Next Article in Journal
Fossil Samaras of Acer in the Lower Miocene of Central Inner Mongolia, China, and Their Phytogeographical Implications
Next Article in Special Issue
Integrated Taxonomic Analysis of Biomphalaria (Hygrophila: Planorbidae) from the Brazilian Amazon
Previous Article in Journal
Taxonomic Diversity and Abundance of Soil Macrofauna in Temperate Forests Under Different Types of Forest Management: A Case Study in European Russia
 
 
Font Type:
Arial Georgia Verdana
Font Size:
Aa Aa Aa
Line Spacing:
Column Width:
Background:
Article

Rotifera of the Peruvian Andes: New Records and Insights

by
Maciej Karpowicz
1,*,
Jolanta Ejsmont-Karabin
1,
Elian Rojas-Baez
2,
María José Pardo
3 and
Carlos López
4,5
1
Department of Hydrobiology, Faculty of Biology, University of Bialystok, 15-245 Białystok, Poland
2
Departamento de Limnología, Museo de Historia Natural, Universidad Nacional Mayor de San Marcos, Lima 15072, Peru
3
Laboratorio de Ecología de Sistemas Acuáticos (Plancton), Centro de Ecología y Evolución, Instituto de Zoología y Ecología Tropical, Universidad Central de Venezuela, Caracas 1053, Venezuela
4
Escuela Superior Politécnica del Litoral (ESPOL), Centro de Agua y Desarrollo Sustentable, Campus Gustavo Galindo, Av. Perimetral, Guayaquil EC090112, Ecuador
5
Departamento de Biología, Facultad Experimental de Ciencias, Universidad del Zulia, Maracaibo 4011, Venezuela
*
Author to whom correspondence should be addressed.
Diversity 2025, 17(3), 217; https://doi.org/10.3390/d17030217
Submission received: 9 February 2025 / Revised: 12 March 2025 / Accepted: 16 March 2025 / Published: 18 March 2025
(This article belongs to the Special Issue Tropical Aquatic Biodiversity)

Abstract

The Rotifera fauna of the Peruvian Andes remains significantly understudied, as evidenced by our findings from a limited sampling effort of 18 locations (15 samples from the Cusco region and three samples from Lake Titicaca). We identified 12 Monogononta and three species of Bdelloidea as potential new records for Peru, underscoring the region’s remarkable but largely unexplored biodiversity. Particularly notable is the addition of seven potentially new records to Peru’s fauna in Lake Titicaca based on only three samples, despite the well-documented zooplankton research history in this lake. This emphasizes the need for more comprehensive studies targeting the Rotifera fauna of Lake Titicaca, especially in littoral zones rich in microhabitats. Besides Lake Titicaca, our investigation mainly focused on high-altitude and groundwater-dependent habitats in the high Peruvian Andes in the Cusco region, where the Rotifera fauna had not been studied. Among the species identified there, five Monogononta and three Bdelloidea likely represent new records for Peru. These findings highlight the extent of unexplored biodiversity and emphasize the urgent need for more comprehensive taxonomy studies of Rotifera in Peru. Additionally, our research has identified two records new to the Neotropics: Notommata voigti and Macrotrachela musculosa.

1. Introduction

The Tropical Andes is one of the most important biodiversity hotspots on the planet [1]. This is due to the large spatiotemporal variability of environmental conditions that support over one hundred unique types of described terrestrial and aquatic ecosystems [2,3,4,5]. Despite its global importance, the Tropical Andes is also one of the most severely threatened areas in the world [6,7,8]. However, our knowledge of the freshwater biodiversity of this region is scarce and fragmentary, in terms of both the taxa studied and the geographic areas explored [4].
Despite that, the Peruvian Andes offer diverse freshwater habitats, ranging from high-altitude lakes fed by glacial meltwater to streams and springs. These environments, particularly springs and high-mountain streams, present unique conditions shaped by altitude, geology, and hydrology. These groundwater-dependent habitats are often isolated, potentially driving speciation and supporting highly specialized or endemic species [9,10,11,12]. The knowledge about their biodiversity is limited mainly to fish [4,13] and some crustacean zooplankton species [4]. Rotifer biodiversity studies have been limited primarily to eastern Peru, close to the Amazon Basin [14,15,16,17], a key hotspot for the country’s biodiversity [18], leaving the Rotifera fauna of the high Peruvian Andes very poorly understood.
Lake Titicaca has been studied for decades due to its ecological significance and unique biodiversity [19,20,21]. Despite this, much research has focused on specific regions or habitats, and rotifers were occasionally analyzed as part of the total zooplankton community. De Beauchamp (1939) identified six taxa of Rotifera, marking an early contribution [19]. Ueno (1967) performed general research on the zooplankton (Copepoda, Cladocera, and Rotifera) of the Bolivian part of Lago Huiñaimarca, describing the taxonomic characteristics and geographical distribution of some species [22]. Richerson et al. (1977) conducted a study on Lago Grande (the main basin of Lake Titicaca), focusing on the biomass aspects of both zooplankton and phytoplankton and identifying seasonal quantitative variations of certain species [23]. Pawley (1982) examined the distribution of zooplankton in Puno Bay related to nutrient concentrations [24]. Moreno (1983) performed a quantitative study of animal plankton in the pelagic zone of Lago Grande, measuring the abundance of microcrustaceans and Rotifera [25]. Pinto’s (1991) review of zooplankton distribution in the Bolivian part of Lake Titicaca revealed only seven species of Rotifera [26]. Despite these contributions, there is still a gap in knowledge of the Rotifera fauna in Lake Titicaca. There is also a need for more comprehensive taxonomical studies using an integrative approach combining genetics and morphology [27].
Nevertheless, data on Rotifera from the high Peruvian Andean Mountains remain very limited [28,29]. Specifically, there are scarce reports on the Rotifera fauna from the Cusco region (the largest Andean region in Peru), apart from a single mention by De Beauchamp (1939) [19] and the more recent work of Schmidt (2017), which lacks detailed species-level identification [30]. De Beauchamp (1939) primarily focused on the Puno region, but he recorded three species in the Cusco region: Keratella quadrata, K. cochlearis, and Asplanchna girodi [19]. Thus, our research represents the first work in this remarkably diverse and understudied region. We focused on high-altitude and groundwater-dependent systems (springs, streams) to provide insights into these poorly understood ecosystems and contribute valuable background for future research. Groundwater ecosystems in South America remain notably underexplored, creating substantial gaps in our knowledge of these habitats and their unique biodiversity [31,32].
Furthermore, no comprehensive review article exists on Peru’s Rotifera fauna, despite such papers for many neighboring countries [32,33,34,35,36,37]. Our goal was to expand knowledge about the species richness of rotifers in Peru, especially in areas that were previously poorly studied or not studied at all in this respect.

