Amphibians and Reptiles of the Pacific Lowlands Biogeographic Province of Mexico: Diversity, Similarities, and Conservation
Abstract
1. Introduction
2. Methods
2.1. Physiography
2.2. Methodology
3. Results and Discussion
3.1. Species Richness
3.2. Distribution
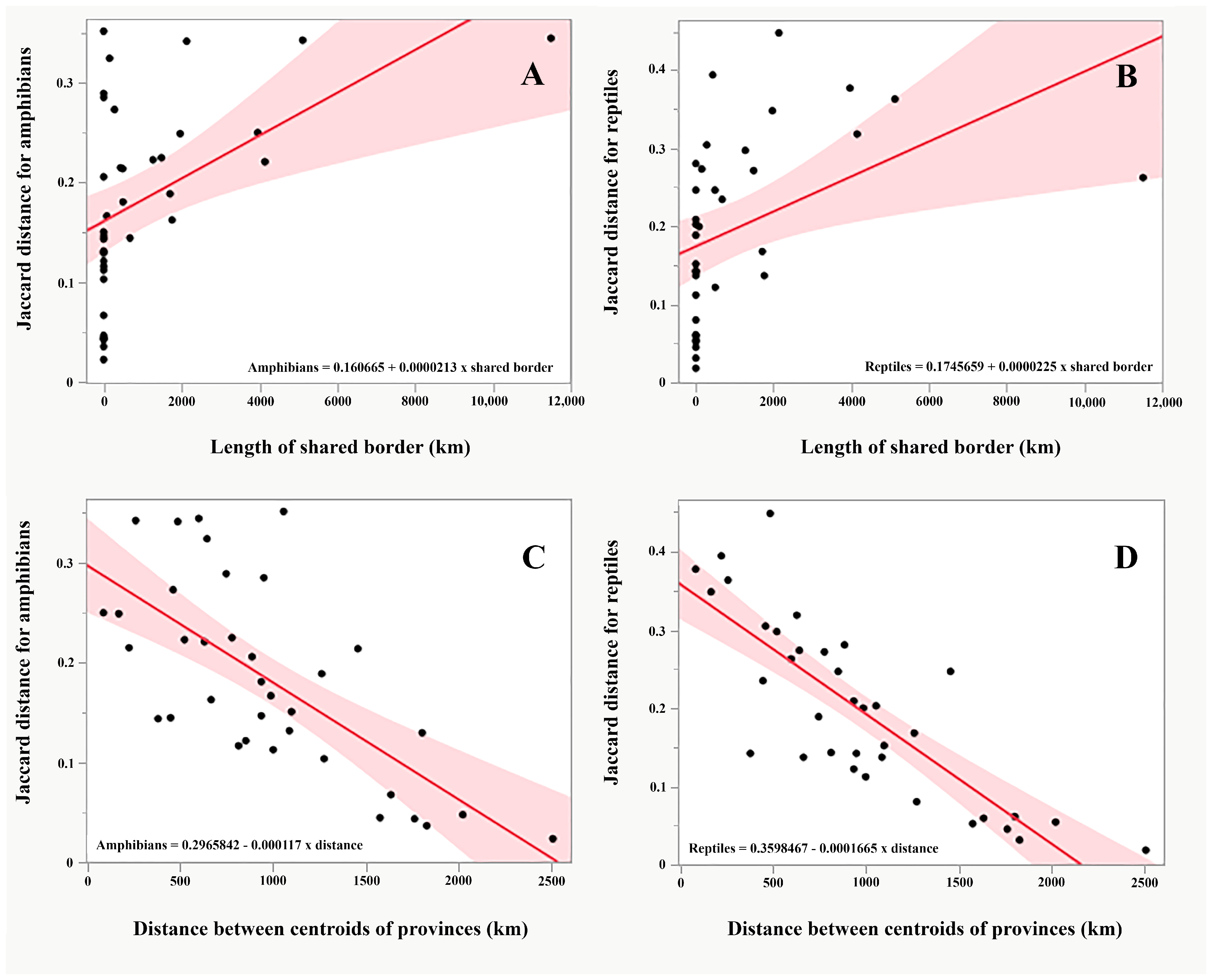
3.3. Comparison with Neighboring Provinces
3.4. Conservation Status
4. Conclusions
Supplementary Materials
Author Contributions
Funding
Institutional Review Board Statement
Data Availability Statement
Acknowledgments
Conflicts of Interest
References
- Ramamoorthy, T.P.; Bye, R.; Lot, A.; Fa, J. (Eds.) Biological Diversity of Mexico: Origins and Distribution; Oxford University Press: New York, NY, USA, 1993; p. 812. [Google Scholar]
- Hufnagel, L.; Mics, F. Introductory chapter: Biodiversity of Mexico. In Natural History and Ecology of Mexico and Central America; Hufnagel, L., Ed.; Intech Open: London, UK, 2021; pp. 3–14. [Google Scholar]
- Comisión Nacional para el Conocimiento y Uso de la Biodiversidad (CONABIO). México Megadiverso. Available online: https://www.biodiversidad.gob.mx/pais/quees (accessed on 1 June 2024).
