Spatio-Temporal Variation in Cyanobacteria and Epiphytic Algae of Thalassia testudinum in Two Localities of Southern Quintana Roo, Mexico
Abstract
1. Introduction
2. Materials and Methods
2.1. Study Area
2.2. Sampling Methods
2.3. Isolation and Identification of Epiphytic Algae and Cyanobacteria
2.4. Spatio-Temporal Analysis of the Species Composition of Epiphytic Algae
3. Results
3.1. Species of Cyanobacteria and Epiphytic Algae
3.2. Specific Richess of Cyanobacteria and Epiphytic Algae for Locality
3.3. Specific Richness of Cyanobacteria and Epiphytic Algae by Climatic Seasons
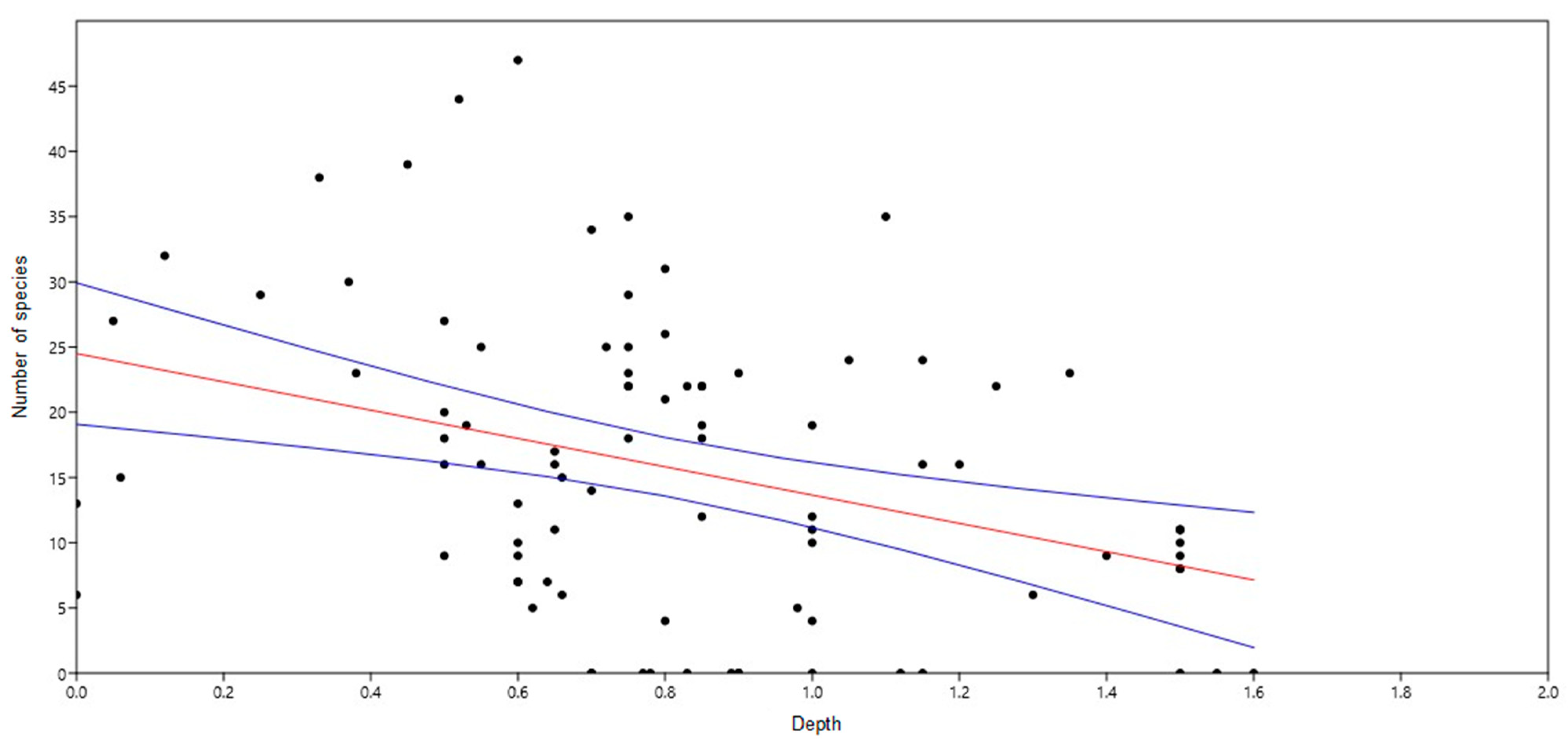
3.3.1. Epiphytes and Environmental Variables
3.3.2. Morphofunctional Groups of Epiphytes Algae
3.4. Relationship between Functional Groups and Environmental Factors
4. Discussion
4.1. Specific Richness
4.2. Specific Richness and Abundance Dominance by Climatic Seasons
4.3. Epiphytes and Environmental Variables
4.4. Morphofunctional Groups and Climatic Seasons
5. Conclusions
Author Contributions
Funding
Institutional Review Board Statement
Data Availability Statement
Acknowledgments
Conflicts of Interest
References
- Terrados, J.; Borum, J. Why are seagrasses important?—Goods and services provided by seagrass meadows. In European Seagrasses: An Introduction to Monitoring and Management; Borum, J., Duarte, C.M., Krause-Jensen, D., Greve, T., Eds.; The EU project Monitoring and Managing of European Seagrasses (M&MS): Ostend, Belgium, 2004; pp. 8–10. [Google Scholar]
- van Tussenbroek, B.I.; Barba, M.G.; Wong, J.G.R.; van Dijk, J.K.; Waycott, M. Guía de los Pastos Marinos Tropicales del Atlántico oeste; Ciudad Universitaria: México City, Mexico, 2010; p. 74. [Google Scholar]
- Barrios, J.; Díaz, O. Algas epífitas de Thalassia testudinum en el Parque Nacional Mochima, Venezuela. Bol. Cent. Investig. Biol. 2005, 39, 1–14. [Google Scholar]
- Rubio-Maldonado, E.; Murad-Robles, M.; Rovira-Sanroque, J.V. Crisis ambiental en la costa de Quintana Roo como consecuencia de una visión limitada de lo que representa el desarrollo sustentable. Argumentos 2010, 23, 161–185. [Google Scholar]
- Den Hartog, C. The Sea-Grasses of the World; North-Holland Publishing Co.: Amsterdam, The Netherlands, 1970. [Google Scholar]
- Díaz-Merlano, J.M.; Gómez-López, D.I.; Barrios-Suárez, L.M.; Montoya-Maya, P. Composición y Distribución de las praderas de pastos marinos en Colombia. In Las Praderas de Pastos Marinos en Colombia: Estructura y Distribución de un Ecosistema Estratégico; Díaz-Merlano, J.M., Barrios-Suárez, L.M., Gómez-López, D.I., Eds.; INVEMAR, Serie Publicaciones Especiales No. 10: Santa Marta, Colombia, 2003; pp. 25–65. [Google Scholar]
- Albis-Salas, M.R. Características Estructurales y Fisiológicas de las Praderas de Thalassia testudinum; Tesis de Maestría, Universidad Nacional de Colombia: Santa Marta, Colombia, 2010. [Google Scholar]
- Spalding, M.; Taylor, M.; Ravilious, C.; Short, F.; Green, E. Global overview, The distribution and status of seagrasses. In World atlas of Seagrasses. Prepared by the UNEP World Conservation Monitoring Centre; Green, E.P., Short, F.T., Eds.; University of California Press: Berkeley, CA, USA, 2003; pp. 5–26. [Google Scholar]
- Humm, H.J. Epiphytes of the seagrass Thalassia testudinum, in Florida. Bull. Mar. Sci. 1964, 14, 306–341. [Google Scholar]
- Borowitzka, M.; Lethbridge, R. Seagrasses epiphytes. In Biology of Seagrasses: A Treatise on the Biology of Seagrasses with Special Reference to the Australian Region; Larkum, A.W.D., McComb, A.J., Shepherd, S.A., Eds.; Elsevier Science Pub: Amsterdam, The Netherlands, 1989; pp. 458–499. [Google Scholar]
- Ceja-Romero, J.; Espejo, A.; López, A.R.; García, J.; Mendoza, A.; Pérez, B. Las plantas epífitas, su diversidad e importancia. Ciencias 2008, 91, 35–41. [Google Scholar]
- Granados-Sánchez, D.; López-Ríos, G.F.; Hernández-García, M.A.; Sánchez-González, A. Ecología de las plantas epífitas. Rev. Chapingo Ser. Cienc. For. Ambiente 2003, 9, 101–111. [Google Scholar]