2. Materials and Methods

Our research was conducted in the Peruvian Andes in July 2022 at elevations ranging from 2597 to 4290 m a.s.l. (Table 1). Our study includes two geographical regions: Cusco and Puno (Lake Titicaca). In the Cusco region, we further distinguished the Machu Picchu area along the Inca Trail, encompassing the surroundings of Mount Humantay (Figure 1; Table 1). Among these, we identified rarely studied habitats, such as a phreatic stream (Figure 2B) originating from the high-altitude Lake Humantay (4290 m a.s.l.) fed by glaciers from Mount Humantay (Figure 2A), and groundwater from the Tambomachay Inca water system (Figure 2C). An example view of streams near the Machu Picchu area are presented in Figure 2E,F. These habitats provided unique conditions for studying the biodiversity of rotifers in the Peruvian Andes. Our research covered 18 sites, including six in the Cusco region, nine near Machu Picchu, and three on Lake Titicaca (Figure 1, Table 1). We performed quality sampling at each station. In most cases, we placed the 50 µm plankton net in the main current of small streams, keeping it there long enough to filter as much water as possible, taking into account the amount of organic matter. This procedure was repeated 2–3 times per sample. Then, the samples were fixed with 96% ethanol. Water temperature and electrical conductivity (EC) were measured at a few stations by TDS meter.
Our investigation of Lake Titicaca includes the Uros Islands (Figure 2G), near Puno, and Amantani Island (Figure 2H). Within the Uros Islands, two samples were collected: one near the island’s shore constructed with reeds and the other 10 m away from the shoreline representing open water. Uros (“Floating Islands”) are artificial islands made out of totora reeds (Schoenoplectus californicus subsp. tatora) that grow abundantly in the shallows of Lake Titicaca. These floating islands have become one of the most singular attractions of world tourism. The Uros Islands are in the shallower Bay of Puno in the western part of the lake. Amantani Island is in the main basin of Lake Titicaca (Lago Grande), and the sample was collected close to the shore in the port with aquatic vegetation (Figure 2H). All three samples from Lake Titicaca were collected through double vertical hauls from surface to depth 2–3 m with a 50 µm plankton net and were fixed in 96% ethanol.
Monogonont rotifers were determined to species, whereas only a few Bdelloidae species could be identified in the fixed samples. All rotifers were counted in the whole samples and raw data are presented in Table S1.
Rotifer identification was performed using appropriate identification keys [38,39,40,41,42,43,44,45,46,47,48]. The validity of species was checked according to The Rotifer World Catalog [49]. We identified potential new records for Peru based on the literature review and preliminary, unpublished list of Rotifera species from Peru (Rojas-Baez et al., unpublished).
The similarities (Spearman correlation coefficient) between Rotifera communities were presented by the agglomerative hierarchical classification (AHC) based on the unweighted pair-group average. The distribution of Rotifera species in geographic regions was visualized by canonical correspondence analysis (CCA). Raw data for these analyses are presented in Table S1. Statistical analyses were performed with XLSTAT-Ecology (Addinsoft). The map of Peru with locations of sampling sites was created in the QGIS software (version 2.18.24).