- Linares-Palomino, R.; Oliveira-Filho, A.T.; Pennington, R.T. Neotropical seasonally dry forests: Diversity, endemism, and biogeography of woody plants. In Seasonally Dry Tropical Forests: Ecology and Conservation; Dirzo, R., Young, H.S., Mooney, H.A., Ceballos, G., Eds.; Island Press: Washington, DC, USA, 2011; pp. 3–21. [Google Scholar]
- Morrone, J.J. Regionalización biogeográfica y evolución biótica de México: Encrucijada de la biodiversidad del Nuevo Mundo. Rev. Mex. Biodivers. 2019, 90, e902980. [Google Scholar] [CrossRef]
- Ceballos, G.; García, A. Conserving neotropical biodiversity: The role of dry forests in western Mexico. Conserv. Biol. 1995, 9, 1349–1353. [Google Scholar] [CrossRef]
- García, A.; Solano-Rodríguez, H.; Flores-Villela, O. Patterns of alpha, beta and gamma diversity of the herpetofauna in Mexico’s Pacific lowlands and adjacent interior valleys. Anim. Biodivers. Conserv. 2007, 30, 169–177. [Google Scholar] [CrossRef]
- Lemos-Espinal, J.A.; Smith, G.R. The distribution, diversity and conservation of the Mexican herpetofauna among its biogeographic provinces. J. Nat. Conserv. 2024, 82, 126714. [Google Scholar] [CrossRef]
- García, A. Using ecological niche modelling to identify diversity hotspots for the herpetofauna of Pacific lowlands and adjacent interior valleys of Mexico. Biol. Conserv. 2006, 130, 25–46. [Google Scholar] [CrossRef]
- Morrone, J.J.; Escalante, T.; Rodríguez-Tapia, G. Mexican biogeographic provinces: Map and shapefiles. Zootaxa 2017, 4277, 277–279. [Google Scholar] [CrossRef]
- Aster, G. Advanced Spaceborne Thermal Emission and Reflection Radiometer Global Digital Elevation Model Version 2 (ASTER GDEM2)—Modelo Digital de Elevación Global ASTER Versión 2. 1:50,000. 2010. Available online: https://asterweb.jpl.nasa.gov/gdem.asp (accessed on 27 November 2024).
- Trejo, I.; Dirzo, R. Deforestation of seasonally dry forest: A national and local analysis in Mexico. Biol. Conserv. 2000, 94, 133–142. [Google Scholar] [CrossRef]
- Trejo, I.; Dirzo, R. Floristic diversity of Mexican seasonality dry tropical forests. Biodivers. Conserv. 2002, 11, 2048–2063. [Google Scholar] [CrossRef]
- Trejo-Vázquez, I. El clima de la selva baja caducifolia en México. Investig. Geogr. 1999, 39, 40–52. [Google Scholar] [CrossRef]
- Instituto Nacional de Estadística y Geografía (INEGI). Conjunto de Datos Vectoriales de Uso de Suelo y Vegetación. Escala 1:250,000. Serie VI (Capa Unión), Escala: 1:250,000, 1st ed.; Instituto Nacional de Estadística y Geografía: Aguascalientes, México, 2016. [Google Scholar]
- García, E. Climas (Clasificación de Köppen, Modificado por García). Escala 1:1,000,000; Comisión Nacional para el Conocimiento y Uso de la Biodiversidad (CONABIO): Ciudad de México, México, 1998. [Google Scholar]
- Lemos-Espinal, J.A.; Smith, G.R. An analysis of the inter-state similarity of the herpetofaunas of Mexican states. Nat. Conserv. 2023, 53, 223–256. [Google Scholar] [CrossRef]
- Devitt, T.J.; Tseng, K.; Taylor-Adair, M.; Koganti, S.; Timugura, A.; Cannatella, D.C. Two new species of Eleutherodactylus from western and central Mexico (Eleutherodactylus jamesdixoni sp. nov., Eleutherodactylus humboldti sp. nov.). PeerJ 2023, 11, e14985. [Google Scholar] [CrossRef]
- Hernández-Ordóñez, O.; Arroyo-Rodríguez, V.; González-Hernández, A.; Russildi, G.; Luna-Reyes, R.; Martínez-Ramos, M.; Reynoso-Rosales, V.H. Range extensions of amphibians and reptiles in the southeastern part of the Lacandona rainforest, Mexico. Rev. Mex. Biodivers. 2015, 86, 457–468. [Google Scholar] [CrossRef]
- Loc-Barragán, J.; Smith, G.R.; Woolrich-Piña, G.A.; Lemos-Espinal, J.A. An updated checklist of the amphibians and reptiles of Nayarit, Mexico with conservation status and comparison with adjoining states. Herpetozoa 2024, 37, 25–42. [Google Scholar] [CrossRef]
- Montanucci, R.R. A taxonomic revision of the Phrynosoma douglassii species complex (Squamata: Phrynosomatidae). Zootaxa 2015, 4015, 1–177. [Google Scholar] [CrossRef] [PubMed]
- Pérez-Ramos, E. Two other new species of Rana (Anura: Ranidae) in the Mexican Pacific coasts of Guerrero and Sinaloa. Rev. Zool. 2023, 35, 1–18. [Google Scholar]
- Pérez-Ramos, E.; Luja-Molina, V.H. Dos especies nuevas de ranas leopardo del género Rana (Anura: Ranidae) en la vertiente del Pacífico, al noroeste de México. Rev. Zool. 2022, 34, 19–41. [Google Scholar]
- Rhodin, A.G.; Iverson, J.B.; Bour, R.; Fritz, R.; Shaffer, H.B.; Van Dijk, P.P. Turtles of the World: Annotated Checklist and Atlas of Taxonomy, Synonymy, Distribution, and Conservation Status (9th Ed.). In Conservation Biology of Freshwater Turtles and Tortoises: A Compilation Project of the IUCN/SSC Tortoise and Freshwater Turtle Specialist Group; Rhodin, A.G., Iverson, J.B., Van Dijk, P.P., Stanford, C.B., Goode, E.V., Bohlmann, K.A., Mittermeier, R.A., Eds.; Chelonian Research Foundation: Lunenburg, MA, USA, 2021; Volume 8, pp. 1–472. [Google Scholar]
- Sánchez-García, F.; García-Padilla, E.; Wilson, L.D.; Mata-Silva, V. Gerrhonotus ophiurus. Herpetol. Rev. 2020, 51, 776. [Google Scholar]
- Morrone, J.J. Hacia una síntesis biogeográfica de México. Rev. Mex. Biodivers. 2005, 76, 207–252. [Google Scholar] [CrossRef]
- Morrone, J.J. Biogeographic areas and transition zones of Latin America and the Caribbean Islands based on panbiogeographic and cladistic analyses of the entomofauna. Annu. Rev. Entomol. 2006, 51, 467–494. [Google Scholar] [CrossRef]
- Frost, D.R. Amphibian Species of the World: An Online Reference. Version 6.2; American Museum of Natural History: New York, NY, USA, 2024; Available online: https://amphibiansoftheworld.amnh.org/index.php (accessed on 17 June 2024).
