Next Article in Journal
A Proposed Method for Assessing the Spatio-Temporal Distribution of Carcharhinus melanopterus (Quoy and Gaimard, 1824) in Shallow Waters Using a UAV: A Study Conducted in Koh Tao, Thailand
Previous Article in Journal
Detritus from Ice and Plankton Algae as an Important Food Source for Macroinfaunal Communities in the Canadian Arctic
 
 
Font Type:
Arial Georgia Verdana
Font Size:
Aa Aa Aa
Line Spacing:
Column Width:
Background:
Article

Ecological Adjustments and Behavioural Patterns of the European Badger in North-Western Italy

1
Department of Earth and Environmental Sciences, University of Pavia, Via Ferrata 1, 27100 Pavia, Italy
2
Department of Theoretical and Applied Sciences, Insubria University, Via Dunant, 3-I, 21100 Varese, Italy
*
Author to whom correspondence should be addressed.
Diversity 2024, 16(10), 607; https://doi.org/10.3390/d16100607
Submission received: 8 August 2024 / Revised: 9 September 2024 / Accepted: 18 September 2024 / Published: 1 October 2024
(This article belongs to the Section Biogeography and Macroecology)

Abstract

The European badger is a highly adaptable species, inhabiting a range of environments across Europe, from woodlands to urban areas, with its behaviour influenced by environmental conditions and human activities. This study examines the badger feeding habits, patterns of diel activity, and sett site choice in north-western Italy, assessing how landscape composition affects these behaviours. We conducted our research across seven study areas in northern Italy from December 2020 to November 2022, utilising camera trapping, faeces analysis, and sett surveys. Our findings revealed significant dietary variation, with earthworms being the primary food source in natural landscapes, while fleshy fruits being consumed especially in mixed and heavily modified landscapes, up to constitute the staple of the diet in one agricultural area. Badgers were found to be nocturnal, primarily active between sunset and sunrise. Setts varied considerably in structure and location, with a preference for natural grounds over human-made structures; key factors influencing sett site choice included slope, exposure, and vegetation cover. This study underscores the European badger’s remarkable adaptability, illustrating how its diet, activity patterns, and sett site preferences are shaped by a complex interplay of factors, allowing the species to thrive in both pristine and modified environments across northern Italy.

1. Introduction

The European badger (Meles meles Linnaeus, 1758), a member of the mustelid family, is widely distributed across nearly all European countries [1,2]. Known for its adaptability and ability to exploit a wide range of resources, the species inhabits areas from sea level to mountainous regions, ranging from dense woodlands to open agricultural landscapes, and can even be found in suburban areas and urban parks [1,3,4,5,6,7]. A variety of interacting factors, including climate, terrain characteristics (such as soil type and slope), habitat composition and heterogeneity, vegetation cover, and interspecific interactions, significantly influence the distribution of the European badger in Europe [4]. These factors impact both sett construction and food availability, and the balance between these two ecological needs ultimately determines species habitat preferences [4,8].
Regarding feeding habits, the European badger has been described for a long period as a facultative earthworm specialist [9,10,11]; indeed, in northern Europe (e.g., Great Britain and Scandinavia), earthworms constitute a staple part of the badger diet [12,13]. However, in the natural landscapes of the Mediterranean regions, badgers primarily consume fruits and insects [14,15], adjusting their diet locally and seasonally depending on resource availability [11]. In agricultural landscapes, badgers may also consume cultivated crops such as cereals, seeds, and fruits from domestic trees, which are often absent in natural environments [16,17]. In urban settings, badgers are known to utilise anthropogenic food sources from garbage [13]. The key aspect emerging is that the European badger, despite being a member of the order Carnivora, is an omnivorous and opportunistic feeder [18], capable of adjusting its diet even in the face of a dramatic decline in preferred food categories [19,20].
The feeding habits of the European badger not only significantly influence its use of habitats but also its diel activity patterns. Badgers are predominantly nocturnal, with activity peaks between dusk and dawn; they are mostly inactive during daylight [8,21,22,23,24,25,26]. Nevertheless, a certain level of variability in the activity patterns of this species has been observed, particularly across the seasons [25,26]. Generally, wildlife diel activity patterns are an adaptive behaviour resulting from a trade-off between nutritional requirements, social needs, intra- (e.g., competition) and inter-specific (e.g., predation) interactions, and external environmental factors such as seasonality, temperature, and day–night length. These factors vary over a year and within a single day, generating some adaptive responses in species’ temporal niches. The primary factors influencing badger activity patterns are the environmental conditions, such as temperature and precipitation, which affect the availability of food (particularly fruits and invertebrates) [27,28] and human disturbances to a lesser degree [8]. Indeed, in agricultural landscapes, badgers tend to use the available wooded patches for their nocturnal activities [29].
In northern Europe, where winters are harsh, badgers exhibit reduced activity during the coldest months, entering a state of torpor or winter sleep to conserve energy [27]. Conversely, in southern Europe, badgers remain active throughout the year [8].
Badgers are known for their extensive digging behaviour, creating complex underground setts [25], to the point that the species is considered semi-fossorial [30]. Members of a social group occupy a multi-functional burrow system usually made up of a primary main sett, used as the principal daytime resting place but also for social interactions, and several smaller outlier setts [25,30,31]. The selection of sett sites is influenced by various environmental factors, including soil type, slope and exposure, vegetation, and human disturbance [15] and references therein. Generally, badgers prefer well-drained soils on slopes facing sunlight exposure in sites with good vegetation cover near water and rocky places [17,32,33,34,35,36]. Sett density greatly varies across species ranges, but cover and soil are reported as the main drivers of sett site choice both in high- and low-density badger populations [33] and references therein.
In this study, we aim to explore the behavioural patterns of the European badger in north-western Italy, focusing on three key ecological aspects: feeding habits, diel activity patterns, and sett site choice across different study areas characterised by diverse landscapes. We tested the following hypotheses: (i) regarding the feeding habits, we hypothesised that earthworms would be the most important food item in uniform and natural landscapes, while badgers would rely more on anthropogenic food items (i.e., cereals and fruits from domestic trees) in mixed and agricultural landscapes; (ii) considering the diel activity patterns, we expected badgers to be predominantly nocturnal with differences in diel activity patterns related to landscape composition; (iii) last but not least, regarding the sett site choice, we hypothesised that badgers would prefer sites with high vegetation cover, which provide protection, structural support, and diverse food resources, on steep slopes facing sunlight exposure.