3. Results

We identified 31 taxa of Monogononta and four taxa of Bdelloidea (Table 2), along with a large number of unidentified Bdelloidea (Table S1). Twelve Monogononta and three Bdelloidea species were new records for the fauna of Peru (Table 2). Nevertheless, as highlighted in our discussion, some of these records might have been recognized in Peru under different names.
In Lake Titicaca, 21 Monogononta species were identified from only three samples, whereas in the Cusco and Machu Picchu region, 19 taxa were identified from 15 samples. Lake Titicaca recorded the highest number of new records of Monogononta species for the fauna of Peru, with seven taxa (Cephalodella cf. megalocephala, Euchlanis cf. oropha, Keratella tecta, Lecane pumila, Lepadella elongata, Pompholyx sulcata, Trichocerca rattus) (Table 2). Similarly, in the Cusco and Machu Picchu region, five new Monogononta records for Peru, along with three Bdelloidea, were identified (Table 2).
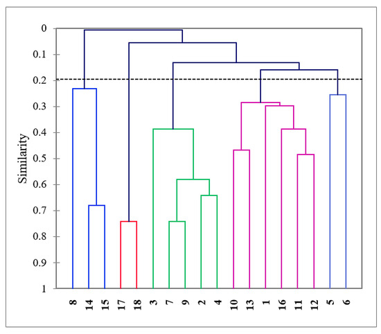
Agglomerative hierarchical clustering (AHC) of similarity of Rotifera assemblages revealed five clusters (Figure 3). The green group (3, 7, 9, 2, 4) represents groundwater-related habitats with springs and small streams, while the purple cluster represents streams and Amantani Island on Lake Titicaca. It is worth noting the low similarity between the two islands on Lake Titicaca, where the sites near the Uros Islands formed a distinct red cluster with high faunal similarity. The other two blue clusters represented distinct Rotifera assemblages in groundwater-related habitats (Figure 3).
Figure 3. Agglomerative hierarchical clustering (AHC) of similarity of Rotifera communities in sampling sites (number corresponds to Table 1). The dotted line represents the truncation, leading to five clusters.
Figure 3. Agglomerative hierarchical clustering (AHC) of similarity of Rotifera communities in sampling sites (number corresponds to Table 1). The dotted line represents the truncation, leading to five clusters.
Diversity 17 00217 g003
Table 2. List of identified species (abbreviations corresponding to Figure 4) and their locations—site numbers as shown in Table 1. Potentially new species for the fauna of Peru are marked with *.
Table 2. List of identified species (abbreviations corresponding to Figure 4) and their locations—site numbers as shown in Table 1. Potentially new species for the fauna of Peru are marked with *.
SpeciesAbbreviationSamples
Ascomorpha saltans Bartsch, 1870Asc.sal.17, 18
Cephalodella forficula (Ehrenberg, 1832)Cep.for.5, 7
Cephalodella gibba (Ehrenberg, 1832)Cep.gib.5, 6, 16
Cephalodella cf. megalocephala (Glasscott, 1893) *Cep.meg.16
Cephalodella cf. misgurnus Wulfert, 1937 *Cep.mis.1, 3
Colurella adriatica Ehrenberg, 1831Col.adr.16
Colurella uncinata (Müller, 1773)Col.unc.1, 2, 3, 6, 10, 16
Euchlanis dilatata Ehrenberg, 1832Euc.dil.16
Euchlanis cf. oropha Gosse, 1887 *Euc.oro.16
Euchlanis semicarinata Segers 1993 *Euc.sem.7
Keratella cochlearis (Gosse, 1851)Ker.coc.5, 11, 12, 16, 17, 18
Keratella tecta (Gosse, 1851) *Ker.tec.12, 16
Keratella quadrata (Müller, 1786)Ker.qua.16, 17, 18
Keratella tropica (Apstein, 1907)Ker.tro.18
Lecane bulla (Gosse, 1886)Lec.bul.1, 17, 18
Lecane closterocerca (Schmarda, 1859)Lec.clo.1, 4, 5, 11, 12, 16, 17, 18
Lecane hamata (Stokes, 1896)Lec.ham.1, 12
Lecane luna (Müller, 1776)Lec.luna10, 18
Lecane lunaris (Ehrenberg, 1832)Lec.lun.10, 11, 16, 17, 18
Lecane pumila Rousselet, 1906 *Lec.pum.16
Lecane pyriformis (Daday, 1905)Lec.pyr.12
Lepadella elongata Koste, 1992 *Lep.elo.16
Lepadella ovalis (Müller, 1786)Lep.ova.3, 4
Lepadella patella (Müller, 1773)Lep.pat.5, 6, 16, 17
Lepadella rhomboides (Gosse, 1886)Lep.rho.1
Notholca walterkostei Jose de Paggi 1982Not.wal.14, 15, 16, 18
Notommata voigti Donner, 1949 *Not.voi.7
Pompholyx sulcata Hudson, 1885 *Pom.sul.17,18
Proales theodora (Gosse, 1887) *Pro.the.7
Trichocerca rattus (Müller, 1776) *Tri.rat.16, 18
Trichotria pocillum (Müller, 1776) *Tri.poc.6
Bdelloidae n. det.Bde.1, 2, 3, 4, 5, 6, 7, 8, 9, 11, 12, 15, 16, 17, 18
Macrotrachela habita (Bryce, 1894) *Mac.hab.3
Macrotrachela multispinosa Thompson, 1892 *Mac.mul.11
Macrotrachela musculosa Milne, 1886 *Mac.mus.12
Macrotrachela papillosa Thompson, 1892Mac.pap.8
The CCA indicated different taxa groups in the studied regions (Figure 4). The first axis explained 60.97% of the variance and distinguished Lake Titicaca from the other regions (Figure 4). This distinction was mainly due to the high abundance of truly planktonic species, such as Keratella quadrata and K. cochlearis (Table S1). The second axis explained 30.03% of the variance and distinguished the Cusco and Machu Picchu groups (Figure 4). Among the taxa characteristic of Lake Titicaca were: Ascomorpha saltans, Cephalodella cf. megalocephala, Colurella adriatica, Euchlanis dilatata, Euchlanis cf. oropha, Lecane pumila, Lepadella elongata, Keratella cochlearis, Keratella tropica, Keratella quadrata, Pompholyx sulcata, Trichocerca rattus (Figure 4). Lecane luna and Lecane lunaris were found in Lake Titicaca and the Machu Picchu region (Figure 4).
The remaining Monogononta taxa were more frequently found in streams and springs in the Cusco and Machu Picchu regions (Figure 4). Bdelloidea occurred in most of the studied sites of Cusco and Machu Picchu areas (Table 2) and several of them were in relatively high numbers, even up to 328 individuals (Table S1). In these regions, we identified three new Bdelloidea taxa for the fauna of Peru: Macrotrachela habita, Macrotrachela multispinosa, and Macrotrachela musculosa (Table 2).

4. Discussion

Our research highlights significant gaps in the knowledge of the Rotifera fauna of the Peruvian Andes. Despite the low sampling effort represented by collecting only 18 samples in a short time, we identified 12 Monogononta and three taxa of Bdelloidea that are new records to Peru, highlighting the remarkable biodiversity that remains largely unexplored in this region. A particularly noteworthy aspect of our study is the presence of seven new records in Lake Titicaca, based on just three samples. This finding is remarkable given the long history of research on zooplankton in this lake [19,22,23,24,25,26] and underscores the substantial underrepresentation of the Rotifera fauna in previous studies.
Our results also revealed very low similarity in Rotifera communities between the Uros Islands in Puno Bay and Amantani Island in the lake’s main basin. This highlights the urgent need for more focused and comprehensive research specifically targeting the Rotifera assemblages in Lake Titicaca. Additionally, we believe that studies of littoral areas rich in diverse microhabitats and subhabitats are essential but have not yet been investigated in Lake Titicaca. These habitats are known as biodiversity hotspots for Rotifera [50].
In addition to Lake Titicaca, our investigation was mainly focused on high-altitude and groundwater-dependent habitats in the high Peruvian Andes to provide new insights into these specialized ecosystems. We investigated the Cusco area, the largest Andean region in Peru, where the Rotifera fauna had not been studied at all, with the sole exception of a brief mention by De Beauchamp (1939) [19]. We identified 19 species of Monogononta and four species of Bdelloidea there, with five and three species, respectively, potentially representing new records for Peru (Table 2). It is worth noting that Bdelloidea were particularly abundant in these habitats (Table S1), most of which remained unidentified. Furthermore, research on groundwater ecosystems in South America is considerably limited, creating substantial gaps in our knowledge of these environments and the biodiversity they support [31,32]. Our research underlines the need for further exploration of these environments, which are likely to harbor a wealth of previously undocumented species.
Among the recorded taxa new to Peru, seven are widely distributed globally and usually relatively common. These are Cephalodella megalocephala, Euchlanis oropha, Lecane pumila, Pompholyx sulcata, Proales theodora, Trichocerca rattus, and Trichotria pocillum [46,47]. Additional records for these species highlight their cosmopolitan nature and frequent presence in Neotropical regions:
  • Cephalodella megalocephala has been reported from Jamaica [51], Easter Island [52], Brazil [53], and Mexico [54].
  • Euchlanis oropha has records from Argentina [55], Brazil [56,57,58], and Mexico [54].
  • Lecane pumila is widely distributed and known in the Neotropics from Brazil [59] and Colombia [60].
  • Pompholyx sulcata is widely distributed with Neotropical records from Ecuador [61], Venezuela [62], Brazil [59,63,64,65,66], Argentina [67], Mexico [54], Bolivia [37], and Chile [68].
  • Proales theodora is widely distributed and recorded in the Neotropics from Mexico [69].
  • Trichocerca rattus has been recorded in Ecuador [61], Venezuela [62], Bolivia [70], Brazil [57,58,59,71,72,73,74,75,76], Costa Rica [77], and Mexico [54].
  • Trichotria pocillum is cosmopolitan with records from Ecuador [61], Mexico [54], Bolivia [37], and Chile [69].
Other new records to Peru are:
  • Cephalodella misgurnus, previously observed in Central Europe and Australia [42] and also reported from Mexico [54] and Brazil [59].
  • Euchlanis semicarinata, a Neotropical species found in Central America, Africa, and India [78,79], with additional records from French Guiana [80], Bolivia [70], and Guatemala [81].
  • Keratella tecta, a cosmopolitan species often treated as an independent taxon rather than a synonym of K. cochlearis [82], with records from Brazil [59,83,84,85], Mexico [54], and Chile [69].
  • Lepadella elongata, a probably rare species known from Brazil [56,59,86] and Ecuador [61].
  • Notommata voigti, a rare species known from Europe and Mongolia [87], was recorded here for the first time in the Neotropical region.
  • Notholca walterkostei, which has not been previously listed in Peru, but earlier records by Murray (1913) [88] and De Beauchamp (1939) [19] in the Andes, described as Notholca foliacea, likely also concerned this species [89].
Three new records for Peru are bdelloid species of the genus Macrotrachela that are cosmopolitan:
  • Macrotrachela habita, previously recorded only from Brazil in the Neotropics [72,88].
  • Macrotrachela multispinosa, cited from Ecuador [61], Brazil [56], and Bolivia [37].
  • Macrotrachela musculosa, recorded for the first time in the Neotropics.
These findings extend the known distributions of these taxa and provide valuable insights into the biodiversity of rotifers in Peru and their ecological roles within these ecosystems. Additionally, our research has identified two new records to the Neotropics: Notommata voigti and Macrotrachela musculosa, further enhancing our understanding of their biogeography and ecological significance.