- AmphibiaWeb. Available online: https://amphibiaweb.org (accessed on 17 June 2024).
- Uetz, P.; Freed, P.; Aguilar, R.; Reyes, F.; Kudera, J.; Hošek, J. (Eds.) The Reptile Database. Available online: http://www.reptile-database.org (accessed on 17 January 2024).
- International Union for Conservation of Nature’s (IUCN). The IUCN Red List of Threatened Species. Version 2024-1. Available online: https://www.iucnredlist.org/ (accessed on 17 June 2024).
- Secretaría de Medio Ambiente y Recursos Naturales (SEMARNAT). Modificación al Anexo Normativo III, Lista de Especies en Riesgo de la Norma Oficial Mexicana NOM-059-Ecol-(2010) Protección Ambiental-Especies Nativas de México de Flora y Fauna Silvestres-Categorías de Riesgo y Especificaciones Para su Inclusión, Exclusión o Cambio-Lista de Especies en Riesgo, Publicado el 30 de Diciembre del 2010. Available online: https://www.dof.gob.mx/nota_detalle.php?codigo=5578808&fecha=14/11/2019 (accessed on 14 November 2019).
- Wilson, L.D.; Johnson, J.D.; Mata-Silva, V. A conservation reassessment of the amphibians of Mexico based on the EVS measure. Amphib. Reptile Conserv. 2013, 7, 97–127. [Google Scholar]
- Wilson, L.D.; Mata-Silva, V.; Johnson, J.D. A conservation reassessment of the reptiles of Mexico based on the EVS measure. Amphib. Reptile Conserv. 2013, 7, 1–47. [Google Scholar]
- Ramírez-Bautista, A.; Torres-Hernández, L.A.; Cruz-Elizalde, R.; Berriozabal-Islas, C.; Hernández-Salinas, U.; Wilson, L.D.; Johnson, J.D.; Porras, L.W.; Balderas-Valdivia, C.J.; González-Hernández, A.J.; et al. An updated list of the Mexican herpetofauna: With a summary of historical and contemporary studies. ZooKeys 2023, 1166, 287–306. [Google Scholar] [CrossRef] [PubMed]
- Farr, W.L. Distribution of Hemidactylus frenatus in Mexico. Southw. Nat. 2011, 56, 265–273. [Google Scholar] [CrossRef]
- Mendoza-Almeralla, C.; Burrowes, P.; Parra-Olea, G. La quitridiomicosis en los anfibios de Mexico: Una revision. Rev. Mex. Biodiv. 2015, 86, 238–248. [Google Scholar] [CrossRef]
- Saucedo, B.; Serrano, J.M.; Jacinto-Maldonado, M.; Leuvan, R.S.E.W.; Rocha García, A.A.; Méndez Bernal, A.; Gröne, A.; Van Beurden, S.J.; Escobedo-Bonilla, C.M. Pathogen risk analysis for wild amphibian populations following the first report of a ranavirus outbreak in farmed American Bullfrogs. Viruses 2019, 11, 26. [Google Scholar] [CrossRef] [PubMed]
- Taylor, E.H. Mexican snakes of the genus Typhlops. Univ. Kansas Sci. Bull. 1940, 26, 441–444. [Google Scholar]
- Locey, K.J.; Stone, P.A. Factors affecting range expansion in the introduced Mediterranean Gecko, Hemidactylus turcicus. J. Herpetol. 2006, 40, 526–530. [Google Scholar] [CrossRef]
- Yap, T.A.; Koo, M.S.; Ambrose, R.F.; Vredenburg, V.T. Introduced bullfrog facilitates pathogen invasion in the western United States. PLoS ONE 2018, 13, e0188384. [Google Scholar] [CrossRef]
- Hossack, B.R.; Oja, E.B.; Owens, A.K.; Hall, D.; Cobos, C.; Crawford, C.L.; Goldberg, C.S.; Hedwall, S.; Howell, P.E.; Lemos-Espinal, J.A.; et al. Empirical evidence for effects of invasive American Bullfrogs on occurrence of native amphibians and emerging pathogens. Ecol. Appl. 2023, 33, e2785. [Google Scholar] [CrossRef]
- Hernández-Valdivia, E.; Islas-Ojeda, E.; Casillas-Peñuelas, R.; Valdivia-Flores, A.; García-Munguía, A. Gastrointestinal parasites in bullfrogs (Lithobates catesbeianus) in aquaculture production units in the Mexican central highlands. Rev. Bras. De Parasitol. Veterinária 2023, 32, e001523. [Google Scholar] [CrossRef]
- Farr, W.L.; Lazcano, D.; Lavin-Murcio, P.A. New distributional records for amphibians and reptiles from the state of Tamaulipas, Mexico II. Herpetol. Rev. 2009, 40, 459–467. [Google Scholar]
- Johnson, J.D.; Wilson, L.D.; Mata-Silva, V.; García-Padilla, E.; DeSantis, D.L. The endemic herpetofauna of Mexico: Organisms of global significance in severe peril. Mesoam. Herpetol. 2017, 4, 543–620. [Google Scholar]