2. Materials and Methods

2.1. Study Areas

This research has been conducted across seven distinct study areas in north-western Italy (Figure 1).
Triangolo Lariano (LAR): Predominantly mountainous area with elevations ranging from 180 to 1100 m a.s.l. The area is rich in woodlands, with broadleaved ones dominated by thermophilous species (e.g., Ostrya carpinifolia, Acer spp., Fraxinus spp., Tilia spp.), beech (Fagus sylvatica) and chestnut (Castanea sativa). Mixed woodlands primarily consist of birch (Betula spp.) and spruce (Picea abies), while monospecific coniferous woodlands, largely a result of artificial reforestation, are limited. Agricultural lands are confined to the valley bottoms, which are mainly constituted of arable fodder crops and grasses, and pastures on mountain ridges. Water bodies include little mountain streams and one natural marsh. Urban areas are concentrated in the valley bottoms and are represented by medium or small villages.
Boschi Negri e Moriano (BNM): Located in the Po Plain along the Ticino River, this area features a mixed landscape of alternating woodlands and cultivated fields. Meso-hygrophile and multi-layered woodlands, with species like Quercus robur, Populus spp., and Ulmus minor, alongside riparian woodlands (Salix spp. and Alnus glutinosa) represent a continuous canopy along the river. The shrub layer is rich and well-structured, hosting species such as Crataegus monogyna, Corylus avellana, Cornus mas, Prunus spp., and Sambucus nigra. Agriculture in the area is primarily focused on cereal production, with maize and rice as the dominant crops, while extensive poplar plantations and smaller mixed broadleaved reforestations are also present. Part of the area is covered by the Ticino River and its banks, canals, streams, and marshes. Urbanization is limited, with small to medium-sized villages. The area is included in the protected area “Valle del Ticino Lombardo Regional Park”.
Basso Monferrato (MON): Foothill area located along the Po River, which crosses the study area longitudinally. The two banks of the Po River exhibit distinct characteristics: the left bank is mainly flat and characterised by extensive cultivated lands, while the right bank features a more varied landscape. This area is characterised by an intensive agricultural landscape, where cereals, mainly maize and rice, are cultivated over very large fields, and poplar plantations are widespread. In this agricultural landscape, there is a floodplain area featuring a variety of diverse habitats, such as riparian woodlands, dominated by Salix spp., and meso-hygrophile woodlands, mainly composed of Quercus spp. and black locust (Robinia pseudoacacia), alongside wetlands, and semi-natural xeric grasslands. Urban areas are limited to small villages. It is partially included in the protected area “Po Piemontese Regional Park”.
Torrente Orba (ORB): Located in the Po Plain alongside the Orba stream, it is characterised by a completely flat terrain. The landscape is typically agricultural and composed of numerous small parcels allocated, for example, to cereals, alfalfa, vegetables, fruits, sunflowers, fodder crops and grasses. Woodlands lie along the course of the Orba Stream, where the canopy is relatively continuous. In the floodplain, nearly intact riparian woodlands are composed of white willow (Salix alba) and black poplar (Populus nigra), while in drier areas, Quercus spp. and black locust are predominant. Urban areas are limited to small villages. The Orba Stream Nature Reserve covers a small portion of the study area.
Colline Oltrepò Pavese (COP): Hill area located in the northern Apennines with elevations ranging from 130 to 410 m a.s.l. It is dominated by vast and widespread vineyards and, to a lesser extent, non-irrigated arable lands allocated to fodder crops and grasses. Areas covered by woodlands, dominated by black locusts, are very small and limited to isolated patches along vineyard borders or little streams and canals used for agricultural purposes. Such watercourses are the only present. The area hosts small villages situated atop the hills.
Val Tidone (TID): It lies between the upper hills and the mountains zones of the northern Apennines with elevations ranging from 390 to 860 m a.s.l. A mixed landscape, with alternating woodlands and cultivated lands, characterises the area. Thermophilous broad-leaved woodlands are predominant (main species: Quercus pubescens in association with Quercus petraea, Quercus cerris, Fraxinus ornus and Acer campestre), while coniferous and mixed woodlands are restricted. Permanent or seasonal fodder crops are cultivated over small fields and shrublands, and natural grasslands and pastures are widespread and interspersed in the woodland. Watercourses are represented by mountain streams, which can be seasonally dry. Only two small villages are present within the study area.
Valle Staffora (STA): Mountainous area located in the northern Apennines with elevations ranging from 550 to 1550 m a.s.l. The study area is characterised by dense and continuous woodland cover. Monospecific beech and chestnut woodlands are dominant, alongside coniferous woodlands composed of Pinus nigra, Picea abies, and Larix decidua. Mixed woodlands are also present. Moreover, well-structured shrublands, natural grasslands and pastures on mountain ridges are scattered throughout the woodlands. Permanent or seasonal fodder crops are cultivated over small fields. Small mountain streams, which can be seasonally dry, are widespread. Urban areas are very limited and composed of isolated small villages.

2.2. Data Collection

The presence of the target species in the study areas was primarily investigated using camera trapping. Each study area was divided into sampling units by overlaying a grid with squares of 1.5 × 1.5 km (Table 1); during a sampling session, one camera trap was placed at a random site within each square. This sampling design, known as tessellation stratified sampling, allows for the optimal distribution of sampling sites, minimizing spatial correlation among them and increasing their representativeness [37].
In each study area, seasonal camera trapping sessions were conducted over a two-year sampling period from December 2020 to November 2022 (winter: December to February; spring: March to May; summer: June to August; autumn: September to November). During each sampling session, the camera traps were simultaneously activated and set to record continuously for 24 h throughout the sampling period (120 sampling days planned for each session). The camera traps were mounted on trees and bushes, mainly at 50–100 cm (47.2% of deployed camera traps), to maximise the detection area. We used two camera-trap models (Scout Guard SG520 and Apeman H55) with trigger speeds ranging between 0.3 and 0.7 s. Each camera trap was set to record 30 s videos with a minimum latency interval between consecutive recordings.
All recorded videos were carefully inspected to identify the captured species. Since the different individuals of the target species typically lack phenotypic characteristics for easy identification and the same individuals might visit the same sites repeatedly, consecutive videos regarding the species were considered as different events only if they were spaced at least 30 min apart to ensure capture independence [21,22,38,39].
Camera trap deployment allowed for the opportunistic collection of other species’ signs of presence, specifically faeces and setts, during the same period.
Faeces were mainly found within shallow pits in the ground, known as latrines [19,31,40], typically positioned near the sett sites and along paths used for foraging [19]. They were identified based on shape, odour, size, and deposition site characteristics. Multiple faeces found within the same latrine were distinguished based on colour, water content, and degree of decomposition [16]. All well-preserved faeces were georeferenced, collected in PVC bags, and adequately stored for subsequent laboratory analyses.
Badger setts were occasionally found or actively searched based on data collected through camera trapping near the most frequented sites or based on signs of presence, especially latrines, detected within the study areas. Setts were identified based on the presence of signs of species, such as fresh spoil heaps, signs of recent digging, latrines or footprints in or around the sett [19,31]. In case of doubt, we positioned a camera trap on the sett to verify the presence of badgers. For each sett, we recorded information regarding the structure, defining the number of entrances and the distance between the farthest entrances. Setts were divided into four groups according to the number of entrances (1; 2–5; 6–9; >10). Setts were also grouped based on the site where they were found: artificial grounds (e.g., embankments), natural grounds, and human structures (e.g., underground cement pipes). Additionally, we recorded both topographical variables to describe the physical characteristics and microclimate variables to describe the environmental conditions of the site. We recorded the distance between the sett site and key resources (e.g., water, potential foraging sites and potential disturbance sources). We also described the micro-habitat characterizing the sett site considering a circular plot of a 5 m radius centred on the sett. Within the plot, we recorded vegetation structure information by considering the litter and three vegetation layers: herbaceous, shrub, and tree layers. The Braun-Blanquet grid method was used to calculate the percentage cover of the ground (Table 2). Field surveys were conducted only on active setts at the time of the survey, excluding abandoned ones as they would not provide accurate information on the micro-habitat, given that animal abandonment of sites causes drastic changes. All the information recorded for each sett site was also recorded for a control site located 100 m from the sett in a random direction.

2.3. Faeces Analyses

Faeces collected in the field were stored in a freezer at –20 °C for a minimum of 30 days before being analysed to minimise biological risk. After this period, each sample was analysed to identify undigested food remains following an established procedure [16]. The faeces were washed under running water using three sieves of 1.0, 0.3, and 0.1 mm mesh to separate amorphous material from undigested remains. These remains were then observed using a stereoscope (2×, 4× magnifications) and/or a microscope (4×, 10×, 20× magnifications) for item identification and counting or estimating the quantity. Mammal hairs, specifically guard hairs, were first identified macroscopically by assessing length, thickness, colour, and waviness and then microscopically by examining the shape and composition of the different parts (bulb, shaft, and shield) through the observation of the cortex and the medulla in both longitudinal and cross sections. Hairs were identified by comparing them with a reference collection and manuals [41,42,43]. Teeth and mandibles of small mammals were identified based on the shape, size, and number of teeth [44]. Bird feathers were examined for barbule structure, especially the morphology of nodes and internodes and pigment distribution, allowing identification to the order level [45]. Seeds were compared with a reference collection. Insect remains (e.g., wings, cuticle parts, legs) were compared with known samples and specific atlases, allowing identification to the order level [46,47,48]. Sediment remained in the thinnest mesh was diluted with a known volume of water (500 mL) and after mixing, a sample of 1 mL was observed under a microscope to record the number of chetae belonging to earthworms. Once we estimated the number of chaetae in the known water volume, we derived the number of consumed earthworms by dividing the number of chaetae estimated in each sample by the mean number of chaetae in an earthworm [16] (Figure S1).
Consumed items were grouped into categories following those most commonly used in the reference literature [10,13,16,49]: earthworms, invertebrates (other than earthworms), fleshy fruits, dry fruits, cereals, small mammals, medium-sized mammals, wild ungulates, birds, grass, fungi, and garbage. The amounts of the consumed items in each faeces were calculated and grouped into predefined percentage ranges (<1%; 1–5%; 6–25%; 26–50%; 51–75%; 76–95%; 96–100%), then converted into classes (0.5%; 2.5%; 15.5%; 38%; 63%; 85.6%; 98%) expressing Mean Percent Volume (VM%) [10].

2.4. Data Analyses

Whenever possible, i.e., when the sample size was sufficient, we subdivided the data for the analyses into two macro-seasons based on the corresponding sampling periods: a warm season, lasting from March to August (i.e., spring and summer) and a cold season, lasting from September to February (i.e., autumn and winter).