- Hoffmann, L.; Detienne, X.; Goffart, A.; Demoulin, V. Studies of marine epiphytic algae, Calvi, Corsica. III. Variations in the populations of epiphytic Bangiophyceae. Criptogamie. Algol. 1994, 15, 53–63. [Google Scholar]
- Mateo-Cid, L.E.; Sánchez-Rodríguez, I.; Rodríguez-Montesinos, E. Algas epífitas de Sargassum sinicola Setchell & Gardner (Fucales, Phaeophyceae), en las islas Magdalena y Margarina en Baja California Sur, México. Rev. Investig. Mar. 2014, 34, 31–44. [Google Scholar]
- Leoni, V.; Pasqualini, V.; Pergent, C.; Vela, A.; Pergent, G. Morphological responses of Posidonia oceanica to experimental nutrient enrichment of the canopy water. J. Exp. Mar. Biol. Ecol. 2006, 339, 1–14. [Google Scholar] [CrossRef]
- Piazzi, L.D.; Balata, F.; Cinelli, F.; Benedetti-Cecchi, L. Patterns of spatial variability in epiphytes of Posidonia oceanica. Differences between a disturbed and two reference locations. Aquat. Bot. 2004, 79, 345–356. [Google Scholar] [CrossRef]
- Steneck, R.S.; Dethier, M.N. A functional group approach to the structure of algal-dominated communities. Oikos 1994, 69, 476–498. [Google Scholar] [CrossRef]
- Huerta-Múzquiz, L.; Mendoza-González, A.C.; Mateo-Cid, L.E. Avance sobre un estudio de algas marinas de la Península de Yucatán. Phytologia 1987, 62, 22–53. [Google Scholar]
- Mendoza-González, A.C.; Mateo-Cid, L.E. Algas marinas bentónicas de Isla Mujeres, Quintana Roo, México. Acta Bot. Mex. 1992, 19, 37–61. [Google Scholar] [CrossRef]
- Mateo-Cid, L.E.; Mendoza-González, A.C. Algas marinas bénticas de la isla Cozumel, Quintana Roo, México. Acta Bot. Mex. 1991, 16, 57–87. [Google Scholar] [CrossRef]
- Quan-Young, L.I.; Díaz-Martín, M.A.; Espinoza-Avalos, J. Algas epífitas de Bajo Pepito, Isla Mujeres, Quintana Roo, México. Rev. Biol. Trop. 2006, 54, 317–328. [Google Scholar] [CrossRef]
- Acosta-Calderón, J.A. Variación Espacio Temporal de Algas Marinas Bénticas (Chlorophyta, Rhodophyta, Phaeophyta) Durante 2008–2009, en la Bahía Ascensión y Espíritu Santo en la Reserva de la Biósfera Sian Ka’an, Quintana Roo, México. Ph.D. Thesis, Universidad del Mar, Oaxaca, Mexico, 2011. [Google Scholar]
- Hernández-Casas, C.M.; Mendoza-González, A.C.; Mateo-Cid, L.E.; Vargas-Mendoza, C.F. Temporal variation of epiphytic algae on Digenea mexicana (Rhodophyta: Ceramiales) in a community located in the south of Quintana Roo, México. Reg. Stud. Mar. Sci. 2024, 72, 103433. [Google Scholar] [CrossRef]
- Alfonso, Y.; Martínez-Daranas, B. Variaciones espacio-temporales en la cobertura del macrofitobentos en un área costera al norte de la ciudad de la Habana, Cuba. Rev. Investig. Mar. 2009, 30, 187–201. [Google Scholar]
- Ávila-Alonso, D.; Guimaraes-Bermejo, M.; Cárdenas-Ortiz, R. Variación espacio-temporal de grupos morfo-funcionales de macroalgas en pastos marinos al norte de Ciego de Ávila, Cuba. Rev. Investig. Mar. 2013, 33, 14–22. [Google Scholar]
- Martínez-Daranas, B. Características y Estado de Conservación de los Pastos Marinos en Áreas de Interés del Archipiélago Sabana-Camagüey, Cuba. Ph.D. Thesis, Universidad de La Habana, Habana, Cuba, 2007. [Google Scholar]
- Nava-Olvera, R.; Mateo-Cid, L.E.; Mendoza-González, A.C.; García-López, D.Y. Macroalgas, microalgas y cianobacterias epífitas del pasto marino Thalassia testudinum (Tracheophyta: Alismatales) en Veracruz y Quintana Roo, Atlántico mexicano. Rev. Biol. Mar. Oceanogr. 2017, 52, 429–439. [Google Scholar] [CrossRef]
- Collado-Vides, L.; González-González, J.; Ezcurra, E. Patrones de distribución ficoflorística en el sistema lagunar de Nichupté, Quintana Roo, México. Acta Bot. Mex. 1995, 31, 19–32. [Google Scholar] [CrossRef]
- García, E. Modificaciones del Sistema de Clasificación Climática de Köppen (para adaptarlas a las condiciones de la República Mexicana), México; Serie Libros No 6: Ciudad de México, Instituto de Geografía; Universidad Nacional Autónoma de México: Mexico City, Mexico, 1973; p. 20. [Google Scholar]