- Palacios-Aguilar, R.; Santos-Bibiano, R. A new species of direct-developing frog of the genus Eleutherodactylus (Anura: Eleutherodactylidae) from the Pacific lowlands of Guerrero, Mexico. Zootaxa 2020, 4750, 250–260. [Google Scholar] [CrossRef]
- Camarena-Hernández, A.; Ochoa-Ochoa, L.M.; Yáñez-Arenas, C. Quantifying the effects of Anthropocene activities on Mexican endemic amphibians. Anim. Conserv. 2024, 27, 449–460. [Google Scholar] [CrossRef]
- Ceballos, G.; García, A. Challenges and opportunities for conservation of Mexican biodiversity. In Conservation Biology: Voices from the Tropics; Sodhi, N.S., Gibson, L., Raven, P.H., Eds.; John Wiley & Sons, Ltd.: Hoboken, NJ, USA, 2013; pp. 105–112. [Google Scholar]
- García, A.; González-Maya, J.F.; Ceballos, G. Biogeography of terrestrial vertebrates and its conservation implications in a transitional region in western Mexico. PLoS ONE 2022, 17, e0267589. [Google Scholar] [CrossRef]
- García, A.; Ortega-Huerta, M.A.; Martínez-Meyer, E. Potential distributional changes and conservation priorities of endemic amphibians in western Mexico as a result of climate change. Environ. Conserv. 2014, 41, 1–12. [Google Scholar] [CrossRef]
- Maass, J.P.; Balvanera, P.; Castillo, A.; Daily, G.C.; Mooney, H.A.; Ehrlich, P.; Quesada, M.; Miranda, A.; Jaramillo, V.J.; García-Oliva, F.; et al. Ecosystem services delivered by tropical dry forests: A case study from the Pacific coast of Mexico. Ecol. Soc. 2005, 10, 17. [Google Scholar] [CrossRef]
- Mayani-Parás, F.; Botello, F.; Castañeda, S.; Munguía-Carrara, M.; Sánchez-Cordero, V. Cumulative habitat loss increases conservation threats on endemic species of terrestrial vertebrates in Mexico. Biol. Conserv. 2021, 253, 108864. [Google Scholar] [CrossRef]
- Mayani-Parás, F.; Botello, F.; Castañeda, S.; Sánchez-Cordero, V. Impact of habitat loss and mining on the distribution of endemic species of amphibians and reptiles in Mexico. Diversity 2019, 11, 210. [Google Scholar] [CrossRef]
- Gámez Vivaldo, S.; García Márquez, L.J.; Osorio Sarabia, D.; Vázquez García, J.L.; Constantino Casas, F. Pathology in the Olive Ridley turtles (Lepidochelys olivacea) that arrived to the shores of Cuyutlan, Colima, Mexico. Veter. Mex. 2009, 40, 69–78. [Google Scholar]
- Mejía-Radillo, R.Y.; Zavala-Norzagaray, A.A.; Chávez-Medina, A.; Aguirre, A.A.; Escobedo-Bonilla, C.M. Presence of chelonid herpesvirus 5 (ChHV5) in sea turtles in northern Sinaloa, Mexico. Dis. Aquat. Org. 2019, 132, 99–108. [Google Scholar] [CrossRef] [PubMed]
- Valdés-Flores, J.; Angulo-Zamudio, U.; León-Sicairo, N.; Flores-Villaseñor, H.; Ley-Quiñonez, P.; Velázquez-Román, J.; Sosa-Cornejo, I.; Zavala-Norzagaray, A.; Aguirre, A.A.; Olimón-Andalón, V.; et al. Potentially pathogenic bacteria in nesting Olive Ridley Turtles in northwestern Mexico. EcoHealth 2023, 20, 349–354. [Google Scholar]
- Buenrostro-Silva, A.; García-Grajales, J.; Sánchez-Nava, P.; Ruíz-Gómez, M.D.L. First findings of ulcerative and necrotizing dermatitis in olive ridley turtles (Lepidochelys olivacea) in La Escobilla, Oaxaca, Mexico. Cienc. Mar. 2023, 49, e3329. [Google Scholar] [CrossRef]
- Bárcenas Ibarra, A.; Maldonado Gasca, A. Malformations in embryos and neonates of Olive Ridley sea turtle (Lepidochelys olivacea) in Nuevo Vallarta, Nayarit, Mexico. Veter. Mex. 2009, 40, 371–380. [Google Scholar]
- Tomaszewicz, C.N.T.; Avens, L.; LaCasella, E.L.; Eguchi, T.; Dutton, P.H.; LeRoux, R.A.; Seminoff, J.A. Mixed-stock aging analysis reveals variable sea turtle maturity rates in a recovering population. J. Wildl. Manag. 2022, 86, e22217. [Google Scholar] [CrossRef]
- Scheidt, V.N. Observations on the reptiles of the Revillagigedo Archipelago (Colima, Mexico) with notes on the status of the introduced Ctenosaura pectinata and Hemidactylus frenatus. Proc. San Diego Soc. Nat. Hist. 2020, 48 (Suppl. S1), 112–132. [Google Scholar]