Supplementary Materials

The following supporting information can be downloaded at: https://www.mdpi.com/article/10.3390/d17030217/s1, Table S1: Total abundance of Rotifera in the entire samples.

Author Contributions

M.K.: writing—original draft preparation, conceptualization, field analyses and sampling, formal analysis, statistical analysis, visualization, project administration. J.E.-K.: analyzed and identification of Rotifera species, writing—original draft preparation. E.R.-B.: writing—review and editing, data curation. M.J.P.: writing—original draft preparation, data curation. C.L.: writing—review and editing, data curation. All authors have read and agreed to the published version of the manuscript.

Funding

This article/publication has received financial support from the Polish Ministry of Science and Higher Education under a subsidy for maintaining the research potential of the Faculty of Biology, University of Bialystok.

Institutional Review Board Statement

Not applicable.

Data Availability Statement

The original contributions presented in the study are included in the article. Further inquiries can be directed to the corresponding author.

Acknowledgments

The authors are grateful to Adam Więcko for the preparation map of the study site. The authors are also grateful to the editor and reviewers for their time and energy in providing helpful comments that have improved this manuscript.

Conflicts of Interest

The authors declare no conflicts of interest.

References

  1. Myers, N.; Mittermeier, R.A.; Mittermeier, C.G.; da Fonseca, G.A.; Kent, J. Biodiversity hotspots for conservation priorities. Nature 2000, 403, 853–858. [Google Scholar] [CrossRef] [PubMed]
  2. Anderson, E.P.; Marengo, J.; Villalba, R.; Halloy, S.; Young, B.; Cordero, D.; Gast, F.; Jaimes, E.; Ruiz, D. Consequences of climate change for ecosystems and ecosystem services in the tropical Andes. In Climate Change and Biodiversity in the Tropical Andes; Herzog, S.K., Martinez, R., Jørgensen, P.M., Tiessen, H., Eds.; Inter-American Institute for Global Change Research (IAI) and Scientific Committee on Problems of the Environment (SCOPE): Montevideo, Uruguay, 2011; pp. 1–18. [Google Scholar]
  3. Josse, C.; Cuesta, F.; Navarro, G.; Barrena, V.; Becerra, M.T.; Cabrera, E.; Chacón-Moreno, E.; Ferreira, W.; Peralvo, M.; Saito, J.; et al. Physical geography and ecosystems in the Tropical Andes. In Climate Change and Biodiversity in the Tropical Andes; Herzog, S.K., Martinez, R., Jørgensen, P.M., Tiessen, H., Eds.; Inter-American Institute for Global Change Research (IAI) and Scientific Committee on Problems of the Environment (SCOPE): Montevideo, Uruguay, 2011; pp. 152–169. [Google Scholar]
  4. Maldonado, M.; Maldonado-Ocampo, J.A.; Ortega, H.; Encalada, A.C.; Carvajal-Vallejos, F.M.; Rivadeneira, J.F.; Acosta, F.; Jacobsen, D.; Crespo, A.; Rivera-Rondón, C.A. Biodiversity in aquatic systems of the tropical Andes. In Climate Change and Biodiversity in the Tropical Andes; Herzog, S.K., Martinez, R., Jørgensen, P.M., Tiessen, H., Eds.; Inter-American Institute for Global Change Research (IAI) and Scientific Committee on Problems of the Environment (SCOPE): Montevideo, Uruguay, 2011; pp. 276–294. [Google Scholar]
  5. Prado, P.E.; Modenutti, B.; Aranguren-Riaño, N.; Balseiro, E.; Samanez, I.; Campero, M.; Fernández, C.E.; Rivera-Rondón, C.A.; Carvajal-Vallejos, F.M.; López-Paría, D.; et al. Andean Lakes: A proposal for lake districts. Inland. Waters 2024, 1–19. [Google Scholar] [CrossRef]
  6. Bax, V.; Francesconi, W. Conservation gaps and priorities in the tropical Andes biodiversity hotspot: Implications for the expansion of protected areas. J. Environ. Manag. 2019, 232, 387–396. [Google Scholar] [CrossRef]
  7. Comer, P.J.; Valdez, J.; Pereira, H.M.; Acosta-Muñoz, C.; Campos, F.; Bonet García, F.; Claros, X.; Castro, L.; Dallmeier, F.; Ricadeneira, E.Y.D.; et al. Conserving ecosystem diversity in the Tropical Andes. Remote Sens. 2022, 14, 2847. [Google Scholar] [CrossRef]
  8. Campero, M.; Balseiro, E.; Fernández, C.E.; Modenutti, B.; Prado, P.E.; Rivera-Rondon, C.A.; Carvajal-Vallejos, F.M.; Herrera-Martínez, Y.; López-Paría, D.M.; Aranguren-Riaño, N.; et al. Andean lakes: Endangered by natural and anthropogenic threats. Inland. Waters 2025, 1–17. [Google Scholar] [CrossRef]
  9. Segers, H. Global diversity of rotifers (Rotifera) in freshwater. Hydrobiologia 2008, 595, 49–59. [Google Scholar] [CrossRef]
  10. Strecker, U.; Peña, C.; Wilke, T. Ecological and genetic diversification by hybridization in Andean cichlids. Mol. Ecol. 2011, 20, 209–222. [Google Scholar] [CrossRef]
  11. Karpowicz, M.; Smolska, S.; Świsłocka, M.; Moroz, J. First insight into groundwater Copepods of the Polish lowland. Water 2021, 13, 2086. [Google Scholar] [CrossRef]
  12. Rendoš, M.; Parimuchová, A.; Klímová Hrívová, D.; Karpowicz, M.; Papá, V.; Jabłońska, A.; Płóciennik, M.; Haviarová, D.; Grabowski, M. First insight into molecular diversity and DNA barcode library of epikarst-dwelling invertebrates in the Western Carpathians. Ecohydrol. Hydrobiol. 2023, 23, 588–601. [Google Scholar] [CrossRef]
  13. Ortega, H.; Hidalgo, M. Freshwater fishes and aquatic habitats in Perú: Current knowledge and conservation. Aquat. Ecosyst. Health Manag. 2008, 11, 257–271. [Google Scholar] [CrossRef]
  14. Koste, W. Über die Rotatorien einiger Stillgewässer in der Umgebung der biologischen Station Panguana im tropischen Regenwald in Peru. Amazoniana 1988, 10, 303–325. [Google Scholar]
  15. Samanez, I. Rotíferos planctónicos de la Amazonía Peruana I. Departamento de Ucayali. Rev. Peru. Biol. 1988, 3, 141–167. [Google Scholar]
  16. Samanez, I.; Riofrío, C. Composición de la fauna de Rotíferos y su relación con las macrofítas acuáticas en una laguna fluvial, Ucayali. Publ. Mus. Hist. Nat. 1995, 50, 20–30. [Google Scholar]
  17. Samanez, I.; Zambrano, F. Observaciones sobre la diversidad y algunas características ecológicas del plancton en el departamento de Madre de Dios, Perú. Publ. Mus. Hist. Nat. UNMSM 1995, 51, 1–10. [Google Scholar]