- Orellana, R.; Nava, F.; Espadas, C. El clima de Cozumel y la Rivera Maya. In Biodiversidad Acuática de la Isla de Cozumel; Mejía-Ortíz, L.M., Ed.; Universidad de Quintana Roo-Campus Cozumel-Plaza & Valdés, S.A. de C.V: Ciudad de México, Mexico, 2007; pp. 23–32. [Google Scholar]
- Ierodiaconou, D.A.; Laurenson, L.J.B. Estimates of Heterozostera tasmanica, Zostera muelleri and Ruppia magacarpa distribution and biomass in the Hopkins Estuary, Western Victoria, by GIS. Aust. J. Bot. 2002, 50, 215–228. [Google Scholar] [CrossRef]
- Abbott, I.A.; Hollenberg, G.J. Marine Algae of California; Stanford University Press: Stanford, CA, USA, 1976; p. 827. [Google Scholar]
- Burrows, E. Seaweeds of the British Isles, Volume 2 Chlorophyta; The Natural History Museum: London, UK, 1991; p. 238. [Google Scholar]
- Cho, T.O.; Boo, S.M.; Hommersand, M.H.; Maggs, C.A.; McIvor, L.; Fredericq, S. Gayliella gen. nov. in the tribe Ceramieae (Ceramiaceae, Rhodophyta) based on molecular and morphological evidence. J. Phycol. 2008, 44, 721–738. [Google Scholar] [CrossRef]
- Guimarães, S.M.P.B.; Fujii, M.T.; Pupo, D.; Yokoya, N.S. Reavaliação das características morfológicas e suas implicações taxonômicas no gênero Polysiphonia sensu lato (Ceramiales, Rhodophyta) do litoral dos Estados de São Paulo e Espírito Santo, Brasil. Braz. J. Bot. 2004, 27, 163–183. [Google Scholar] [CrossRef]
- Littler, D.S.; Littler, M.M. Caribbean Reef Plants. An Identification Guide to the Reef Plants of the Caribbean, Bahamas, Florida and Gulf of Mexico; Offshore Graphics: Gig Harbor, WA, USA, 2000. [Google Scholar]
- Schneider, C.W.; Searles, R.B. Seaweeds of the southeastern United States, Cape Hatteras to Cape Cañaveral; Duke University Press: Durham, NC, USA; London, UK, 1991; p. 553. [Google Scholar] [CrossRef]
- Taylor, W.R. Marine Algae of the Eastern Tropical and Subtropical Coasts of the Americas; University of Michigan Press: Ann Arbor, MI, USA, 1960; p. 844. [Google Scholar]
- Hoek, C. A Taxonomic Revision of the American Species of Cladophora (Chlorophyceae) in the North Atlantic Ocean and Their Geographic Distribution; North-Holland Publishing Company: Amsterdam, The Netherlands, 1982; p. 226. [Google Scholar]
- Won, B.Y.; Cho, T.O.; Fredericq, S. Morphological and molecular characterization of species of the genus Centroceras (Ceramiaceae, Ceramiales), including two new species. J. Phycol. 2009, 45, 227–250. [Google Scholar] [CrossRef]
- Anagnostidis, K.; Komárek, J. Modern approach to the classification system of Cyanophytes. 3. Oscillatoriales. Arch Hydrobiol. Suppl. 1988, 80, 327–472. [Google Scholar]
- Komárek, J. Süßwasserflora von Mitteleuropa. Cyanoprokaryota: Heterocystous Genera (Nostocales, Stigonematales); Springer Spektrum: Heidelberg, Germany, 2013; pp. i–xviii. [Google Scholar]
- Komárek, J.; Cepák, V. Cytomorphological characters supporting the taxonomic validity of Cyanothece (Cyanoprokaryota). Pl. Syst. Evol. 1998, 210, 25–39. [Google Scholar] [CrossRef]
- Komárek, J.; Anagnostidis, K. Modern Approach to the Classification System of Cyanophytes. 2 Chroococcales. Algol. Stud. 1986, 43, 157–226. [Google Scholar]
- Komárek, J.; Anagnostidis, K. Cyanoprokaryota -2. Teil/ 2nd Part: Oscillatoriales. In Süsswasserflora von Mitteleuropa; Büdel, B., Krienitz, L., Gärtner, G., Schagerl, M., Eds.; Elsevier/Spektrum: Heidelberg, Germany, 2005. [Google Scholar]
- Komárek, J. Cyanobacterial taxonomy: Current problems and prospects for the integration of traditional and molecular approaches. Algae 2006, 21, 349–375. [Google Scholar] [CrossRef]
- Wynne, M.J. A checklist of benthic marine algae of the tropical and subtropical western Atlantic: Fourth revision. Nova Hedwig. Beih. 2017, 145, 1–202. [Google Scholar]
- Guiry, M.D.; Guiry, G.M. AlgaeBase. Available online: http://www.algaebase.org (accessed on 28 March 2024).