| Neighboring Provinces | Surface (km2) | Contact (km) | Longitude (°) | Latitude (°) | Distance (km) | Elevation Range (m) | Shared Species | Species Richness |
|---|---|---|---|---|---|---|---|---|
| Pacific Lowlands | 187,112.90 | - | −105.558 | 20.35502 | - | 2200 | - | 326 |
| Sonoran | 119,762.79 | 1709 | −112.265 | 30.07016 | 1265 | 1800 | 66 | 124 |
| Chihuahuan Desert | 578,001.54 | 1760 | −103.73 | 26.19336 | 669.7 | 2600 | 73 | 261 |
| Sierra Madre Occidental | 171,195.06 | 11,506 | −106.334 | 25.78151 | 603.1 | 3000 | 119 | 216 |
| Transvolcanic Belt | 82,839.90 | 1272 | −100.551 | 19.73688 | 526.3 | 5200 | 161 | 427 |
| Balsas Basin | 76,135.84 | 152 | −99.7366 | 18.37809 | 647.7 | 2600 | 118 | 206 |
| Sierra Madre del Sur | 93,606.91 | 4149 | −100.206 | 17.70266 | 633.8 | 3400 | 186 | 517 |
| Chiapas Highlands | 27,879.28 | 490 | −92.2252 | 16.7383 | 1460 | 3600 | 129 | 348 |
| Veracruzan | 191,451.14 | 83 | −96.1699 | 19.05299 | 991.4 | 2200 | 106 | 341 |
| PL | SMS | TVB | Chiapas | SMO | BB | Ver | CD | SON | TOTAL | |
|---|---|---|---|---|---|---|---|---|---|---|
| Amphibia | 76 | 47 (61.8) | 42 (55.3) | 33 (43.4) | 34 (44.7) | 31 (40.8) | 24 (31.6) | 18 (23.7) | 15 (19.7) | 400 (19) |
| Anura | 71 | 45 (63.4) | 40 (56.3) | 29 (40.8) | 34 (47.9) | 31 (43.7) | 22 (31) | 18 (25.4) | 15 (21.1) | 255 (27.8) |
| Bufonidae | 14 | 8 (57.1) | 6 (42.9) | 6 (42.9) | 8 (57.1) | 4 (28.6) | 4 (28.6) | 6 (42.9) | 6 (42.9) | 33 (42.4) |
| Centrolenidae | 1 | 1 (100) | 1 (100) | 1 (100) | - | - | 1 (100) | - | - | 1 (100) |
| Craugastoridae | 8 | 7 (87.5) | 6 (75) | 4 (50) | 4 (50) | 6 (75) | 3 (37.5) | 2 (25) | - | 43 (18.6) |
| Eleutherodactylidae | 14 | 7 (50) | 5 (35.7) | 3 (21.4) | 4 (28.6) | 2 (14.3) | - | - | - | 40 (35) |
| Hylidae | 12 | 11 (91.7) | 9 (75) | 5 (41.7) | 6 (50) | 8 (66.7) | 3 (25) | 4 (33.3) | 3 (25) | 94 (12.8) |
| Leptodactylidae | 3 | 2 (66.7) | 2 (66.7) | 3 (100) | 1 (33.3) | 2 (66.7) | 3 (100) | 2 (66.7) | 1 (33.3) | 3 (100) |
| Microhylidae | 3 | 2 (66.7) | 2 (66.7) | 2 (66.7) | 3 (100) | 2 (66.7) | 2 (66.7) | 1 (33.3) | 1 (33.3) | 6 (50) |
| Phyllomedusidae | 2 | 2 (100) | 2 (100) | 1 (50) | 1 (50) | 1 (50) | 1 (50) | - | - | 3 (66.7) |
| Ranidae | 12 | 4 (33.3) | 6 (50) | 3 (25) | 6 (50) | 5 (41.7) | 3 (25) | 2 (16.7) | 3 (25) | 28 (42.9) |
| Rhinophrynidae | 1 | 1 (100) | - | 1 (100) | - | 1 (100) | 1 (100) | - | - | 1 (10) |
| Scaphiopodidae | 1 | - | 1 (100) | - | 1 (100) | - | 1 (100) | 1 (100) | 1 (100) | 3 (33.3) |
| Caudata | 3 | 1 (33.3) | - | 2 (66.7) | - | - | 1 (33.3) | - | - | 142 (2.1) |
| Ambystomatidae | - | - | - | - | - | - | - | - | - | 17 (0) |
| Plethodontidae | 3 | 1 (33.3) | - | 2 (66.7) | - | - | 1 (33.3) | - | - | 123 (2.4) |
| Salamandridae | - | - | - | - | - | - | - | - | - | 1 (0) |
| Sirenidae | - | - | - | - | - | - | - | - | - | 1 (0) |
| Gymnophiona | 2 | 1 (50) | 2 (100) | 2 (100) | - | - | 1 (50) | - | - | 3 (66.7) |
| Dermophiidae | 2 | 1 (50) | 2 (100) | 2 (100) | - | - | 1 (50) | - | - | 3 (66.7) |
| Reptilia | 250 | 139 (55.6) | 120 (48) | 96 (38.4) | 86 (34.4) | 87 (34.8) | 83 (33.2) | 55 (22) | 52 (20.8) | 814 (30.7) |
| Crocodylia | 2 | - | - | 1 (50) | - | 1 (50) | 1 (50) | - | 1 (50) | 3 (66.7) |
| Alligatoridae | 1 | - | - | - | - | - | - | - | - | 1 (100) |
| Crocodylidae | 1 | - | - | 1 (100) | - | 1 (100) | 1 (100) | - | 1 (100) | 2 (50) |
| Squamata | 226 | 133 (58.8) | 114 (50.4) | 91 (40.3) | 82 (36.3) | 82 (36.3) | 74 (32.7) | 53 (23.5) | 43 (19) | 762 (29.7) |
| Lacertilia | 98 | 52 (53.1) | 40 (40.8) | 35 (35.7) | 33 (33.7) | 31 (31.6) | 18 (18.4) | 17 (17.3) | 14 (14.3) | 385 (25.5) |
| Anguidae | 2 | 2 (100) | 2 (100) | 1 (50) | 2 (100) | 1 (50) | 1 (50) | 2 (100) | - | 42 (4.8) |
| Anolidae | 12 | 5 (41.7) | 1 (8.3) | 5 (41.7) | 1 (8.3) | 2 (16.7) | 1 (8.3) | 1 (8.3) | - | 54 (22.2) |