  18. Rodríguez, L.O.; Young, K.R. Biological diversity of Peru: Determining priority areas for conservation. J. Hum. Environ. 2000, 29, 329–337. [Google Scholar] [CrossRef]
  19. De Beauchamp, P.V. Rotifères et Turbellariés. Trans. Linn. Soc. Lond. 1939, 1, 51–78. [Google Scholar] [CrossRef]
  20. Dejoux, C.; Iltis, A. (Eds.) Lake Titicaca: A Synthesis of Limnological Knowledge; Kluwer Academic Publishers: Dordrecht, The Netherlands, 1992; p. 443. [Google Scholar]
  21. Velásquez, J.L.; Gómez, J.L.; Montes, C. Limnology of Andean lakes and wetlands. In Lakes of South America: Limnology of Andean Ecosystems; Springer: Berlin/Heidelberg, Germany, 2020; pp. 25–55. [Google Scholar]
  22. Uéno, M. Zooplankton of Lake Titicaca on the Bolivian side. Hydrobiologia 1967, 29, 547–568. [Google Scholar] [CrossRef]
  23. Richerson, P.; Widmer, C.; Kittel, T. The Limnology of Lake Titicaca (Peru-Bolivia), a Large, High Altitude Tropical Lake; Institute of Ecology Publication: Davis, MA, USA, 1977; p. 78. [Google Scholar]
  24. Pawley, A. Ecología del Zooplancton en la Bahía de Puno Exterior; University of California, Davis—UNTA.UBC.CIDA: Puno, Peru, 1982. [Google Scholar]
  25. Moreno, E. Estudio cuantitativo del zooplancton de la zona pelágica del Lago Titicaca (Lago Grande). Master’s Thesis, Universidad de San Agustín, Arequipa, Peru, 1983. [Google Scholar]
  26. Pinto, J. Zooplankton distribution in the Bolivian part of the lake. In Lake Titicaca: Synthesis of Current Limnological Knowledge; Dumond, H.J., Werger, M.J.A., Eds.; ORSTOM and HISBOL: La Paz, Bolivia, 1991; pp. 277–283. [Google Scholar]
  27. Sánchez-Dávila, P.P.A.; Sotil, G.; Adabache-Ortiz, A.; Cueva, D.; Silva-Briano, M. Integrative Taxonomy of Two Peruvian Strains of Brachionus plicatilis Complex with Potential in Aquaculture. Diversity 2021, 13, 671. [Google Scholar] [CrossRef]
  28. Thomasson, K. Reflections on Arctic and Alpine lakes. Oikos 1956, 7, 117–143. [Google Scholar] [CrossRef]
  29. Zambrano, F.; Burger, L. Notas comparativas sobre la diversidad zooplanctónica de diez lagunas altoandinas en Huánuco, Perú. Bol. Lima 1992, 19, 89–95. [Google Scholar]
  30. Schmidt, S.K.; Darcy, J.L.; Sommers, P.; Gunawan, E.; Knelman, J.E.; Yager, K. Freeze–thaw revival of rotifers and algae in a desiccated, high-elevation (5500 meters) microbial mat, high Andes, Perú. Extremophiles 2017, 21, 573–580. [Google Scholar] [CrossRef] [PubMed]
  31. Danielopol, D.L.; Griebler, C.; Gunatilaka, A.; Notenboom, J. Present state and future prospects for groundwater ecosystems. Environ. Conserv. 2003, 30, 104–130. [Google Scholar] [CrossRef]
  32. González, E.; Pardo, M.J.; Torres, R.; Scott-Frías, J.; López, C. Studies on freshwater zooplankton of Venezuela: Present and future perspectives. Limnologica 2022, 100, 126051. [Google Scholar] [CrossRef]
  33. López, C.; Soto, L.M.; Lafuente, W.; Stamou, G.; Michaloudi, E.; Papakostas, S.; Fontaneto, D. Rotifers from inland water bodies of continental Ecuador and Galápagos Islands: An updated checklist. Zootaxa 2020, 4768, 551–564. [Google Scholar] [CrossRef] [PubMed]
  34. López, C.; José de Paggi, S.; Bonecker, C.C.; Woelfl, S. Neotropical inland water zooplankton: Knowledge and future advance. Limnologica 2023, 100, 126083. [Google Scholar] [CrossRef]
  35. Andrade-Sossa, C.; Alvarez-Silva, J.P.; Aranguren-Riaño, N.; Cupitra-Gómez, O.S.; Villabona-González, S.L.; Torres-Bejarano, A.M.; López, C. Zooplankton studies in Colombian fresh and brackish water ecosystems: A review and future perspectives. Limnologica 2023, 100, 126081. [Google Scholar] [CrossRef]
  36. Elmoor-Loureiro, L.M.A.; Sousa, F.D.R.; Oliveira, F.R.; Joko, C.Y.; Perbiche-Neves, G.; da Silva, A.C.S.; Silva, A.J.; Ghidini, A.R.; Meira, B.R.; Aggio, C.E.G.; et al. Towards a synthesis of the biodiversity of freshwater Protozoa, Rotifera, Cladocera and Copepoda in Brazil. Limnologica 2023, 100, 126008. [Google Scholar] [CrossRef]
  37. Fernández, C.E.; Campero, M.; Acosta, F.; Prado, P.E.; Maldonado, M.; Goitia, E.; Stamou, G.; Michaloudi, E.; López, C. Diversity of Rotifera in freshwaters of Bolivia: An updated checklist. Diversity 2024, 16, 589. [Google Scholar] [CrossRef]
  38. Kutikova, L.A. Kolovratki Fauny SSSR; Nauka: Leningrad, Russia, 1970; p. 742. [Google Scholar]
  39. Kutikova, L.A. The Bdelloid Rotifers of the Fauna of Russia; KMK Sci. Press Ltd.: Moscow, Russia, 2005; p. 314. [Google Scholar]
  40. Koste, W. Rotatoria. Die Rädertiere Mitteleuropas; Gebrüder Borntraeger: Berlin/Stuttgart, Germany, 1978; p. 673. [Google Scholar]
  41. Segers, H. Rotifera: The Lecanidae. In Guides to the Identification of the Microinvertebrates of the Continental Waters of the World; Dumont, H.J., Ed.; SPB Academic Publishing: Hague, The Netherlands, 1995; Volume 2, pp. 1–226. [Google Scholar]
  42. Nogrady, T.; Pourriot, R.; Segers, H. Rotifera: The Notommatidae and the Scaridiidae. In Guides to the Identification of the Microinvertebrates of the Continental Waters of the World; Dumont, H.J., Ed.; SPB Academic Publishing: Hague, The Netherlands, 1995; Volume 3, pp. 1–248. [Google Scholar]
  43. Nogrady, T.; Segers, H. Rotifera: Asplanchnidae, Gastropodidae, Lindiidae, Microcodidae, Synchaetidae, Trochosphaeridae and Filinia. In Guides to the Identification of the Microinvertebrates of the Continental Waters of the World; Dumont, H.J., Ed.; Backhuys Publishers: Hague, The Netherlands, 2002; Volume 6, pp. 1–264. [Google Scholar]
  44. De Smet, W.H.; Pourriot, R. Rotifera: The Dicranophoridae and the Ituridae. In Guides to the Identification of the Microinvertebrates of the Continental Waters of the World; Dumont, H.J., Ed.; SPB Academic Publishing: Hague, The Netherlands, 1997; Volume 5, pp. 1–344. [Google Scholar]
  45. De Smet, W.H. Rotifera: The Proalidae (Monogononta). In Guides to the Identification of the Microinvertebrates of the Continental Waters of the World; Dumont, H.J., Ed.; SPB Academic Publishing: Hague, The Netherlands, 1996; Volume 4, pp. 1–102. [Google Scholar]