- Braun-Blanquet, J. Pflanzensoziologie, Grundzüge der Vegetationskunde, 3rd ed.; Springer: Berlin, Germany, 1964; p. 631. [Google Scholar] [CrossRef]
- Boudouresque, C.F. Méthodes d‘étude qualitative et quantitative du benthos (en particulier du phytobenthos). Tethys 1971, 3, 79–104. [Google Scholar]
- Hammer, O.; Harper, D.; Ryan, P. Past: Paleontological Statistics Software Package for Education and Data Analysis. Palaeontol. Electron. 2001, 4, 1–9. [Google Scholar]
- Montañés, M.; Reyes, J.; Sansón, M. La comunidad de epifitos de Zonaria tournefortii en el norte de Tenerife (Islas Canarias): Análisis florístico y comentarios sobre su epifauna. Vieraea 2003, 31, 121–132. [Google Scholar]
- Ortuño-Aguirre, C.; Riosmena-Rodríguez, R. Dinámica del epifitismo en Padina concrescens (Dictyotales, Phaeophyta) en el suroeste de la Península de Baja California, México. Cienc. Mar. 2007, 33, 311–317. [Google Scholar] [CrossRef]
- Széchy, M.T.M.; Sá, A.D.F. Variacão sazonal do epifitismo por macroalgas em una populacão de Sargassum vulgare C. Agardh (Phaeophyceae, Fucales) da Bahia da Ilha Grande, Rio de Janeiro. Oecologia Bras. 2008, 12, 299–314. [Google Scholar]
- Borowitzka, M.; Lavery, P.; Keulen, M. Epiphytes of seagrasses. In Seagrasses: Biology, Ecology and Conservation; Larkum, A.D.W., Orth, R.J., Duarte, C.M., Eds.; Springer: Berlin, Germany, 2006; pp. 441–461. [Google Scholar]
- Ibarra-Obando, S.; Aguilar-Rosas, R. Macroalgas flotantes y epifitas asociadas con Zostera marina L. en Bahía San Quintín (B.C., México) durante verano-otoño 1982: Biomasa y composición taxonómica. Cienc. Mar. 1985, 11, 89–104. [Google Scholar] [CrossRef]
- Aguilar-Rosas, R.; Machado-Galindo, R. Ecological aspects of Sargassum muticum (Fucales, Phaeophyta) in Baja California, México: Reproductive phenology and epiphytes. Hydrobiologia 1990, 204/205, 185–190. [Google Scholar] [CrossRef]
- Álvarez-Álvarez, J.E.; Quiroz-González, N.; Rodríguez-Muñoz, D.L.; Aguilar-Estrada, L.G. Algas epífitas en Padina durvillei y P. crispata (Dictyotaceae, Phaeophyceae) en el Pacífico tropical mexicano. Acta Bot. Mex. 2020, 127, e1594. [Google Scholar] [CrossRef]
- Cid, L.E.M.; González, A.C.M.; García, C.G. Algas marinas de Isla Verde, Veracruz, México. Acta Bol. Mex. 1996, 36, 59–75. [Google Scholar]
- Carruthers, T.J.B. Leaf Production, Canopy Structure and Light Climate in a Density-Manipulated Amphibolis Griffithii Meadow. Master’s Thesis, University of Western Australia, Perth, Australia, 1994. [Google Scholar]
- Littler, M.M.; Doty, M.S. Ecological components structuring the seaward edges of tropical Pacific reefs: The distribution, communities and productivity of Porolithon. J. Ecol. 1975, 63, 117–129. [Google Scholar] [CrossRef]
- Steneck, R.S. The ecology of coralline algal crusts: Convergent patterns and adaptative strategies Annual Review of Ecology. Evol. Syst. 1986, 17, 273–303. [Google Scholar]
- Cinelli, F.; Cormaci, M.; Furnari, G.; Mazzella, L. Epiphytic macroflora of Posidonia oceanica (L.) Delile leaves around the island of Ischia (Gulf of Naples). In International Workshop on Posidonia Oceanica Beds; Boudouresque, C.F., Jeudy de Grissac, A., Oliver, J., Eds.; GIS Posidonie Publishers: Marseille, France, 1984; pp. 91–99. [Google Scholar]
- Lepoint, G.; Havelange, S.; Gobert, S.; Bouquegneau, J.M. Fauna vs flora contribution to the leaf epiphytes biomass in a Posidonia oceanica seagrass bed (Revellata Bay, Corsica). Hydrobiologia 1999, 394, 63–67. [Google Scholar] [CrossRef]
- Balata, D.; Nesti, U.; Piazzi, L.; Cinelli, F. Patterns of spatial variability of seagrass epiphytes in the north-west Mediterranean Sea. Mar. Biol. 2007, 151, 2025–2035. [Google Scholar] [CrossRef]