2.4.1. Diet

We assessed the adequacy of the sample size collected in each study area with the Brillouin index (Hb) [50]; based on the result, subsequent analyses were conducted considering either separate or combined seasons. Differences in the consumption of food categories were verified using nonparametric multivariate analysis of variance (NPMANOVA) with permutation (1000 replicates), applying, whenever necessary, the Bonferroni correction to p-values for pairwise comparisons [51]. Additionally, pairwise comparisons between study areas or seasons were tested via nonparametric tests (Kruskal–Wallis test with post hoc Dunn test [52,53] or Mann–Whitney test). We assessed badger diet breadth in each study area using the normalised Levins’ B index (B) [54] applying bootstrap resampling (1000 replicates) to determine the 95% confidence intervals (LCI: lower confidence interval; UCI: upper confidence interval) and verify the significance of the observed overlap of the confidence intervals.

2.4.2. Activity Patterns

The diel activity patterns were analysed based on data obtained through camera trapping, specifically considering the dates and the times at which badger events were recorded. The nonparametric kernel density estimate method was used to estimate circadian rhythms through a probability density function [55]. Activity patterns were estimated for each study area on a seasonal basis, considering that a minimum of 30 events per sample is necessary to obtain reliable results [56]. Uniformity within 24 h was verified using Watson’s test (U2) [57,58]. Differences in estimated diel activity patterns were verified using the nonparametric Mardia–Watson–Wheeler test (Wg) and post hoc Watson’s two-sample test (two-sample U2) [58], applying the Bonferroni correction to p-values [39].

2.4.3. Sett Sites

Based on data collected on the field, 21 variables were considered for the characterisation of sett and control sites (Table 2).
Differences for each variable between sett and control sites were assessed using the Wilcoxon signed-rank test for paired data [59]. Additionally, a conditional logistic regression analysis for paired data [60] was conducted to verify the existence of multivariate differences between sett and control plots using the stepwise method for variable selection.

3. Results

3.1. Diet

During the study period, we collected and analysed 223 faeces attributed to the badger (Table 3).
The total sample size (combined seasons) was adequate to represent the badger diet in each study area. Conversely, for the warm season, the sample size was adequate to represent the badger diet in each study area except for BNM. For the cold season, the sample size was adequate only in BNM, MON, COP, and STA (Table S1). Consequently, comparisons between study areas were performed considering the combined seasons, while seasonal comparisons within study areas were performed for MON, COP, and STA.
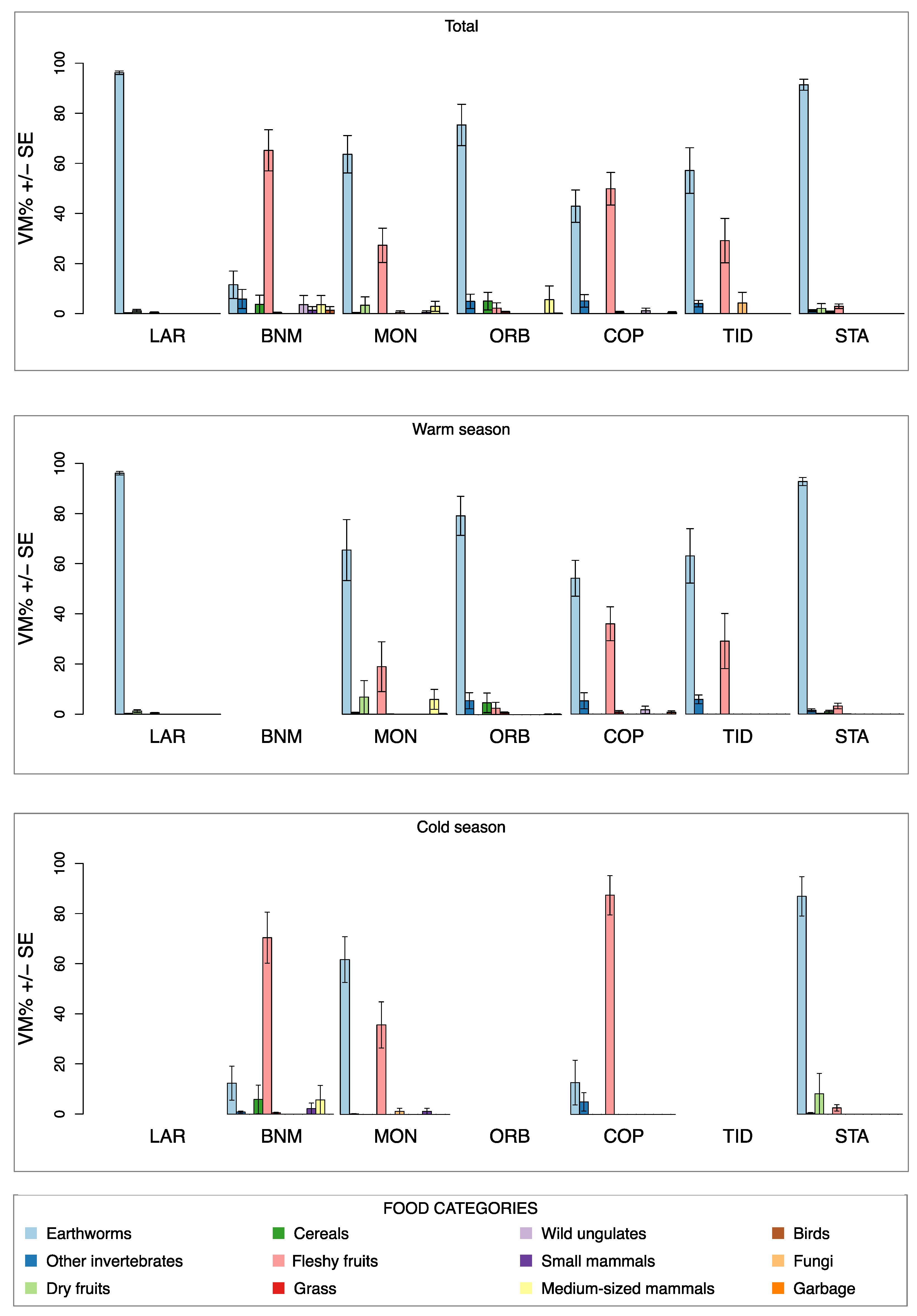
Across all study areas, the most consumed food categories were earthworms and fleshy fruits. Earthworms constituted the staple of the badger diet in the two study areas characterised by a predominant natural landscape (LAR and STA) and in one study area characterised by a predominant agricultural landscape (ORB), whereas fleshy fruits dominated the badger diet in one study area characterised by a mixed landscape (BNM) (Figure 2 and Table S2).
The badger diet varied significantly between different study areas (F = 23.40; p = 0.001). Post hoc pairwise comparisons revealed that the differences were more pronounced between study areas with differing landscape compositions compared to those with similar landscape compositions (Table 4).
Considering each food category, we observed significant differences in the consumption of earthworms (H = 106.23; df = 6; p < 0.001), dry fruits (H = 22.45; df = 6; p = 0.001), fleshy fruits (H = 77.70; df = 6; p < 0.001), cereals (H = 70.31; df = 6; p < 0.001), and grass (H = 78.22; df = 6; p < 0.001).
Regarding seasonal comparisons, no differences in the consumed categories were observed between the warm and cold seasons in MON and STA. However, in COP, the badger diet varied significantly between seasons (F = 12.24; p = 0.002). Specifically, significant differences were noted in the consumption of earthworms (W = 11.60; p < 0.001) and fleshy fruits (W = 12.57; p = 0.004).
The breadth of the badger diet was generally similar across the different study areas with two exceptions: the diet in LAR (B = 0.087; LCI = 0.085; UCI = 0.089) and STA (B = 0.096; LCI = 0.090; UCI = 0.106) were significantly different from those of the other study areas. The breadth index reached its minimum value in LAR, while the maximum value was observed in COP (B = 0.188; LCI = 0.166; UCI = 0.213) (Figure 3).

3.2. Activity Patterns

During the study period, we collected and analysed 903 camera-trapping events of the badger (Table 5). The number of events recorded was sufficient to conduct the analyses (n ≥ 30) for each macro-season in each study area except for MON during the warm season. Consequently, comparisons between study areas were performed considering the combined seasons and seasonal comparisons within study areas were performed for each study area except for MON.
The badger exhibited distinctly nocturnal and crepuscular activity patterns, with almost no daytime activity, in every study area (Figure 4). Indeed, species diel activity patterns always showed a significant deviation from a uniform distribution (Table 6), assuming unimodal or bimodal patterns.
The differences in described patterns across the different study areas were statistically significant (Wg = 27.21; p = 0.007); specifically, pairwise comparisons showed significant differences between TID and all the other study areas but BNM (Table 7).
Regarding seasonal differences within the study areas (warm season vs. cold season), we detected significant differences only in BNM (U2 = 0.49; p < 0.001) and STA (U2 = 0.46; p < 0.001).