| Bipedidae | 2 | - | - | - | - | 1 (50) | - | - | - | 2 (100) |
| Corytophanidae | 2 | 2 (100) | 2 (100) | 2 (100) | - | 1 (50) | 2 (100) | - | - | 6 (33.3) |
| Crotaphytidae | 1 | - | - | - | 1 (100) | - | - | - | 1 (100) | 7 (14.3) |
| Dibamidae | - | - | - | - | - | - | - | - | - | 1 (0) |
| Diploglossidae | - | - | - | - | - | - | - | - | - | 4 (0) |
| Eublepharidae | 3 | 2 (66.7) | 1 (33.3) | 1 (33.3) | 1 (33.3) | 2 (66.7) | 1 (33.3) | - | - | 7 (42.9) |
| Gymnophthalmidae | 1 | - | - | 1 (100) | - | - | - | - | - | 1 (100) |
| Helodermatidae | 4 | 1 (25) | 1 (25) | 2 (50) | 3 (75) | 1 (25) | - | - | 1 (25) | 4 (25) |
| Iguanidae | 7 | 4 (57.1) | 2 (28.6) | 4 (57.1) | 2 (28.6) | 3 (42.9) | 2 (28.6) | 1 (14.3) | 2 (28.6) | 13 (53.8) |
| Phrynosomatidae | 27 | 13 (48.1) | 12 (44.4) | 6 (22.2) | 14 (51.9) | 9 (33.3) | - | 10 (37) | 6 (22.2) | 121 (22.3) |
| Phyllodactylidae | 9 | 4 (44.4) | 3 (33.3) | 2 (22.2) | 2 (22.2) | 1 (11.1) | 1 (11.1) | - | 1 (11.1) | 18 (50) |
| Scincidae | 10 | 6 (60) | 8 (80) | 4 (40) | 4 (40) | 3 (30) | 4 (40) | 2 (20) | - | 30 (33.3) |
| Sphaerodactylidae | 3 | 2 (66.7) | 1 (33.3) | 3 (100) | - | - | 3 (100) | - | - | 3 (100) |
| Teiidae | 10 | 7 (70) | 6 (60) | 3 (30) | 3 (30) | 6 (60) | 2 (20) | 1 (10) | 3 (30) | 39 (25.6) |
| Xantusidae | 4 | 3 (75) | - | 1 (25) | - | 1 (25) | - | - | - | 24 (16.7) |
| Xenosauridae | 1 | 1 (100) | 1 (100) | - | - | - | 1 (100) | - | - | 9 (1.1) |
| Serpentes | 128 | 81 (63.3) | 74 (57.8) | 56 (43.8) | 49 (38.3) | 51 (39.8) | 56 (43.8) | 36 (28.1) | 29 (22.7) | 377 (34) |
| Boidae | 3 | 2 (66.7) | 2 (66.7) | 2 (66.7) | 1 (33.3) | 2 (66.7) | 1 (33.3) | - | 1 (33.3) | 5 (60) |
| Colubridae | 53 | 31 (58.5) | 30 (56.6) | 22 (41.5) | 26 (49.1) | 24 (45.3) | 26 (49.1) | 19 (35.8) | 17 (32.1) | 125 (42.4) |
| Dipsadidae | 40 | 29 (72.5) | 24 (60) | 20 (50) | 9 (22.5) | 13 (32.5) | 19 (47.5) | 9 (22.5) | 2 (5) | 129 (31) |
| Elapidae | 10 | 5 (50) | 5 (50) | 4 (40) | 3 (30) | 3 (30) | 1 (10) | 2 (20) | 3 (30) | 16 (62.5) |
| Leptotyphlopidae | 4 | 4 (100) | 2 (50) | 1 (25) | 1 (25) | 3 (75) | 1 (25) | 1 (25) | 1 (25) | 12 (33.3) |
| Loxocemidae | 1 | 1 (100) | 1 (100) | 1 (100) | - | 1 (100) | 1 (100) | - | - | 1 (100) |
| Natricidae | 4 | 2 (50) | 4 (100) | 2 (50) | 3 (75) | 1 (25) | 2 (50) | 3 (75) | 1 (25) | 28 (14.3) |
| Typhlopidae | - | - | - | - | - | - | - | - | - | 1 (0) |
| Viperidae | 13 | 7 (53.8) | 6 (46.2) | 4 (30.8) | 6 (46.2) | 4 (30.8) | 5 (38.5) | 2 (15.4) | 4 (30.8) | 60 (21.7) |
| Testudines | 22 | 6 (27.3) | 6 (27.3) | 4 (18.2) | 4 (18.2) | 4 (18.2) | 8 (36.4) | 2 (9) | 8 (36.4) | 49 (44.9) |
| Cheloniidae | 4 | - | - | - | - | - | 3 (75) | - | 4 (100) | 5 (80) |
| Chelydridae | - | - | - | - | - | - | - | - | - | 1 (0) |
| Dermatemydidae | - | - | - | - | - | - | - | - | - | 1 (0) |
| Dermochelyidae | 1 | - | - | - | - | - | 1 (100) | - | 1 (100) | 1 (100) |
| Emydidae | 5 | - | 1 (20) | 1 (20) | 1 (20) | - | 1 (20) | - | 1 (20) | 15 (33.3) |
| Geoemydidae | 2 | 2 (100) | 2 (100) | 2 (100) | 1 (50) | 1 (50) | 1 (50) | - | - | 3 (66.7) |
| Kinosternidae | 9 | 4 (44.4) | 3 (33.3) | 1 (11.1) | 2 (22.2) | 3 (33.3) | 2 (22.2) | 2 (22.2) | 2 (22.2) | 18 (50) |
| Testudinidae | 1 | - | - | - | - | - | - | - | - | 4 (25) |
| Trionychidae | - | - | - | - | - | - | - | - | - | 1 (0) |
| Total | 326 | 186 (57.1) | 162 (49.7) | 129 (39.6) | 120 (36.8) | 118 (36.2) | 107 (32.8) | 73 (22.4) | 67 (20.6) | 1214 (26.9) |
| Scientific Name | Genera | Species | IUCN | Mean EVS | SEMARNAT |
|---|---|---|---|---|---|
| Class Amphibia | DD, LC, NT, VU, EN, CR | NL, Pr, A, P | |||
| Order Anura | 24 | 71 | 0, 60, 0, 2, 1, 0 | 10 | 55, 15, 1, 0 |
| Bufonidae | 3 | 14 | 0, 12, 0, 1, 1, 0 | 9.6 | 12, 2, 0, 0 |
| Centrolenidae | 1 | 1 | 0, 0, 0, 0, 0, 0 | 10 | 1, 0, 0, 0 |
| Craugastoridae | 1 | 8 | 0, 8, 0, 0, 0, 0 | 11.8 | 8, 0, 0, 0 |