- Leliaert, F.; Vanreusel, W.; De Clerck, O.; Coppejans, E. Epiphytes on the seagrasses of Zanzibar Island (Tanzania), floristic and ecological aspects. Belg. J. Bot. 2001, 134, 3–20. [Google Scholar]
- Sebens, K.P. Spatial relationship among encrusting marine organisms in the New England subtitle zone. Ecol. Monogr. 1986, 56, 73–96. [Google Scholar] [CrossRef]
- Littler, M.M.; Littler, D.S. The evolution of thallus form and survival strategies in benthic marine macroalgae: Field and laboratory tests of a functional form model. Am. Nat. 1980, 116, 25–44. [Google Scholar] [CrossRef]
- Lin, H.J.; Nixon, S.W.; Taylor, D.I.; Granger, S.L.; Buckley, B.A. Responses of epiphyte on eelgrass, Zostera marina L., to separate and combined nitrogen and phosphorus enrichment. Aquat. Bot. 1996, 52, 243–258. [Google Scholar] [CrossRef]
- Mateo-Cid, L.E.; Mendoza-González, A.C. Flora ficológica, diversidad, importancia y conservación. In Biodiversidad Acuática de la Isla de Cozumel; Mejía-Ortiz, L.M., Ed.; Universidad de Quintana Roo-Plaza y Váldez: México City, Mexico, 2007; pp. 81–113. [Google Scholar]
- Agostini, S.; Desjober, J.M.; Pergent, G. Distribution of phenolic compounds in the seagrass Posidonia oceanica. Phytochemistry 1998, 48, 611–617. [Google Scholar] [CrossRef]
- Hernández, Y.; González, K.; Valdés-Iglesias, O.; Zarabozo, A.; Portal, Y.; Laguna, A.; Martínez-Daranas, B.; Rodríguez, M.; Gutiérrez, R. Seasonal behavior of Thalassia testudinum (Hydrocharitaceae) metabolites. Rev. Biol. Trop. 2016, 64, 1527–1535. [Google Scholar] [CrossRef]
- Short, F.T.; Burdick, D.M. Quantifying eelgrass habitat loss in relation to housing development and nitrogen loading in Waquoit Bay, Massachusetts. Estuaries 1996, 19, 730–739. [Google Scholar] [CrossRef]
- Subhashini, P.; Dilipan, E.; Thangaradjou, T.; Papenbrock, J. Bioactive natural products from marine angiosperms: Abundance and functions. Nat. Prod. Bioprospect. 2013, 3, 129–136. [Google Scholar] [CrossRef] [PubMed Central]
- Sureda, A.; Antonio, B.; Jorge, T.; Deudero, S.; Antoni, P. Antioxidant response of the seagrass Posidonia oceanica when epiphytized by the invasive macroalgae Lophocladia lallemandii. Mar. Environ. Res. 2008, 66, 359–363. [Google Scholar] [CrossRef]
- Bulthuis, D.A.; Woelkerling, W.J. Biomass accumulation and shading effects of epiphytes on leaves of the seagrass Heterozostera tasmanica, in Victoria, Australia. Aquat. Bot. 1983, 16, 137–148. [Google Scholar] [CrossRef]
- Lavery, P.S.; Vanderklift, M.A.A. comparison of spatial and temporal patterns in epiphytic macroalgal assemblages of the seagrasses Amphibolis griffithii and Posidonia Coriacea. Mar. Ecol. Prog. Ser. 2002, 236, 99–112. [Google Scholar] [CrossRef]
- Casola, E.; Scardi, M.; Mazzella, L.; Fresi, E. Structure of the epiphytic community of Posidonia oceanica leaves in a shallow meadow. PSZNI Mar. Ecol. 1987, 8, 285–296. [Google Scholar] [CrossRef]










| EL UVERO | SANTA ROSA | |||||||
|---|---|---|---|---|---|---|---|---|
| TAXA | FMG | SRS | WRS | DS | SRS | WRS | DS | RS |
| CYANOBACTERIA | ||||||||
| Microcystaceae | ||||||||
| 1. Aphanothece sp. | I | 1 | 1 | 1 | 1 | 1 | 1 | Ve |
| Entophysalidaceae | ||||||||
| 2. Entophysalis sp. | I | 1 | 1 | 1 | 1 | 1 | 1 | Ve |
| Chroococcaceae | ||||||||
| 3. Chroococcus turgidus (Kützing) Nägeli | I | 1 | - | 1 | 1 | - | - | Ve |
| Gomphosphaeriaceae | ||||||||
| 4. Gomphosphaeria salina Komárek and Hindák | I | 1 | - | - | - | - | - | Ve |
| Hyellaceae | ||||||||
| 5. Cyanoderma lineare (Setchell and N.L. Gardner) Komárek and Anagnostidis | I | 1 | - | - | 1 | - | - | Ve |
| Coleofasciculaceae | ||||||||
| 6. Coleofasciculus chthonoplastes (Gomont) M. Siegesmund, J.R. Johansen and T. Friedl | I | 1 | 1 | 1 | 1 | - | 1 | Hm |