3.3. Sett Sites

We surveyed 38 setts attributed to the European badger (LAR = 1; BNM = 7; MON = 4; ORB = 7; COP = 7; TID = 2; STA = 10).
The number of sett entrances varied significantly, ranging from simple burrows with a single entrance to complex tunnel systems featuring multiple entrances and likely numerous underground chambers (Figure 5a). In terms of extent, the average distance between the furthest entrances was 15.7 ± 7.14 m (SE), with a minimum recorded distance of 2 m and a maximum of 200 m.
Setts were primarily located on natural grounds; artificial grounds (e.g., embankments) and human structures (e.g., underground cement pipes) were less used (Figure 5b).
Among the considered variables, eight were significantly different between sett sites and control sites: brightness at 0 m (Z = 518.5; p = 0.004) and 60 cm (Z = 504.5; p = 0.021), vegetation cover (Z = 178.5; p = 0.026), soil temperature (Z = 521.0; p = 0.030), the height of the herbaceous layer (Z = 198.5; p = 0.021), % cover of the shrub layer (Z = 432.5; p = 0.007), slope (Z = 576.0; p < 0.001), and exposure (Z = 256.3; p = 0.002) (Figure 6).
The conditional logistic regression model for paired data (sett sites vs. control sites) included three variables related to the micro-habitat: slope, which had a positive effect on the probability of a sett presence, vegetation cover and height of the herbaceous layer, both of which had a negative effect on the probability of a sett presence (Table 8).

4. Discussion

The study areas investigated in this research encompass a wide range of landscapes, from almost entirely natural environments (e.g., LAR) to heavily modified ones (e.g., COP). The confirmed presence of European badgers in such diverse landscapes indicates their ability to exploit such a variety of habitats. As expected, clear differences in badger behavioural patterns were observed.
Regarding feeding habits, the results of this research confirmed the opportunistic feeding behaviour of the species, which consumes a broad spectrum of food items based on what is available in its environment. Our findings confirmed the high variability in the badger diet in northern Italy, ranging from an almost exclusive consumption of earthworms in the mountainous areas of LAR and STA, similar to results obtained in the western Alps [61] but also in a plain-to-hilly area along the Po River [16], to high consumption of fleshy fruits in COP, consistent with findings in the Prealps [62,63] and the eastern Alps [64].
Earthworms are considered a key resource for badgers, as their distribution and abundance have been reported to affect badger density significantly [65]. Soil moisture and temperature are the main limiting factors influencing earthworm availability [66], as earthworms become quiescent when the soil is either too dry or too cold [61]. Extreme ground-level conditions, both in moisture and temperature, are expected to be limited to just a few weeks a year in both of our mountainous study areas (i.e., LAR and STA). Despite being geographically distant (LAR is located in the Prealps and STA in the Apennines), both areas exhibit similarly mild climatic conditions. They are situated in the lower montane zone (LAR: 200–1100 m a.s.l.; STA: 550–1500 m a.s.l.) and experience comparable annual ranges of average temperatures (2–19 °C) and average rainfall (LAR: 51–141 mm; STA: 64–188 mm). These mild climatic conditions, favoured by the proximity of large lake basins in the case of LAR and the sea in the case of STA, ensure the availability of earthworms throughout the year. This is supported by the high consumption of earthworms in STA during both seasons.
Unlike earthworms, fruits do not require specialised feeding strategies: badgers simply gather them from the ground once they fall ripe. Fleshy fruits, in particular, represent an easily accessible and integrative resource for badgers, especially during the autumn [61]. In accordance, we documented higher consumption of fruits during the cold season in the COP study area.
The fleshy fruits consumed by badgers varied significantly depending on their availability in the different areas. In areas with widespread woodlands, particularly in mixed landscapes, we documented a higher consumption of wild fruits such as Morus spp., Malus sylvestris, and Prunus spp. The latter was significant in the study area BNM, where a high consumption of these fruits was documented. This is because the well-structured woodlands characterising the area host various Prunus species, including the wild cherry (P. avium) in the arboreal layer, the bird cherry (P. padus) and the blackthorn (P. spinosa) in the shrub layer and along wooded edges. Conversely, fruits from cultivated trees, such as Ficus italica, Mespilus germanica and Vitis vinifera, were mainly consumed in modified landscapes. Grape was particularly prevalent in the badger diet in study area COP, where vineyards constitute the main crop (69.6% of the total surface area).
Moreover, the consumption of fruits by badgers makes them focal elements of the ecosystem: through seed dispersal, they play an important role as ecosystem engineers shaping vegetation diversity [67].
Invertebrates other than earthworms, particularly insects, along with mammals, constituted secondary or accessory food resources primarily consumed in the study areas located in the Po Plain (i.e., BNM, ORB, MON). These food categories serve as alternative animal protein sources to earthworms [61]; indeed, their consumption was negligible in areas where the badger diet was predominantly based on earthworms (i.e., LAR and STA).
Considering mammals, the European badger cannot be considered a skilled predator [68]; it is able to actively prey on smaller species and young individuals of medium-sized species (e.g., rabbit Oryctolagus cuniculus [69,70,71]) in case they are very abundant within a small area and have little ability to escape [19]; conversely, regarding larger species, such as the wild boar, they are consumed as carcasses.
Diel activity patterns are among the most observable and extensively studied aspects of animal ecology. These patterns have been described as sequences of daily routines, which have been shaped by evolution and further refined by the temporal structure of the environment [72].
European badgers have been described as strictly nocturnal animals, with activity beginning in the hours after dusk and ending in the hours before dawn [21]. The results from this study confirmed this trend, as activity in the different study areas was predominantly or exclusively nocturnal, with no daytime activity bouts. Moreover, badger nocturnal activity patterns were not regularly distributed, rather exhibited one main peak (e.g., in LAR, MON, ORB, TID, and STA) or two peaks interspersed with periods of lower activity (e.g., in BNM and COP), similar to what has been observed in other studies [21,22,24,25,27,73].
The primary factors influencing badger activity are weather conditions and food availability [8,25,28,65,74,75]. These factors are intrinsically linked; indeed, the unavailability of food, especially earthworms, caused by harsh conditions during winter is the key factor determining the length of badger winter sleep in northern Europe [65,73].
Compared to other mesocarnivores, the European badger exhibits more consistent activity rhythms across different study areas and seasons [22]. Our results confirmed this pattern, showing little significant seasonal differences within study areas (i.e., BNM and STA) and minimal geographic differences across study areas (i.e., TID vs. other study areas except BNM). The strictly nocturnal routines of badgers are likely influenced only minimally by variations in environmental conditions (i.e., climate and food) at the spatial scale of our study, with more pronounced responses observed on a larger spatial scale [21].
The ability of badgers to adapt their diet and activity to diverse environmental conditions contributes to their widespread and relatively common presence throughout Europe. However, their distribution may be constrained by the availability of suitable sites for sett construction [4].
The setts examined in this research exhibited a diverse array of characteristics, both in terms of their structural attributes, such as the number of entrances and their size, as well as the specific locations where they were found. We did not differentiate between main setts and outliers since our focus was not on reproduction [30]. Considering the variation in the number of entrances and sett sizes we observed, it is likely that we surveyed both types of structures used as diurnal resting sites. Considering the specific locations of the setts, we observed an interesting use of man-made structures, although natural sites remained the most frequently utilised. The setts associated with human-made structures were located in the agricultural study areas (e.g., MON, ORB, and COP), and badgers primarily used disused underground cement pipes as their main entrances. These pipes were situated along ditches next to cultivated fields or adjacent to shrub patches, providing easier entry points for burrowing. Similar use of human structures, including barns and cottages, for diurnal rest has also been reported in Norway [76].
Setts can be found in various habitat types, including open areas [77], but three main factors predominantly influence site selection: soil that is easy to dig, a slope that facilitates water drainage and the removal of excavated material, and dense vegetation cover for protection [68]. Our findings corroborate such a statement; indeed, the most significant variables related to the micro-habitat of the surveyed setts were slope, exposure, brightness, and shrub cover. Moderate-to-steep slopes may be favoured because they require less effort to excavate to a sufficient depth and provide better drainage, helping to keep the interior of the setts dry [34,36]. Similarly, slope exposure was significant; the preference for south, southwest, and southeast-facing slopes likely stems from their greater solar exposure, which leads to milder temperatures and reduced temperature fluctuations [34,76]. Consistently, our results showed significant differences in soil temperatures between sett and control sites. The brightness of a site, which is essentially the amount of light that reaches the ground, is heavily influenced by vegetation, particularly arboreal cover (i.e., trees). Sett sites were characterised by low brightness values, indicating significant arboreal cover. Indeed, wooded patches provide optimal conditions for sett construction [34] offering shelter from human activities [32,78], structural support for sett construction due to the root systems of the trees and abundant suitable material for bedding [33]. It is noteworthy that, despite the high diversity in landscape compositions among the study areas, the shrub layer cover consistently played a crucial role in badger sett site choice. Even more than arboreal cover, shrub cover provides shelter and protection [79], which are particularly important for setts located in modified landscapes, plain areas, and areas with little natural slopes [4,8,68,75]. Moreover, well-structured woodlands, especially deciduous ones, with thick underwood composed of many shrub species, also provide abundant fruits [79], an important food category for the European badger.