  46. Bielańska-Grajner, I.; Ejsmont-Karabin, J.; Iakovenko, N. Wrotki Rotifera Bdelloidea. Fauna slodkowodna Polski; Wydawnictwo Uniwersytetu Łódzkiego: Łódź, Poland, 2013; Volume 32, p. 154. [Google Scholar]
  47. Bielańska-Grajner, I.; Ejsmont-Karabin, J.; Radwan, S. Rotifers, Rotifera, Monogononta. Freshwater Fauna of Poland; Wydawnictwo Uniwersytetu Łódzkiego: Łódź, Poland, 2015; Volume 32, p. 557. [Google Scholar]
  48. Wallace, R.L.; Snell, T.; Ricci, W.; Nogrady, T. Rotifera: Biology, ecology and systematics. In Guides to the Identification of the Microinvertebrates of the Continental Waters of the World; Dumond, H.J., Ed.; Backhuys Publish: Hague, The Netherlands, 2006; Volume 32, pp. 1–299. [Google Scholar]
  49. Jersabek, C.D.; Leitner, M.F. The Rotifer World Catalog. World Wide Web Electronic Publication. Available online: http://www.rotifera.hausdernatur.at/ (accessed on 1 October 2024).
  50. Ejsmont-Karabin, J.; Karpowicz, M. Rotifera in lake subhabitats. Aquat. Ecol. 2021, 55, 1285–1296. [Google Scholar] [CrossRef]
  51. Koste, W.; Janetzky, W.; Vareschi, E. Zur Kenntnis der Limnischen Rotatorienfauna Jamaikas (Rotatoria: Aschelminthes). Teil I. Osnabrücker Naturwiss. Mitt. 1993, 19, 103–149. [Google Scholar]
  52. Segers, H.; Dumont, H.J. Zoogeography of Pacific Ocean islands: Comparison of the rotifer faunas of Easter Island and the Galápagos archipelago. Hydrobiologia 1993, 255, 475–480. [Google Scholar] [CrossRef]
  53. Koste, W. Study of the rotatoria-fauna of the littoral of the Rio Branco, south of Boa Vista, northern Brazil. Int. Rev. Hydrobiol. 2000, 85, 433–469. [Google Scholar] [CrossRef]
  54. Sarma, S.S.S.; Jiménez-Santos, M.A.; Nandini, S. Rotifer species diversity in Mexico: An updated checklist. Diversity 2021, 13, 291. [Google Scholar] [CrossRef]
  55. Kuczynski, D. Rotiferos de la Patagonia Argentina nuevos para Sudamerica. Stud. Neotrop. Fauna Environ. 1985, 20, 189–193. [Google Scholar] [CrossRef]
  56. Koste, W. Rotatorien aus gewässern Amazoniens. Amazoniana 1972, 3, 258–505. [Google Scholar]
  57. Koste, W. Über ein sessiles rädertier aus Amazonien Floscularia noodti sp. n. Arch. Hydrobiol. 1972, 70, 534–540. [Google Scholar] [CrossRef]
  58. Koste, W.; Robertson, B.; Hardy, E. Further taxonomical studies of the Rotifera from Lago Camaleão, a central Amazonian várzea lake (Ilha de Marchantaria, Rio Solimões, Amazonas). Amazoniana 1984, 8, 555–576. [Google Scholar]
  59. Soares, F.S.; Tundisi, J.G.; Matsumura-Tundisi, T. Checklist de Rotifera de água doce do Estado de São Paulo, Brasil. Biota Neotrop. 2011, 11, 515–539. [Google Scholar] [CrossRef]
  60. Villabona-González, S.; Aguirre, N.; Estrada, A. Influencia de las macrófitas sobre la estructura poblacional de rotíferos y microscrustáceos en un plano de inundación tropical. Rev. Biol. Trop. 2011, 59, 853–870. [Google Scholar] [CrossRef][Green Version]
  61. Koste, W.; Böttger, K. Rotatorien aus gewässern Ecuadors. Amazoniana 1989, 10, 407–438. [Google Scholar]
  62. Vasquéz, E.; Pardo, M.J.; Zoppi de Roa, E.; López, C. Rotifer fauna from Venezuela. Amazoniana 1998, 15, 11–24. [Google Scholar]
  63. Crispim, M.C.; Watanabe, T. Caracterização limnológica das bacias doadoras e receptoras de águas do rio São Francisco: 1- Zooplâncton. Acta Limnol. Bras. 2000, 12, 93–103. [Google Scholar]
  64. Martínez, J.C.C.; Canesin, A.; Bonecker, C.C. Species composition of rotifers in different habitats of an artificial lake, Mato Grosso do Sul State, Brazil. Acta Sci. Biol. Sci. 2000, 22, 343–346. [Google Scholar]
  65. Aoyagui, A.S.M.; Bonecker, C.C.; Lansac-Tôha, F.A.; Velho, L.F.M. Estrutura e dinâmica dos rotíferos no reservatório de Corumbá, Estado de Goiás, Brasil. Acta Sci. Biol. Sci. 2003, 25, 31–39. [Google Scholar]
  66. Sartori, L.P.; Nogueira, M.G.; Henry, R.; Moretto, E.M. Zooplankton fluctuations in Jurumirim Reservoir (São Paulo, Brazil): A three-year study. Braz. J. Biol. 2009, 69, 1–18. [Google Scholar] [CrossRef]
  67. Ferrando, N.S.; Claps, M.C. A revised and updated checklist of Monogononta rotifers from Argentina. Check List 2016, 12, 1–26. [Google Scholar] [CrossRef]
  68. Schmid-Araya, J.M. Distributional aspects of Rotifera in Central and South Chile. Arch. Hydrobiol. 1991, 120, 481–493. [Google Scholar] [CrossRef]
  69. Benítez-Fernández, N.C.; Valadez-Rocha, V.; Pérez-Legaspi, I.A.; Morales-Castro, E.; Fuentes-Meza, C. Variación estacional en la distribución y diversidad de rotíferos del Sistema Lagunar de Alvarado, Veracruz, México. Hidrobiológica 2021, 31, 209–219. [Google Scholar] [CrossRef]
  70. Segers, H.; Ferrufino, N.L.; De Meester, L. Diversity and zoogeography of Rotifera (Monogononta) in a flood plain lake of the Ichilo River, Bolivia, with notes on little-known species. Int. Rev. Hydrobiol. 1998, 83, 439–448. [Google Scholar] [CrossRef]
  71. Hauer, J. Zur Rotatorienfauna von Nordostbrasilien. Arch. Hydrobiol. 1953, 48, 154–172. [Google Scholar]
  72. Krau, L. Contribuição ao estudo dos rotataria do Brasil. I. Lista das espécies verificadas. Mem. Inst. Oswaldo Cruz. 1967, 65, 153–166. [Google Scholar] [CrossRef]
  73. Koste, W. Zur kenntnis der rotatorienfauna der “schwimmenden Wiese” einer uferlagune in der várzea Amazoniens, Brasilien. Amazoniana 1974, 5, 25–59. [Google Scholar]
  74. Koste, W.; Robertson, B.A. Taxonomic studies of the Rotifera (phylum Aschelminthes) from a central Amazonian várzea lake, Lago Camaleão (Ilha de Marchantaria, Rio Solimões, Amazonas, Brazil). Amazoniana 1983, 8, 225–254. [Google Scholar]
  75. Turner, P.N. Some rotifers from coastal lakes of Brazil, with description of a new rotifer, Lepadella (Xenolepadella) curvicaudata n. sp. Hydrobiologia 1990, 208, 141–152. [Google Scholar] [CrossRef]
  76. Maia-Barbosa, P.M.; Peixoto, R.S.; Guimarães, A.S. Zooplankton in littoral waters of a tropical lake: A revisited biodiversity. Braz. J. Biol. 2008, 68, 1069–1078. [Google Scholar] [CrossRef]