| 7. Stanieria sublitoralis (A.Lindstedt) Anagnostidis and Pantazidou | I | 1 | Ve | |||||
| Leptolyngbyaceae | ||||||||
| 8. Leptolyngbya ectocarpi (Gomont) Anagnostidis and Komárek | I | - | 1 | - | - | 1 | 1 | Ve |
| 9. L. jadertina (Kützing ex Hansgirg) Anagnostidis | I | 1 | - | - | - | - | - | Ve |
| 10. Trichocoleus polythrix (Forti) Anagnostidis | I | 1 | 1 | 4 | 1 | 1 | 4 | Ve |
| Cyanothecaceae | ||||||||
| 11. Cyanothece halobia Roussomoustakaki and Anagnostidis | I | 1 | 1 | 1 | 3 | - | 1 | Ve |
| Oscillatoriaceae | ||||||||
| 12. Lyngbya aestuarii Liebman ex Gomont | I | 1 | 1 | 1 | - | - | 1 | Ve |
| 13. L. confervoides C. Agardh ex Gomont | I | 1 | 3 | 1 | - | 1 | 1 | Ve |
| 14. L. majuscula Harvey ex Gomont | I | - | - | 1 | - | - | - | Ve |
| 15. Oscillatoria funiformis (Vouk) Komárek | I | 1 | - | 1 | 1 | 1 | 1 | Ve |
| Spirulinaceae | ||||||||
| 16. Spirulina major Kützing ex Gomont | I | - | - | - | 1 | - | - | Ve |
| 17. S. meneghiniana Zanardini ex Gomont | I | - | 1 | - | - | - | 1 | Ve |
| 18. S. robusta H. Welsh | I | - | - | 1 | - | - | 1 | Ve |
| 19. S. subsalsa Oersted ex Gomont | I | - | - | 1 | 1 | - | 1 | Ve |
| Rivulariaceae | ||||||||
| 20. Calothrix confervicola C. Agardh ex Bornet and Flahault | I | 1 | 1 | 1 | 3 | 1 | 1 | Ht |
| 21. C. contarenii Bornet and Flahault | I | - | - | 1 | 2 | 1 | 1 | Ht |
| 22. C. fuscoviolacea P. Crouan and H. Crouan ex Bornet and Flahault | I | 1 | - | - | 1 | 1 | - | Ht |
| 23. C. pulvinata C. Agardh ex Bornet and Flahault | I | - | - | - | 1 | - | - | Ht |
| 24. Scytonematopsis crustacea (Thuret ex Bornet and Flahault) Kováčik and Komárek | I | - | - | - | 1 | - | - | Ht |
| 25. Dichothrix sp. | I | - | - | - | - | 1 | Ht | |
| 26. Dichothrix ramenskii Elenkin | I | - | - | 1 | 1 | - | 1 | Ht |
| 27. Rivularia bornetiana Setchell | I | - | - | 1 | - | - | 1 | Ht |
| RHODOPHYTA | ||||||||
| Colaconemataceae | ||||||||
| 28. Colaconema dasyae (Collins) Stegenga, I. Mol, Prud’homme and Lokhorst | II | 1 | 1 | 1 | - | - | 1 | Mn |
| 29. C. hallandicum (Kylin) Afonso-Carillo, Sanson, Sangil and Díaz-Villa | II | 1 | - | - | - | - | 1 | Mn |
| 30. C. robustum (Børgesen) Huisman and Woelkerling | II | 1 | - | 1 | - | - | 1 | Mn |
| 31. C. savianum (Meneghini) R. Nielsen | II | 1 | - | 1 | - | - | 1 | Mn |
| Corallinaceae | ||||||||
| 32. Jania capillacea Harvey | V | 1 | - | - | - | - | 2 | Ve |
| 33. Pneophyllum confervicola (Kützing) Y.M. Chamberlain | VI | 5 | 3 | 3 | 5 | 5 | 4 | Tr |
| Hydrolithaceae | ||||||||
| 34. Hydrolithon farinosum (J.V. Lamouroux) Penrose and Y.M. Chamberlain | VI | 5 | 3 | 3 | 5 | 5 | 4 | Tr |
| Callithamniaceae | ||||||||
| 35. Crouania attenuata (C. Agardh) J. Agardh | II | - | - | - | - | - | 1 | Ve |
| 36. Crouanophycus latiaxis (I.A. Abbott) A. Athanasiadis | II | 1/1 | - | - | - | - | 1 | Ve |
| Ceramiaceae | ||||||||
| 37. Centroceras gasparrini (Meneghini) Kützing | II | - | 2 | - | - | 2 | ♂ | |
| 38. Ceramium brevizonatum H.E. Petersen | II | 1 | - | - | 1 | - | - | Tr |
| 39. C. cimbricum f. flaccidum (H.E. Petersen) G. Furnari and D. Serio | II | - | - | - | - | 1 | - | Tr |
| 40. C. cruciatum Collins and Hervey | II | - | - | - | - | - | 1 | Tr |
| 41. C. luetzelburgii O.C. Schmidt | II | 1 | - | 3 | 1 | 1 | 1 | Tr |
| 42. Gayliella flaccida (Harvey ex Kützing) T.O. Cho and L.M. McIvor | II | - | - | 1 | - | - | - | Tr |
| 43. G. transversalis (Collins and Hervey) T.O. Cho and Fredericq | II | 1 | 1 | 1 | 1 | 1 | 1 | Tr |
| Wrangeliaceae | ||||||||
| 44. Anotrichium barbatum Nägeli | II | 2 | - | - | 1 | - | - | |
| 45. A. secundum (Harvey ex J. Agardh) G. Furnari | II | - | - | - | - | - | 1 | Tr |
| 46. A. tenue (C. Agardh) Nägeli | II | 1 | - | - | 2 | - | - | Tr |
| 47. Griffithsia radicans Kützing | II | - | - | - | 1 | - | - | Tr |