5. Conclusions

This study confirmed that European badgers are highly adaptable and able to exploit a wide variety of landscapes, from natural to heavily modified environments, demonstrating flexible behavioural patterns. In mountainous areas, like LAR and STA, badgers primarily consumed earthworms, while in agricultural areas, such as COP, their diet included a higher proportion of fleshy fruits, illustrating their opportunistic feeding behaviour based on food availability. Badger activity was predominantly nocturnal across all study areas, with consistent activity patterns exhibiting either one or two peaks of activity, regardless of seasonal or geographic differences. Considering the sett site choice, we observed an interesting use of man-made structures in agricultural study areas that provided suitable sites alternative to natural ones. In general, the choice of sett sites was influenced by factors such as ease of excavation, the slope for drainage, and dense vegetation for protection.

Supplementary Materials

The following supporting information can be downloaded at: https://www.mdpi.com/article/10.3390/d16100607/s1. Figure S1: Examples of undigested food remains found in analysed faeces. Table S1: Adequacy of the sample size analysed to investigate the diet of the European badger in north-western Italy. Table S2. Diet composition expressed as Mean Percent Volume (VM% ± SE) in each study area in north-western Italy.

Author Contributions

Conceptualization: E.T. and A.M.; data collection: E.T. and A.T.; data analysis: E.T. and A.T.; writing (original draft preparation): E.T. and A.T.; writing (review and editing): E.T. and A.M.; supervision: A.M. All authors have read and agreed to the published version of the manuscript.

Funding

This research received no external funding.

Institutional Review Board Statement

Not applicable.

Data Availability Statement

The data are available upon reasonable request from the corresponding author.

Acknowledgments

We acknowledge Eleonora Frigerio, Giulia Ruffoni, and Erika Bergantin for their collaboration in data collection.

Conflicts of Interest

The authors declare no conflicts of interest.