  77. Kuczyńska-Kippen, N.; Ejsmont-Karabin, J. Rotifera of various aquatic environments of Costa Rica in reference to Central American rotifer fauna. Turk. J. Zool. 2020, 44, 238–247. [Google Scholar] [CrossRef]
  78. Segers, H. Rotifera of some lakes in the floodplain of the River Niger (Imo State, Nigeria). Hydrobiologia 1993, 250, 39–61. [Google Scholar] [CrossRef]
  79. Sharma, B.K. Diversity of rotifers (Rotifera, Eurotatoria) of Loktak Lake, Manipur, North-eastern India. Trop. Ecol. 2009, 50, 277–285. [Google Scholar]
  80. Pourriot, R. Rotifers from Petit Saut reservoir (French Guyana), with the description of a new taxon. Hydrobiologia 1996, 331, 43–52. [Google Scholar] [CrossRef]
  81. García-Morales, A.E.; Gutiérrez, M.E. The Rotifer fauna of Guatemala and Belize: Survey and biogeographical affinities. Rev. Biol. Trop. 2007, 55, 569–584. [Google Scholar]
  82. Tausz, C.E.; Beaver, J.R.; Renicker, T.R.; Klepach, J.A.; Pollard, A.I.; Mitchell, R.M. Biogeography and co-occurrence of 16 planktonic species of Keratella Bory de St. Vincent, 1822 (Rotifera, Ploima, Brachionidae) in lakes and reservoirs of the United States. Zootaxa 2019, 4624, 337–350. [Google Scholar] [CrossRef]
  83. Oliveira-Neto, A.L.; Moreno, I.H. Filo Rotifera. In Biodiversidade do Estado de São Paulo; Joly, C.A., Bicudo, C.E.M., Eds.; Fundação de Amparo à Pesquisa do Estado de São Paulo (FAPESP): São Paulo, Brazil, 1998; pp. 39–52. [Google Scholar]
  84. Esteves, K.E.; Sendacz, S.; Lôbo, A.V.P.; Xavier, M.B. Características físicas, químicas e biológicas de três lagoas marginais do Rio Mogi-Guaçu e avaliação do seu papel como viveiro natural de espécies de peixes reofílicos. Bol. Inst. Pesca 2000, 26, 169–180. [Google Scholar]
  85. Segers, H.; De Smet, W.H. Diversity and endemism in Rotifera: A review, and Keratella Bory de St Vincent. Biodivers. Conserv. 2008, 17, 303–316. [Google Scholar] [CrossRef]
  86. Segers, H.; Dumont, H.J. 102+ rotifer species (Rotifera: Monogononta) in Broa reservoir (SP, Brazil) on 26 August 1994, with the description of three new species. Hydrobiologia 1995, 316, 183–197. [Google Scholar] [CrossRef]
  87. Jersabek, C.D.; Bolortsetseg, E. Mongolian rotifers (Rotifera, Monogononta)—A checklist with annotations on global distribution and autecology. Proc. Acad. Nat. Sci. Phila. 2010, 159, 119–168. [Google Scholar] [CrossRef]
  88. Murray, J. South American rotifera. J. R. Microsc. Soc. 1913, 33, 229–246. [Google Scholar] [CrossRef]
  89. Hollowday, E.D.; Hussey, C.G. A re-appraisal of two members of the genus Notholca from the Andes, with a note on the fine structure of the lorica of N. foliacea (Ehrenberg). Hydrobiologia 1989, 186, 319–324. [Google Scholar] [CrossRef]
Figure 1. The map of Peru with locations of sampling sites. The site numbers correspond to Table 1.
Figure 1. The map of Peru with locations of sampling sites. The site numbers correspond to Table 1.
Diversity 17 00217 g001
Figure 2. Photos of objects and sampling sites. (A)—Lake Humantay and Humantay Mountain; (B)—phreatic stream from Lake Humantay (no. 14, 15); (C)—Tambomachay water system (no. 4); (D)—Sacsayhuaman spring from the stone system (no. 3); (E,F)—streams near Machu Picchu (no. 8 and 9); (G)—Uros Islands on Lake Titicaca (no. 17, 18); (H)—port on Amantani Island on Lake Titicaca (no. 16).
Figure 2. Photos of objects and sampling sites. (A)—Lake Humantay and Humantay Mountain; (B)—phreatic stream from Lake Humantay (no. 14, 15); (C)—Tambomachay water system (no. 4); (D)—Sacsayhuaman spring from the stone system (no. 3); (E,F)—streams near Machu Picchu (no. 8 and 9); (G)—Uros Islands on Lake Titicaca (no. 17, 18); (H)—port on Amantani Island on Lake Titicaca (no. 16).
Diversity 17 00217 g002
Figure 4. Distribution of Rotifera species in geographic regions visualized by CCA (regions marked in red). The abbreviations of species are presented in Table 2.
Figure 4. Distribution of Rotifera species in geographic regions visualized by CCA (regions marked in red). The abbreviations of species are presented in Table 2.
Diversity 17 00217 g004
Table 1. Sampling stations with habitats, areas (C—Cusco; MP—Machu Picchu; T—Titicaca), GPS location, altitude, water temperature, and electrical conductivity (EC).
Table 1. Sampling stations with habitats, areas (C—Cusco; MP—Machu Picchu; T—Titicaca), GPS location, altitude, water temperature, and electrical conductivity (EC).
No.Sample NameHabitatAreaLatitudeLongitudem a.s.l.EC (µS cm−1)Temp (°C)
1Sacsayhuaman waterfallstreamC−13.509786−71.979667356587610.8
2Sacsayhuaman springspringC−13.506342−71.9789643611165915.8
3Sacsayhuaman springspringC−13.505437−71.9791183616139211.7
4Tambomachay water systemgroundwaterC−13.479083−71.967328384754712.4
5Tambomachay stream abovestreamC−13.478875−71.9667253856
6Raqch’i—stream from pondstreamC−14.173370−71.3704953526
7Machu 1—stream1streamMP−13.228330−72.4263232597
8Machu 1—stream, springstreamMP−13.238856−72.426673270279.817.2
9Machu 1—stream 2streamMP−13.259367−72.4625702818148910.9
10Machu 2—stream 2streamMP−13.250781−72.471853378369.78.7
11Machu 2—stream springspringMP−13.235631−72.497189369964.59.2
12Machu 3—streamstreamMP−13.191453−72.5369572714
13Humantay—streamstreamMP−13.396809−72.5731073890
14Humantay—phreatic streamstreamMP−13.381649−72.5846214290
15Humantay—phreatic streamstreamMP−13.381649−72.5846214290
16Titicaca—Amantani IslandlakeT−15.652981−69.7190563812
17Titicaca—Uros Island (shore)lakeT−15.808361−69.9733003812
18Titicaca—Uros Island (bay)lakeT−15.808361−69.9733003812
Disclaimer/Publisher’s Note: The statements, opinions and data contained in all publications are solely those of the individual author(s) and contributor(s) and not of MDPI and/or the editor(s). MDPI and/or the editor(s) disclaim responsibility for any injury to people or property resulting from any ideas, methods, instructions or products referred to in the content.