| Rhodomelaceae | ||||||||
| 48. Chondria curvilineata Collins and Hervey | IV | - | - | 2 | - | - | - | Tr |
| 49. Ch. polyrhiza Collins and Hervey | IV | 2 | - | 2 | 1 | - | 1 | ♂ |
| 50. Ch. pygmaea Garbary and Vandermeulen | IV | 2 | 1 | 1 | 2 | 2 | 2 | Tr ♂ |
| 51. Herposiphonia secunda (C. Agardh) Ambronn | II | 1 | 2 | 1 | 1 | 1 | 1 | Tr ♀♂ |
| 52. Laurencia caduciramulosa Masuda and S. Kawaguchi | IV | - | - | - | - | - | 2 | ♂ |
| 53. L. laurahuertana Mateo-Cid, Mendoza-González, Senties and Diaz-Larrea | IV | - | - | 2 | - | - | - | Tr |
| 54. Laurencia minuta Vandermeulen, Garbary and Guiry | IV | 1 | 1 | - | - | - | - | Tr ♀♂ |
| 54. L. obtusa (Hudson) J. V. Lamouroux | IV | - | - | - | - | 2 | - | Tr |
| 56. Lophosiphonia cristata Falkenberg | II | 1 | - | - | 1 | - | - | ♀♂ |
| 57. L. obscura (C. Agardh) Falkenberg | II | 1 | - | 1 | 1 | - | 1 | ♀♂ |
| 58. Melanothamnus gorgoniae (Harvey) Díaz-Tapia and Maggs | II | 1 | - | 1 | 1 | - | 1 | Tr |
| 59. Polysiphonia atlantica Kapraun and J.N. Norris | II | 1 | - | - | - | - | - | Tr♂ |
| 60. P. binneyi Harvey | II | - | - | 4 | - | - | - | Tr♀ |
| 61. P. scopulorum Harvey | II | 2 | - | 5 | 1 | - | 1 | Tr♀♂ |
| Champiaceae | ||||||||
| 62. Champia parvula (C. Agardh) Harvey | IV | - | - | 2 | 2 | 2 | 1 | Tr♀ |
| Erythrotrichiaceae | ||||||||
| 63. Erythrotrichia carnea (Dillwyn) J. Agardh | II | 1 | 1 | 1 | 1 | - | 1 | Ve |
| Stylonemataceae | ||||||||
| 64. Chroodactylon ornatum (C. Agardh) Basson | II | 1 | 1 | 1 | 1 | - | 1 | Ve |
| 65. Stylonema alsidii (Zanardini) K.M. Drew | II | 1 | - | 1 | 1 | - | 1 | Ve |
| HETEROKONTOPHYTA | ||||||||
| Acinetosporaceae | ||||||||
| 66. Feldmannia mitchelliae (Harvey) H.S. Kim | II | - | - | 1 | - | 1 | 4 | Pl |
| Ectocarpaceae | ||||||||
| 67. Ectocarpus siliculosus (Dillwyn) Lyngbye | II | - | - | - | - | - | 1 | Pl |
| Chordariaceae | ||||||||
| 68. Cladosiphon zosterae (J. Agardh) Kylin | II | - | - | 2 | - | - | 2 | Un |
| 69. Hecatonema floridanum (W.R. Taylor) W. R. Taylor | II | - | - | 1 | - | - | 1 | Pl |
| 70. Myrionema strangulans Greville | II | - | 3 | - | - | - | - | Pl |
| Bachelotiaceae | ||||||||
| 71. Bachelotia antillarum (Grunow) Gerloff | II | - | - | 3 | - | 1 | 3 | Ve |
| Dictyotaceae | ||||||||
| 72. Canistrocarpus cervicornis (Kützing) De Paula and De Clerck | III | - | - | - | - | 1 | - | Ve |
| 73. Dictyota pinnatifida. Kützing | III | - | - | - | - | 1 | - | Ve |
| Sphacelariaceae | ||||||||
| 74. Sphacelaria rigidula Kützing | II | - | - | - | - | - | 1 | Pp |
| 75. S. tribuloides Meneghini | II | - | - | - | - | 1 | - | Pp |
| CHLOROPHYTA | ||||||||
| Phaeophilaceae | ||||||||
| 76. Phaeophila dendroides (P. Crouan and H. Crouan) Batters | II | 1 | 1 | 2 | 1 | 2 | 1 | Ve |
| Ulvellaceae | ||||||||
| 77. Ulvella lens P. Crouan and H. Crouan | II | 1 | 1 | 1 | - | 1 | 1 | Ve |
| 78. U. viridis (Reinke) R. Nielsen, C.J. O’Kelly and B. Wysor | II | - | 1 | 1 | - | - | - | Ve |
| Cladophoraceae | ||||||||
| 79. Cladophora albida (Nees) Kützing | II | - | - | 3 | - | - | - | Ve |
| 80. C. liniformis Kützing | II | 1 | 1 | 1 | 1 | 1 | 1 | Ve |
| 81. Willeella brachyclados (Montagne) M.J. Wynne | II | 1 | - | - | - | - | 1 | Ve |
| Udoteaceae | ||||||||
| 82. Boodleopsis pusilla (Collins) W.R. Taylor, A.B. Joly and Bernatowicz | II | - | - | - | 1 | 1 | - | Ga |
| 83. B. vaucherioidea Calderón-Sáenz and Schnetter | II | - | - | - | 1 | 1 | - | Ve |
| 84. B. verticillata E.Y. Dawson | II | - | - | - | 1 | - | - | Ve |
| Taxa | El Uvero | Santa Rosa | Diversity β Jaccard Index |
|---|---|---|---|
| Cyanobacteria | 22 | 24 | 0.74 |
| Algae | |||
| Rhodophyta | 31 | 33 | 0.68 |
| Chlorophyta | 6 | 7 | 0.44 |
| Phaeophyceae | 5 | 9 | 0.4 |