| Eleutherodactylidae | 1 | 14 | 0, 10, 0, 1, 0, 0 | 15 | 10, 4, 0, 0 |
| Hylidae | 10 | 12 | 0, 12, 0, 0, 0, 0 | 8.8 | 9, 2, 1, 0 |
| Leptodactylidae | 2 | 3 | 0, 3, 0, 0, 0, 0 | 4.7 | 3, 0, 0, 0 |
| Microhylidae | 2 | 3 | 0, 3, 0, 0, 0, 0 | 6.3 | 2, 1, 0, 0 |
| Phyllomedusidae | 1 | 2 | 0, 2, 0, 0, 0, 0 | 12 | 2, 0, 0, 0 |
| Ranidae | 1 | 12 | 0, 8, 0, 0, 0, 0 | 8.9 | 3, 5, 0, 0 |
| Rhinophrynidae | 1 | 1 | 0, 1, 0, 0, 0, 0 | 8 | 0, 1, 0, 0 |
| Scaphiopodidae | 1 | 1 | 0, 1, 0, 0, 0, 0 | 3 | 1, 0, 0, 0 |
| Order Caudata | 1 | 3 | 0, 2, 0, 0, 1, 0 | 13.3 | 1, 2, 0, 0 |
| Plethodontidae | 1 | 3 | 0, 2, 0, 0, 1, 0 | 13.3 | 1, 2, 0, 0 |
| Order Gymnophiona | 1 | 2 | 0, 2, 0, 0, 0, 0 | 11.5 | 0, 2, 0, 0 |
| Dermophiidae | 1 | 2 | 0, 2, 0, 0, 0, 0 | 11.5 | 0, 2, 0, 0 |
| Subtotal | 26 | 76 | 0, 64, 0, 2, 2, 0 | 10.2 | 56, 19, 1, 0 |
| Class Reptilia | |||||
| Order Crocodylia | 2 | 2 | 0, 1, 0, 1, 0, 0 | 15 | 0, 2, 0, 0 |
| Alligatoridae | 1 | 1 | 0, 1, 0, 0, 0, 0 | 16 | 0, 1, 0, 0 |
| Crocodylidae | 1 | 1 | 0, 0, 0, 1, 0, 0 | 14 | 0, 1, 0, 0 |
| Order Squamata | 87 | 226 | 19, 163, 3, 6, 3, 2 | 11.8 | 133, 70, 23, 0 |
| Suborder Lacertilia | 28 | 98 | 8, 69, 1, 4, 1, 1 | 12.6 | 60, 28, 10, 0 |
| Anguidae | 2 | 2 | 0, 2, 0, 0, 0, 0 | 8 | 0, 2, 0, 0 |
| Anolidae | 1 | 12 | 3, 8, 0, 0, 0, 0 | 14.1 | 7, 4, 1, 0 |
| Bipedidae | 1 | 2 | 0, 2, 0, 0, 0, 0 | 15.5 | 0, 2, 0, 0 |
| Corytophanidae | 2 | 2 | 0, 2, 0, 0, 0, 0 | 8 | 1, 1, 0, 0 |
| Crotaphytidae | 1 | 1 | 0, 1, 0, 0, 0, 0 | 12 | 1, 0, 0, 0 |
| Eublepharidae | 1 | 3 | 0, 2, 0, 0, 0, 0 | 13 | 2, 0, 1, 0 |
| Gymnophthalmidae | 1 | 1 | 0, 1, 0, 0, 0, 0 | 9 | 0, 1, 0, 0 |
| Helodermatidae | 1 | 4 | 0, 2, 1, 1, 0, 0 | 13 | 2, 2, 0, 0 |
| Iguanidae | 3 | 7 | 0, 5, 0, 1, 0, 1 | 14.1 | 2, 1, 4, 0 |
| Phrynosomatidae | 5 | 27 | 0, 24, 0, 1, 1, 0 | 12.7 | 23, 3, 1, 0 |
| Phyllodactylidae | 1 | 9 | 0, 5, 0, 0, 0, 0 | 14 | 5, 2, 2, 0 |
| Scincidae | 3 | 10 | 3, 4, 0, 0, 0, 0 | 12 | 7, 3, 0, 0 |
| Sphaerodactylidae | 2 | 3 | 0, 2, 0, 0, 0, 0 | 11 | 1, 2, 0, 0 |
| Teiidae | 2 | 10 | 0, 8, 0, 0, 0, 0 | 11.4 | 7, 3, 0, 0 |
| Xantusidae | 1 | 4 | 2, 1, 0, 0, 0, 0 | 12.3 | 2, 1, 1, 0 |
| Xenosauridae | 1 | 1 | 0, 0, 0, 1, 0, 0 | 9 | 0, 1, 0, 0 |
| Suborder Serpentes | 59 | 128 | 11, 94, 2, 2, 2, 1 | 11.3 | 73, 42, 13, 0 |
| Boidae | 2 | 3 | 0, 1, 0, 0, 1, 0 | 10 | 2, 1, 0, 0 |
| Colubridae | 25 | 53 | 4, 42, 1, 0, 0, 1 | 10.7 | 36, 12, 5, 0 |
| Dipsadidae | 20 | 40 | 4, 32, 0, 0, 0, 0 | 11 | 25, 15, 0, 0 |
| Elapidae | 4 | 10 | 1, 8, 0, 1, 0, 0 | 13.9 | 2, 7, 1, 0 |
| Leptotyphlopidae | 2 | 4 | 0, 1, 0, 0, 0, 0 | 7.7 | 4, 0, 0, 0 |
| Loxocemidae | 1 | 1 | 0, 1, 0, 0, 0, 0 | 10 | 0, 1, 0, 0 |
| Natricidae | 1 | 4 | 0, 3, 0, 0, 1, 0 | 10.3 | 1, 0, 3, 0 |
| Viperidae | 4 | 13 | 2, 6, 1, 1, 0, 0 | 14.2 | 3, 6, 4, 0 |
| Order Testudines | 11 | 22 | 3, 3, 2, 6, 1, 1 | 14.3 | 7, 8, 1, 6 |
| Chelonidae | 4 | 4 | 0, 0, 0, 2, 1, 1 | - | 0, 0, 0, 4 |
| Dermochelyidae | 1 | 1 | 0, 0, 0, 1, 0, 0 | - | 0, 0, 0, 1 |
| Emydidae | 2 | 5 | 1, 0, 0, 2, 0, 0 | 17.8 | 4, 1, 0, 0 |
| Geoemydidae | 1 | 2 | 0, 0, 1, 0, 0, 0 | 11 | 0, 1, 1, 0 |
| Kinosternidae | 2 | 9 | 2, 3, 1, 0, 0, 0 | 12.7 | 2, 6, 0, 1 |
| Testudinidae | 1 | 1 | 0, 0, 0, 1, 0, 0 | - | 1, 0, 0, 0 |
| Subtotal | 100 | 250 | 22, 167, 5, 13, 4, 3 | 12 | 140, 80, 24, 6 |
| Total | 126 | 326 | 22, 229, 5, 15, 6, 3 | 11.6 | 196, 99, 25, 6 |
| Class Amphibia | IUCN | Main Threats |
|---|---|---|
| Order Anura | ||
| Bufonidae | ||
| Incilius cycladen | VU (↓) | Habitat alteration due to agricultural clearance and agrochemical pollution |
| Incilius gemmifer | EN (=) | Habitat loss due to small-scale agricultural expansion, wood extraction, urban expansion |
| Eleutherodactylidae | ||
| Eleutherodactylus teretistes | VU (?) | Habitat loss due to agricultural expansion |
| Order Caudata | ||
| Plethodontidae | ||
| Bolitoglossa flaviventris | EN (↓) | Habitat loss due to agricultural and urban expansion, settlements for refugees and livestock |