References

  1. Kranz, A.; Abramov, A.V.; Herrero, J.; Maran, T. Meles meles The IUCN Red List of Threatened Species 2016: E.T29673A45203002; International Union for Conservation of Nature and Natural Resources: Gland, Switzerland, 2016. [Google Scholar]
  2. Kinoshita, E.; Kosintsev, P.A.; Raichev, E.G.; Haukisalmi, V.K.; Kryukov, A.P.; Wiig, Ø.; Abramov, A.V.; Kaneko, Y.; Masuda, R. Molecular Phylogeny of Eurasian Badgers (Meles) around the Distribution Boundaries, Revealed by Analyses of Mitochondrial DNA and Y-Chromosomal Genes. Biochem. Syst. Ecol. 2017, 71, 121–130. [Google Scholar] [CrossRef]
  3. Fung, U.Y.Y.; Carbone, C.; Scott-Gatty, K.; Freeman, R.; Ewers, R.M.; Turner, J. Habitat Suitability as an Indicator of Urbanisation Potential in Four UK Mammals. Mammal Rev. 2024, 54, 105–120. [Google Scholar] [CrossRef]
  4. Piza Roca, C.; La Haye, M.J.J.; Jongejans, E. Environmental Drivers of the Distribution and Density of the European Badger (Meles meles): A Review. Lutra 2014, 57, 87–109. [Google Scholar]
  5. Huck, M.; Davison, J.; Roper, T.J. Predicting European Badger Meles meles Sett Distribution in Urban Environments. Wildl. Biol. 2008, 14, 188–198. [Google Scholar] [CrossRef]
  6. Dondina, O.; Orioli, V.; Chiatante, G.; Meriggi, A.; Bani, L. Species Specialization Limits Movement Ability and Shapes Ecological Networks: The Case Study of 2 Forest Mammals. Curr. Zool. 2019, 65, 237–249. [Google Scholar] [CrossRef]
  7. van Tuijl, C.; van Bochove, K.; de Visser, M. Genetic Structure of Badger Populations in a Fragmented Landscape: How Do Barriers Affect Populations on a Genetic Level? Lutra 2019, 62, 65–76. [Google Scholar]
  8. Rosalino, L.M.; Macdonald, D.W.; Santos-Reis, M. Activity Rhythms, Movements and Patterns of Sett Use by Badgers, Meles meles, in a Mediterranean Woodland. Mammalia 2005, 69, 395–408. [Google Scholar] [CrossRef]
  9. Kruuk, H. Foraging and Spatial Organisation of the European Badger, Meles meles L. Behav. Ecol. Sociobiol. 1978, 4, 75–89. [Google Scholar] [CrossRef]
  10. Kruuk, H.; Parish, T. Feeding Specialization of the European Badger Meles meles in Scotland. J. Anim. Ecol. 1981, 50, 773. [Google Scholar] [CrossRef]
  11. Virgós, E.; Mangas, J.G.; Blanco-Aguiar, J.A.; Garrote, G.; Almagro, N.; Viso, R.P. Food Habits of European Badgers (Meles meles) along an Altitudinal Gradient of Mediterranean Environments: A Field Test of the Earthworm Specialization Hypothesis. Can. J. Zool. 2004, 82, 41–51. [Google Scholar] [CrossRef]
  12. Remonti, L.; Balestrieri, A.; Prigioni, C. Percentage of Protein, Lipids, and Carbohydrates in the Diet of Badger (Meles meles) Populations across Europe. Ecol. Res. 2011, 26, 487–495. [Google Scholar] [CrossRef]
  13. Gomes, D.J.; Wierzbowska, I.A.; Bevanger, K.; O’Mahony, D.T.; Rola, K. Diet of the European Badgers (Meles meles) in Urban and Rural Areas of Norway. Eur. J. Wildl. Res. 2020, 66, 7. [Google Scholar] [CrossRef]
  14. Pigozzi, G. The Diet of the European Badger in a Mediterranean Coastal Area. Acta Theriol. 1991, 36, 293–306. [Google Scholar] [CrossRef]
  15. Melis, C.; Cagnacci, F.; Bargagli, L. Food Habits of the Eurasian Badger in a Rural Mediterranean Area. Z. Jagdwiss. 2002, 48, 236–246. [Google Scholar] [CrossRef]
  16. Balestrieri, A.; Remonti, L.; Prigioni, C. Diet of the Eurasian Badger (Meles meles) in an Agricultural Riverine Habitat (NW Italy). Hystrix 2004, 15, 3–12. [Google Scholar]
  17. Hipólito, D.; Guedes, D.; Cabecinha, D.; Serronha, A.; Grilo, C.; Santos-Reis, M.; Monterroso, P.; Carvalho, J.; Fonseca, C.; Pardavila, X.; et al. Drivers of Sett Site Location by European Badgers in Portugal. Biodivers. Conserv. 2018, 27, 2951–2970. [Google Scholar] [CrossRef]
  18. Roper, T.J. The European Badger Meles meles: Food Specialist or Generalist? J. Zool. 1994, 234, 437–452. [Google Scholar] [CrossRef]
  19. Kruuk, H. The Social Badger: Ecology and Behaviour of a Group-Living Carnivore (Meles meles); Oxford University Press: Oxford, NY, USA, 1989; ISBN 978-0-19-858703-3. [Google Scholar]
  20. Fedriani, J.M.; Ferreras, P.; Delibes, M. Dietary Response of the Eurasian Badger, Meles meles, to a Decline of Its Main Prey in the Doñana National Park. J. Zool. 1998, 245, 214–218. [Google Scholar] [CrossRef]
  21. Monterroso, P.; Alves, P.C.; Ferreras, P. Plasticity in Circadian Activity Patterns of Mesocarnivores in Southwestern Europe: Implications for Species Coexistence. Behav. Ecol. Sociobiol. 2014, 68, 1403–1417. [Google Scholar] [CrossRef]
  22. Torretta, E.; Mosini, A.; Piana, M.; Tirozzi, P.; Serafini, M.; Puopolo, F.; Saino, N.; Balestrieri, A. Time Partitioning in Mesocarnivore Communities from Different Habitats of NW Italy: Insights into Martens’ Competitive Abilities. Behaviour 2017, 154, 241–266. [Google Scholar] [CrossRef]
  23. Curveira-Santos, G.; Marques, T.A.; Björklund, M.; Santos-Reis, M. Mediterranean Mesocarnivores in Spatially Structured Managed Landscapes: Community Organisation in Time and Space. Agric. Ecosyst. Environ. 2017, 237, 280–289. [Google Scholar] [CrossRef]
  24. Barros, A.L.; Raposo, D.; Almeida, J.D.; Jesus, H.; Oliveira, M.A.; Fernandes, C.R.; MacKenzie, D.I.; Santos-Reis, M. An Integrated Assessment of Niche Partitioning Reveals Mechanisms of Coexistence between Mesocarnivores. Glob. Ecol. Conserv. 2024, 54, e03116. [Google Scholar] [CrossRef]
  25. François, L. Long-Term Monitoring of Activities of Badgers (Meles meles L.) in a Broadleaved Forest in France. Eur. J. Wildl. Res. 2021, 67, 8. [Google Scholar] [CrossRef]
  26. Caravaggi, A.; Gatta, M.; Vallely, M.-C.; Hogg, K.; Freeman, M.; Fadaei, E.; Dick, J.T.A.; Montgomery, W.I.; Reid, N.; Tosh, D.G. Seasonal and Predator-Prey Effects on Circadian Activity of Free-Ranging Mammals Revealed by Camera Traps. PeerJ 2018, 6, e5827. [Google Scholar] [CrossRef] [PubMed]
  27. Kowalczyk, R.; Jȩdrzejewska, B.; Zalewski, A. Annual and Circadian Activity Patterns of Badgers (Meles meles) in Białowieża Primeval Forest (Eastern Poland) Compared with Other Palaearctic Populations. J. Biogeogr. 2003, 30, 463–472. [Google Scholar] [CrossRef]
  28. Elliott, S.; O’Brien, J.; Hayden, T.J. Impact of Human Land Use Patterns and Climatic Variables on Badger (Meles meles) Foraging Behaviour in Ireland. Mamm. Res. 2015, 60, 331–342. [Google Scholar] [CrossRef]
  29. Balestrieri, A.; Remonti, L.; Prigioni, C. Habitat Selection in a Low-density Badger Meles meles Population: A Comparison of Radio-tracking and Latrine Surveys. Wildl. Biol. 2009, 15, 442–448. [Google Scholar] [CrossRef]
  30. Roper, T.J.; Ostler, J.R.; Schmid, T.K.; Christian, S.F. Sett Use in European Badgers Meles meles. Behaviour 2001, 138, 173–187. [Google Scholar] [CrossRef]
  31. Kruuk, H. Spatial Organization and Territorial Behaviour of the European Badger Meles meles. J. Zool. 1978, 184, 1–19. [Google Scholar] [CrossRef]
  32. Virgós, E.; Casanovas, J.G. Badger Meles meles Sett Site Selection in Low Density Mediterranean Areas of Central Spain. Acta Theriol. 1999, 44, 173–182. [Google Scholar] [CrossRef]
  33. Prigioni, C.; Deflorian, M.C. Sett Site Selection by the Eurasian Badger (Meles meles) in an Italian Alpine Area. Ital. J. Zool. 2005, 72, 43–48. [Google Scholar] [CrossRef]
  34. Macdonald, D.W.; Newman, C.; Dean, J.; Buesching, C.D.; Johnson, P.J. The Distribution of Eurasian Badger, Meles meles, Setts in a High-density Area: Field Observations Contradict the Sett Dispersion Hypothesis. Oikos 2004, 106, 295–307. [Google Scholar] [CrossRef]
  35. Remonti, L.; Balestrieri, A.; Prigioni, C. Factors Determining Badger Meles meles Sett Location in Agricultural Ecosystems of NW Italy. Folia Zool. 2006, 55, 19–27. [Google Scholar]
  36. Reid, N.; Etherington, T.R.; Wilson, G.J.; Montgomery, W.I.; McDonald, R.A. Monitoring and Population Estimation of the European Badger Meles meles in Northern Ireland. Wildl. Biol. 2012, 18, 46–57. [Google Scholar] [CrossRef]
  37. Barabesi, L.; Fattorini, L. Random versus Stratified Location of Transects or Points in Distance Sampling: Theoretical Results and Practical Considerations. Environ. Ecol. Stat. 2013, 20, 215–236. [Google Scholar] [CrossRef]
  38. Kelly, M.J.; Holub, E.L. Camera Trapping of Carnivores: Trap Success among Camera Types and across Species, and Habitat Selection by Species, on Salt Pond Mountain, Giles County, Virginia. Northeast. Nat. 2008, 15, 249–262. [Google Scholar] [CrossRef]