| Total species | 64 | 73 | 0.63 |
| Sources of Variation | Sum of Squares | Df | Mean Square | F | p |
|---|---|---|---|---|---|
| Locality | 0.28672 | 1 | 0.28672 | 2.7213 | 0.0203 |
| Season | 1.4038 | 2 | 0.70192 | 6.662 | 0.0001 |
| Interaction | 1.3279 | 2 | 0.66395 | 6.3016 | 0.0001 |
| Residual | 8.8503 | 84 | 0.10536 | ||
| Total | 11.869 | 89 |
| El Uvero | Santa Rosa | |||||
|---|---|---|---|---|---|---|
| Variable | Summer Rains | Winter Rains | Dry | Summer Rains | Winter Rains | Dry |
| Salinity (g/kg) | 36 ± 0.08 | 39.1 ± 0.084 | 37.43 ± 0.23 | 34.5 ± 0.42 | 40 ± 0 | 35.6 ± 0.59 |
| Dissolved oxygen (mg/L) | 6.1 ± 0.84 | 7.1 ± 0.084 | 7.98 ± 0.13 | 6.37 ± 0.12 | 4.7 ± 0.25 | 7.4 ± 0.15 |
| Air temperature(°C) | 28.87 ± 1.05 | 28.2 ± 0.56 | 29.6 ± 0.83 | 29 ± 0.67 | 24.73 ± 0.46 | 28 ± 0.93 |
| Water temperature(°C) | 30.17 ± 0.59 | 28.99 ± 0.27 | 28.3 ± 0.53 | 30.27 ± 0.7 | 28.67 ± 0.49 | 28.27 ± 1.03 |
| Depth (cm) | 0.71 ± 0.13 | 0.59 ± 0.27 | 0.7 ± 0.28 | 1.15 ± 0.29 | 1.21 ± 0.32 | 0.6 ± 0.38 |
| Ammonia (mg/L) | 0.5 | 0.5 | 1 | 0.5 | 0.5 | 1 |
| Coverage of Thalassia | 0.3 ± 0.16 | 35.33 ± 12.74 | 35.33 ± 41.39 | 14.87 ± 12.47 | 27.6 ± 22.8 | 62.73 ± 39.16 |
| Number of Thalassia pods | 16.87 ± 6.72 | 14.2 ± 5.44 | 10.73 ± 14.9 | 17.13 ± 11.1 | 16.6 ± 19.4 | 22.67 ± 12.5 |
| Morphofunctional Groups | Summer Rains | Winter Rains | Dry |
|---|---|---|---|
| I. Microalgae | 20 | 13 | 20 |
| II. Filamentous algae | 26 | 17 | 32 |
| III. Foliose algae | 0 | 2 | 0 |
| IV. Corticated macrophytes | 4 | 3 | 6 |
| V. Articulated calcareous algae | 1 | 0 | 1 |
| VI. Crustose algae | 2 | 2 | 2 |
| 53 | 37 | 61 |
| Sum of Squares | df | Mean Square | F | p | |
|---|---|---|---|---|---|
| Locality | 0.0900 | 1 | 0.09005 | 1.3982 | 0.1938 |
| Season | 2.2489 | 2 | 1.1244 | 17.459 | 0.0001 |
| Interaction | −0.1927 | 2 | −0.09636 | −1.4963 | 0.1281 |
| Residual | 4.5084 | 70 | 0.06440 | ||
| Total | 6.6546 | 75 |
Disclaimer/Publisher’s Note: The statements, opinions and data contained in all publications are solely those of the individual author(s) and contributor(s) and not of MDPI and/or the editor(s). MDPI and/or the editor(s) disclaim responsibility for any injury to people or property resulting from any ideas, methods, instructions or products referred to in the content. |
© 2024 by the authors. Licensee MDPI, Basel, Switzerland. This article is an open access article distributed under the terms and conditions of the Creative Commons Attribution (CC BY) license (https://creativecommons.org/licenses/by/4.0/).
Share and Cite
Nava-Olvera, R.; Mateo-Cid, L.E.; González-Contreras, I.; Mendoza-González, Á.C. Spatio-Temporal Variation in Cyanobacteria and Epiphytic Algae of Thalassia testudinum in Two Localities of Southern Quintana Roo, Mexico. Diversity 2024, 16, 321. https://doi.org/10.3390/d16060321
Nava-Olvera R, Mateo-Cid LE, González-Contreras I, Mendoza-González ÁC. Spatio-Temporal Variation in Cyanobacteria and Epiphytic Algae of Thalassia testudinum in Two Localities of Southern Quintana Roo, Mexico. Diversity. 2024; 16(6):321. https://doi.org/10.3390/d16060321
Chicago/Turabian StyleNava-Olvera, Rocio, Luz Elena Mateo-Cid, Itzel González-Contreras, and Ángela Catalina Mendoza-González. 2024. "Spatio-Temporal Variation in Cyanobacteria and Epiphytic Algae of Thalassia testudinum in Two Localities of Southern Quintana Roo, Mexico" Diversity 16, no. 6: 321. https://doi.org/10.3390/d16060321
APA StyleNava-Olvera, R., Mateo-Cid, L. E., González-Contreras, I., & Mendoza-González, Á. C. (2024). Spatio-Temporal Variation in Cyanobacteria and Epiphytic Algae of Thalassia testudinum in Two Localities of Southern Quintana Roo, Mexico. Diversity, 16(6), 321. https://doi.org/10.3390/d16060321