Share and Cite

MDPI and ACS Style

Karpowicz, M.; Ejsmont-Karabin, J.; Rojas-Baez, E.; Pardo, M.J.; López, C. Rotifera of the Peruvian Andes: New Records and Insights. Diversity 2025, 17, 217. https://doi.org/10.3390/d17030217

AMA Style

Karpowicz M, Ejsmont-Karabin J, Rojas-Baez E, Pardo MJ, López C. Rotifera of the Peruvian Andes: New Records and Insights. Diversity. 2025; 17(3):217. https://doi.org/10.3390/d17030217

Chicago/Turabian Style

Karpowicz, Maciej, Jolanta Ejsmont-Karabin, Elian Rojas-Baez, María José Pardo, and Carlos López. 2025. "Rotifera of the Peruvian Andes: New Records and Insights" Diversity 17, no. 3: 217. https://doi.org/10.3390/d17030217

APA Style

Karpowicz, M., Ejsmont-Karabin, J., Rojas-Baez, E., Pardo, M. J., & López, C. (2025). Rotifera of the Peruvian Andes: New Records and Insights. Diversity, 17(3), 217. https://doi.org/10.3390/d17030217

Note that from the first issue of 2016, this journal uses article numbers instead of page numbers. See further details here.

Article Metrics

Back to TopTop