| Class Reptilia | ||
| Order Crocodilia | ||
| Crocodylidae | ||
| Crocodylus acutus | VU (↑) | This species is recovering thanks to the conservation actions taken in the countries in which it ranges |
| Order Squamata | ||
| Suborder Lacertilia | ||
| Helodermatidae | ||
| Heloderma alvarezi | VU (↓) | Persecution by human, habitat loss (seasonally dry forest), climate change |
| Iguanidae | ||
| Ctenosaura clarki | VU (?) | Habitat loss and pet trade |
| Ctenosaura oaxacana | CR (↓) | Habitat loss and consumption of its meat by humans |
| Phrynosomatidae | ||
| Urosaurus auriculatus | EN (↓) | Habitat loss due to introduced species: sheep overgrazing and cats predating on this lizard |
| Urosaurus clarionensis | VU (?) | Habitat loss due to introduced species: rabbits and sheep overgrazing and cats possibly predating on this lizard |
| Xenosauridae | ||
| Xenosaurus grandis | VU (↓) | Pet trade and habitat loss |
| Suborder Serpentes | ||
| Boidae | ||
| Ungaliophis continentalis | EN (?) | Habitat loss and pet trade |
| Colubridae | ||
| Masticophis anthonyi | CR (?) | Habitat loss due to introduced species: rabbits, sheep, and pigs |
| Elapidae | ||
| Micrurus ephippifer | VU (↓) | Habitat loss due to agricultural expansion |
| Natricidae | ||
| Thamnophis melanogaster | EN (↓) | Water pollution due to agriculture and industry |
| Viperidae | ||
| Crotalus stejnegeri | VU (↓) | Habitat loss due to extensive commercial logging and agricultural expansion |
| Order Testudines | ||
| Chelonidae | ||
| Caretta caretta | VU (↓) | Fibropapilloma (linked with pollution and habitat degradation) and pollution |
| Chelonia mydas | EN (↓) | Fibropapilloma (linked with degradation of coral reefs) |
| Eretmochelys imbricata | CR (↓) | Fibropapilloma |
| Lepidochelys olivacea | VU (↓) | Fibropapilloma and fishery bycatch |
| Dermochelyidae | ||
| Dermochelys coriacea | VU (↓) | Fibropapillomaand fishery bycatch |
| Emydidae | ||
| Trachemys ornata | VU (↓) | No information available, but habitat loss and chemical pollution are likely |
| Trachemys yaquia | VU (↓) | Habitat loss; it is likely being harvested for food |
| Family Testudinidae | ||
| Gopherus evgoodei | VU (↓) | Habitat loss due to the conversion of native thornscrub to Buffelgrass |
Disclaimer/Publisher’s Note: The statements, opinions and data contained in all publications are solely those of the individual author(s) and contributor(s) and not of MDPI and/or the editor(s). MDPI and/or the editor(s) disclaim responsibility for any injury to people or property resulting from any ideas, methods, instructions or products referred to in the content. |
© 2024 by the authors. Licensee MDPI, Basel, Switzerland. This article is an open access article distributed under the terms and conditions of the Creative Commons Attribution (CC BY) license (https://creativecommons.org/licenses/by/4.0/).
Share and Cite
Lemos-Espinal, J.A.; Smith, G.R. Amphibians and Reptiles of the Pacific Lowlands Biogeographic Province of Mexico: Diversity, Similarities, and Conservation. Diversity 2024, 16, 735. https://doi.org/10.3390/d16120735
Lemos-Espinal JA, Smith GR. Amphibians and Reptiles of the Pacific Lowlands Biogeographic Province of Mexico: Diversity, Similarities, and Conservation. Diversity. 2024; 16(12):735. https://doi.org/10.3390/d16120735
Chicago/Turabian StyleLemos-Espinal, Julio A., and Geoffrey R. Smith. 2024. "Amphibians and Reptiles of the Pacific Lowlands Biogeographic Province of Mexico: Diversity, Similarities, and Conservation" Diversity 16, no. 12: 735. https://doi.org/10.3390/d16120735
APA StyleLemos-Espinal, J. A., & Smith, G. R. (2024). Amphibians and Reptiles of the Pacific Lowlands Biogeographic Province of Mexico: Diversity, Similarities, and Conservation. Diversity, 16(12), 735. https://doi.org/10.3390/d16120735

