spatial Patterns in a Two-tiered Semi-arid Shrubland in Southeastern Spain. J. Veg. Sci. 1996, 7, 527–534. [Google Scholar] [CrossRef]
- Xiang, L.S.; Miao, L.M.; Yang, F. Drought and Nitrogen Application Modulate the Morphological and Physiological Responses of Dalbergia Odorifera to Different Niche Neighbors. Front. Plant Sci. 2021, 12, 664122. [Google Scholar] [CrossRef]
- Homulle, Z.; George, T.S.; Karley, A.J. Root Traits with Team Benefits: Understanding Belowground Interactions in Intercropping Systems. Plant Soil 2022, 471, 1–26. [Google Scholar] [CrossRef]
- Gunes, A.; Bagci, E.G.; Inal, A. Interspecific Facilitative Root Interactions and Rhizosphere Effects on Phosphorus and Iron Nutrition Between Mixed Grown Chickpea and Barley. J. Plant Nutr. 2007, 30, 1455–1469. [Google Scholar] [CrossRef]
- Taylor, B.N.; Simms, E.L.; Komatsu, K.J. More Than a Functional Group: Diversity within the Legume–Rhizobia Mutualism and Its Relationship with Ecosystem Function. Diversity 2020, 12, 50. [Google Scholar] [CrossRef]
- Zheng, L.; Barry, K.E.; Guerrero-Ramírez, N.R.; Craven, D.; Reich, P.B.; Verheyen, K.; Scherer-Lorenzen, M.; Eisenhauer, N.; Barsoum, N.; Bauhus, J.; et al. Effects of plant diversity on productivity strengthen over time due to trait-dependent shifts in species overyielding. Nat. Community 2024, 15, 2078. [Google Scholar] [CrossRef]






Disclaimer/Publisher’s Note: The statements, opinions and data contained in all publications are solely those of the individual author(s) and contributor(s) and not of MDPI and/or the editor(s). MDPI and/or the editor(s) disclaim responsibility for any injury to people or property resulting from any ideas, methods, instructions or products referred to in the content. |
© 2025 by the authors. Licensee MDPI, Basel, Switzerland. This article is an open access article distributed under the terms and conditions of the Creative Commons Attribution (CC BY) license (https://creativecommons.org/licenses/by/4.0/).
Share and Cite
Zhang, Z.; Ye, F.; Tuo, H.; Wang, Y.; Li, W.; Zeng, Y.; Li, H. Combining Grass-Legume Mixtures with Soil Amendments Boost Aboveground Productivity on Engineering Spoil Through Selection and Compensation Effects. Diversity 2025, 17, 513. https://doi.org/10.3390/d17080513
Zhang Z, Ye F, Tuo H, Wang Y, Li W, Zeng Y, Li H. Combining Grass-Legume Mixtures with Soil Amendments Boost Aboveground Productivity on Engineering Spoil Through Selection and Compensation Effects. Diversity. 2025; 17(8):513. https://doi.org/10.3390/d17080513
Chicago/Turabian StyleZhang, Zhiquan, Faming Ye, Hanghang Tuo, Yibo Wang, Wei Li, Yongtai Zeng, and Hao Li. 2025. "Combining Grass-Legume Mixtures with Soil Amendments Boost Aboveground Productivity on Engineering Spoil Through Selection and Compensation Effects" Diversity 17, no. 8: 513. https://doi.org/10.3390/d17080513
APA StyleZhang, Z., Ye, F., Tuo, H., Wang, Y., Li, W., Zeng, Y., & Li, H. (2025). Combining Grass-Legume Mixtures with Soil Amendments Boost Aboveground Productivity on Engineering Spoil Through Selection and Compensation Effects. Diversity, 17(8), 513. https://doi.org/10.3390/d17080513