  39. Torretta, E.; Serafini, M.; Puopolo, F.; Schenone, L. Spatial and Temporal Adjustments Allowing the Coexistence among Carnivores in Liguria (N-W Italy). Acta Ethol. 2016, 19, 123–132. [Google Scholar] [CrossRef]
  40. Kruuk, H.; Gorman, M.; Leitch, A. Scent-Marking with the Subcaudal Gland by the European Badger, Meles meles L. Anim. Behav. 1984, 32, 899–907. [Google Scholar] [CrossRef]
  41. Teerink, B.J. Hair of West-European Mammals: Atlas and Identification Key; Cambridge University Press: Cambridge, UK, 1991. [Google Scholar]
  42. De Marinis, A.M.; Asprea, A. Hair Identification Key of Wild and Domestic Ungulates from Southern Europe. Wildl. Biol. 2006, 12, 305–320. [Google Scholar] [CrossRef]
  43. Brunner, H.; Coman, B.J. The Identification of Mammalian Hair; Inkata Press: Melbourne, Australia, 1974. [Google Scholar]
  44. Amori, G.; Contoli, L.; Nappi, A. Fauna d’Italia: Mammalia. 2: Erinaceomorpha, Soricomorpha, Lagomorpha, Rodentia, 1st ed.; Calderini: Milano, Italy, 2008; ISBN 978-88-506-5302-7. [Google Scholar]
  45. Dove, C.J.; Koch, S. Microscopy of Feathers: A Practical Guide for Forensic Feather Identification. Microscope 2011, 59, 51. [Google Scholar]
  46. Bellmann, H. A Field Guide to the Grasshoppers and Crickets of Britain and Northern Europe; Collins: London, UK, 1988; ISBN 978-0-00-219852-3. [Google Scholar]
  47. Bellmann, H. Guida Agli Insetti d’Europa; Ricca Editore: Roma, Italy, 2019; ISBN 978-88-6694-060-9. [Google Scholar]
  48. Chinery, M.; Riley, G.; Ovenden, D.; Hargreaves, B. Insects of Britain and Northern Europe, 3rd ed.; H. Collins: London, UK; Glasgow, NY, USA, 1993; ISBN 978-0-00-219918-6. [Google Scholar]
  49. Hipólito, D.; Santos-Reis, M.; Rosalino, L.M. Can Cattle Ranching and Game Activities Shape European Badger (Meles meles, L. 1758) Diet: Evidences from Southwestern Europe. Wildl. Biol. Pract. 2016, 12, 347. [Google Scholar] [CrossRef]
  50. Brillouin, L. Science and Information Theory, 2nd ed.; Dover Publications: Mineola, NY, USA, 2004; ISBN 978-0-486-43918-1. [Google Scholar]
  51. Anderson, M.J. A New Method for Non-parametric Multivariate Analysis of Variance. Austral. Ecol. 2001, 26, 32–46. [Google Scholar] [CrossRef]
  52. Kruskal, W.H.; Wallis, W.A. Use of Ranks in One-Criterion Variance Analysis. J. Am. Stat. Assoc. 1952, 47, 583–621. [Google Scholar] [CrossRef]
  53. Dunn, O.J. Multiple Comparisons Using Rank Sums. Technometrics 1964, 6, 241–252. [Google Scholar] [CrossRef]
  54. Feinsinger, P.; Spears, E.E.; Poole, R.W. A Simple Measure of Niche Breadth. Ecology 1981, 62, 27–32. [Google Scholar] [CrossRef]
  55. Ridout, M.S.; Linkie, M. Estimating Overlap of Daily Activity Patterns from Camera Trap Data. JABES 2009, 14, 322–337. [Google Scholar] [CrossRef]
  56. Lashley, M.A.; Cove, M.V.; Chitwood, M.C.; Penido, G.; Gardner, B.; DePerno, C.S.; Moorman, C.E. Estimating Wildlife Activity Curves: Comparison of Methods and Sample Size. Sci. Rep. 2018, 8, 4173. [Google Scholar] [CrossRef] [PubMed]
  57. Lund, U.; Agostinelli, C.; Agostinelli, M.C. Package “Circular.” Repository CRAN 2017. Available online: https://cran.r-project.org/web/packages/circular/circular.pdf (accessed on 31 July 2024).
  58. Pewsey, A.; Neuhäuser, M.; Ruxton, G.D. Circular Statistics in R, 1st ed.; Oxford University Press: Oxford, NY, USA, 2013; ISBN 978-0-19-967113-7. [Google Scholar]
  59. Wilcoxon, F. Individual Comparisons by Ranking Methods. Biom. Bull. 1945, 1, 80. [Google Scholar] [CrossRef]
  60. Boyce, M.S. Scale for Resource Selection Functions. Divers. Distrib. 2006, 12, 269–276. [Google Scholar] [CrossRef]
  61. Balestrieri, A.; Remonti, L.; Prigioni, C. Exploitation of Food Resources by the Eurasian Badger (Meles meles) at the Altitudinal Limit of Its Alpine Range (NW Italy). Zool. Sci. 2009, 26, 821–827. [Google Scholar] [CrossRef]
  62. Boesi, R.; Biancardi, C. Diet of the Eurasian Badger Meles meles (Linnaeus, 1758) in the Natural Reserve of Lago Di Piano, Northern Italy. Mamm. Biol. 2002, 67, 120–125. [Google Scholar] [CrossRef]
  63. Marassi, M.; Biancardi, C.M. Diet of the Eurasian Badger (Meles meles) in an Area of the Italian Prealps. Hystrix 2002, 13, 19–28. [Google Scholar]
  64. Prigioni, C.; Balestrieri, A.; Remonti, L.; Cavada, L. Differential Use of Food and Habitat by Sympatric Carnivores in the Eastern Italian Alps. Ital. J. Zool. 2008, 75, 173–184. [Google Scholar] [CrossRef]
  65. Kowalczyk, R.; Zalewski, A.; Jȩdrzejewska, B.; Jȩdrzejewski, W. Spatial Organization and Demography of Badgers (Meles meles) in Białowieża Primeval Forest, Poland, and the Influence of Earthworms on Badger Densities in Europe. Can. J. Zool. 2003, 81, 74–87. [Google Scholar] [CrossRef]
  66. Opute, P.A.; Maboeta, M.S. A Review of the Impact of Extreme Environmental Factors on Earthworm Activities and the Feedback on the Climate. Appl. Ecol. Environ. Res. 2022, 20, 3277–3297. [Google Scholar] [CrossRef]
  67. Kurek, P.; Piechnik, Ł.; Wiatrowska, B.; Ważna, A.; Nowakowski, K.; Pardavila, X.; Cichocki, J.; Seget, B. Badger Meles meles as Ecosystem Engineer and Its Legal Status in Europe. Animals 2022, 12, 898. [Google Scholar] [CrossRef]
  68. Neal, E.G. The Natural History of Badgers; Facts on File: New York, NY, USA, 1986; ISBN 978-0-8160-1409-5. [Google Scholar]
  69. Martín, R.; Rodríguez, A.; Delibes, M. Local Feeding Specialization by Badgers (Meles meles) in a Mediterranean Environment. Oecologia 1995, 101, 45–50. [Google Scholar] [CrossRef]
  70. Barea-Azcón, J.M.; Ballesteros-Duperón, E.; Gil-Sánchez, J.M.; Virgós, E. Badger Meles meles Feeding Ecology in Dry Mediterranean Environments of the Southwest Edge of Its Distribution Range. Acta Theriol. 2010, 55, 45–52. [Google Scholar] [CrossRef]
  71. Balestrieri, A.; Remonti, L.; Saino, N.; Raubenheimer, D. The “Omnivorous Badger Dilemma”: Towards an Integration of Nutrition with the Dietary Niche in Wild Mammals. Mamm. Rev. 2019, 49, 324–339. [Google Scholar] [CrossRef]
  72. Halle, S.; Stenseth, N.C. Activity Patterns in Small Mammals an Ecological Approach: An Ecological Approach; Springer: New York, NY, USA, 2000; ISBN 978-3-540-59244-0. [Google Scholar]
  73. Goszczyński, J.; Juszko, S.; Pacia, A.; Skoczyńska, J. Activity of Badgers (Meles meles) in Central Poland. Mamm. Biol. 2005, 70, 1–11. [Google Scholar] [CrossRef]
  74. Cresswell, W.J.; Harris, S. The Effects of Weather Conditions on the Movements and Activity of Badgers (Meles meles) in a Suburban Environment. J. Zool. 1988, 216, 187–194. [Google Scholar] [CrossRef]
  75. Do Linh San, E.; Ferrari, N.; Weber, J.-M. Spatio-Temporal Ecology and Density of Badgers Meles meles in the Swiss Jura Mountains. Eur. J. Wildl. Res. 2007, 53, 265–275. [Google Scholar] [CrossRef]
  76. Brøseth, H.; Bevanger, K.; Knutsen, B. Function of Multiple Badger Meles meles Setts: Distribution and Utilisation. Wildl. Biol. 1997, 3, 89–96. [Google Scholar] [CrossRef]
  77. Kurek, P.; Wiatrowska, B.; Ważna, A.; Vink, H. Setts of European Badger Meles meles in Open Habitats: Trend or Exception? Mamm. Rev. 2024. early view. [Google Scholar] [CrossRef]
  78. Weber, J.-M.; Ferrari, N. Badger Meles meles Setts in the Swiss Jura Mountains: Characteristics and Utilization Patterns. Rev. Suisse Zool. 2005, 112, 677–687. [Google Scholar] [CrossRef]
  79. Revilla, E.; Palomares, F.; Fernández, N. Characteristics, Location and Selection of Diurnal Resting Dens by Eurasian Badgers (Meles meles) in a Low Density Area. J. Zool. 2001, 255, 291–299. [Google Scholar] [CrossRef]
Figure 1. Location of the study areas and land cover types (derived from Corine Land Cover 2018) characterizing the portion of north-western Italy encompassing the study areas: LAR = Triangolo Lariano; BNM = Boschi Negri e Moriano; MON = Basso Monferrato; ORB = Torrente Orba; COP = Colline Oltrepò Pavese; TID = Val Tidone; STA = Valle Staffora.
Figure 1. Location of the study areas and land cover types (derived from Corine Land Cover 2018) characterizing the portion of north-western Italy encompassing the study areas: LAR = Triangolo Lariano; BNM = Boschi Negri e Moriano; MON = Basso Monferrato; ORB = Torrente Orba; COP = Colline Oltrepò Pavese; TID = Val Tidone; STA = Valle Staffora.
Diversity 16 00607 g001
Figure 2. Food habits of the European badger expressed as Mean Percent Volume (VM% ± SE) in the different study areas in north-western Italy: LAR = Triangolo Lariano; BNM = Boschi Negri e Moriano; MON = Basso Monferrato; ORB = Torrente Orba; COP = Colline Oltrepò Pavese; TID = Val Tidone; STA = Valle Staffora.
Figure 2. Food habits of the European badger expressed as Mean Percent Volume (VM% ± SE) in the different study areas in north-western Italy: LAR = Triangolo Lariano; BNM = Boschi Negri e Moriano; MON = Basso Monferrato; ORB = Torrente Orba; COP = Colline Oltrepò Pavese; TID = Val Tidone; STA = Valle Staffora.
Diversity 16 00607 g002
Figure 3. Breadth of the diet of the European badger measured by the normalised Levins’ B index (B) in the different study areas in north-western Italy: LAR = Triangolo Lariano; BNM = Boschi Negri e Moriano; MON = Basso Monferrato; ORB = Torrente Orba; COP = Colline Oltrepò Pavese; TID = Val Tidone; STA = Valle Staffora.
Figure 3. Breadth of the diet of the European badger measured by the normalised Levins’ B index (B) in the different study areas in north-western Italy: LAR = Triangolo Lariano; BNM = Boschi Negri e Moriano; MON = Basso Monferrato; ORB = Torrente Orba; COP = Colline Oltrepò Pavese; TID = Val Tidone; STA = Valle Staffora.
Diversity 16 00607 g003
Figure 4. The diel activity patterns of the European badger in the different study areas in north-western Italy: LAR = Triangolo Lariano; BNM = Boschi Negri e Moriano; MON = Basso Monferrato; ORB = Torrente Orba; COP = Colline Oltrepò Pavese; TID = Val Tidone; STA = Valle Staffora.
Figure 4. The diel activity patterns of the European badger in the different study areas in north-western Italy: LAR = Triangolo Lariano; BNM = Boschi Negri e Moriano; MON = Basso Monferrato; ORB = Torrente Orba; COP = Colline Oltrepò Pavese; TID = Val Tidone; STA = Valle Staffora.
Diversity 16 00607 g004
Figure 5. Size (a) and location (b) of setts of the European badger in north-western Italy.
Figure 5. Size (a) and location (b) of setts of the European badger in north-western Italy.
Diversity 16 00607 g005
Figure 6. Significant differences in micro-habitat characteristics between European badger setts and control sites in north-western Italy, as assessed by the Wilcoxon signed-rank test for paired data.
Figure 6. Significant differences in micro-habitat characteristics between European badger setts and control sites in north-western Italy, as assessed by the Wilcoxon signed-rank test for paired data.
Diversity 16 00607 g006
Table 1. Sampling grids used for camera trapping in each study area in north-western Italy: LAR = Triangolo Lariano; BNM = Boschi Negri e Moriano; MON = Basso Monferrato; ORB = Torrente Orba; COP = Colline Oltrepò Pavese; TID = Val Tidone; STA = Valle Staffora.
Table 1. Sampling grids used for camera trapping in each study area in north-western Italy: LAR = Triangolo Lariano; BNM = Boschi Negri e Moriano; MON = Basso Monferrato; ORB = Torrente Orba; COP = Colline Oltrepò Pavese; TID = Val Tidone; STA = Valle Staffora.
Study AreaN° of Sample SquaresTotal Area (km2)
LAR920.25
BNM1227.00
MON920.25
ORB818.00
COP818.00
TID920.25
STA818.00
Table 2. Variables measured at sett and control sites used to analyse badger sett site selection in north-western Italy.
Table 2. Variables measured at sett and control sites used to analyse badger sett site selection in north-western Italy.
VariableDescription
ExposureThe direction in which the site faces (degrees)
ElevationThe height of the site above the sea level (meters)
SlopeThe angle of the site relative to the horizontal plane (degrees)
BrightnessThe brightness of the site at 0 cm, 60 cm, and 150 cm (lux)
Air temperatureDifference between the air temperature in open air and the air temperature of the site (Celsius)
Soil temperatureDifference between the soil temperature in open air and the soil temperature of the site (Celsius)
WaterNearest distance of the site from water sources (e.g., streams, canals, ponds) (meters)
MeadowNearest distance of the site from meadows or grasslands (meters)
Cultivated landNearest distance of the site from cultivated lands (meters)
WoodlandNearest distance of the site from woodlands (meters)
UrbanNearest distance of the site from human settlements (meters)
Vegetation coverNumber of visible marks on a graduated staff, positioned at the centre of the plot, observed from each cardinal point (north, south, east, and west) at a distance of 5 m (mean number).
Litter _ ThicknessMean value of litter thickness measured at 10 random points within the plot (centimetres)
Litter CoverEstimate percentage of ground covered by litter within the plot (%)
Grass HeightMean height of herbaceous vegetation measured at 10 random points within the plot (centimetres)
Grass CoverEstimate percentage of ground covered by herbaceous vegetation within the plot (%)
Shrub HeightMean height of shrub vegetation categorised into three classes: short (under one meter), medium (one to two meters), tall (over two meters) measured at 10 random points within the plot (meters)
Shrub CoverEstimate percentage of ground covered by shrub vegetation within the plot (%)
TreeMean value of trunk circumference (at 150 cm from the ground) measured for 10 random trees within the plot (centimetres)
Table 3. Number of European badger faeces collected in each study area in north-western Italy: LAR = Triangolo Lariano; BNM = Boschi Negri e Moriano; MON = Basso Monferrato; ORB = Torrente Orba; COP = Colline Oltrepò Pavese; TID = Val Tidone; STA = Valle Staffora.
Table 3. Number of European badger faeces collected in each study area in north-western Italy: LAR = Triangolo Lariano; BNM = Boschi Negri e Moriano; MON = Basso Monferrato; ORB = Torrente Orba; COP = Colline Oltrepò Pavese; TID = Val Tidone; STA = Valle Staffora.
Study AreaWarm SeasonCold SeasonTotal
LAR40141
BNM101727
MON131326
ORB16218
COP271037
TID16723
STA391251
Table 4. Differences in food categories consumption in north-western Italy: significant post hoc pairwise comparisons between study areas (LAR = Triangolo Lariano; BNM = Boschi Negri e Moriano; MON = Basso Monferrato; ORB = Torrente Orba; COP = Colline Oltrepò Pavese; TID = Val Tidone; STA = Valle Staffora).
Table 4. Differences in food categories consumption in north-western Italy: significant post hoc pairwise comparisons between study areas (LAR = Triangolo Lariano; BNM = Boschi Negri e Moriano; MON = Basso Monferrato; ORB = Torrente Orba; COP = Colline Oltrepò Pavese; TID = Val Tidone; STA = Valle Staffora).
Study AreasFX2p
BNM-ORB25.550.370.001
BNM-LAR15.320.230.001
BNM-LAR111.120.630.001
BNM-STA103.420.580.001
BNM-TID10.200.170.001
ORB-COP13.510.200.001
ORB-LAR9.510.140.001
COP-LAR62.890.450.001
COP-STA57.000.400.001
MON-LAR23.680.270.001
MON-STA17.480.190.001
LAR-TID23.220.270.001
STA-TID18.450.200.001
Table 5. Number of European badger camera-trapping events recorded in each study area in north-western Italy: LAR = Triangolo Lariano; BNM = Boschi Negri e Moriano; MON = Basso Monferrato; ORB = Torrente Orba; COP = Colline Oltrepò Pavese; TID = Val Tidone; STA = Valle Staffora.
Table 5. Number of European badger camera-trapping events recorded in each study area in north-western Italy: LAR = Triangolo Lariano; BNM = Boschi Negri e Moriano; MON = Basso Monferrato; ORB = Torrente Orba; COP = Colline Oltrepò Pavese; TID = Val Tidone; STA = Valle Staffora.
Study AreaWarm SeasonCold SeasonTotal
LAR6740107
BNM7470144
MON11121132
ORB11351164
COP513182
TID7689165
STA4465109
Table 6. Non-uniformity of the European badger diel activity patterns verified by Watson’s test (U2) in the different study areas in north-western Italy: LAR = Triangolo Lariano; BNM = Boschi Negri e Moriano; MON = Basso Monferrato; ORB = Torrente Orba; COP = Colline Oltrepò Pavese; TID = Val Tidone; STA = Valle Staffora.
Table 6. Non-uniformity of the European badger diel activity patterns verified by Watson’s test (U2) in the different study areas in north-western Italy: LAR = Triangolo Lariano; BNM = Boschi Negri e Moriano; MON = Basso Monferrato; ORB = Torrente Orba; COP = Colline Oltrepò Pavese; TID = Val Tidone; STA = Valle Staffora.
Study AreaU2p
LAR2.82<0.010
BNM3.82<0.010
MON3.27<0.010
ORB3.74<0.010
COP2.02<0.010
TID5.59<0.010
STA2.73<0.010
Table 7. Differences in diel activity patterns of the European badger in north-western Italy: significant post hoc pairwise comparisons between study areas (LAR = Triangolo Lariano; BNM = Boschi Negri e Moriano; MON = Basso Monferrato; ORB = Torrente Orba; COP = Colline Oltrepò Pavese; TID = Val Tidone; STA = Valle Staffora).
Table 7. Differences in diel activity patterns of the European badger in north-western Italy: significant post hoc pairwise comparisons between study areas (LAR = Triangolo Lariano; BNM = Boschi Negri e Moriano; MON = Basso Monferrato; ORB = Torrente Orba; COP = Colline Oltrepò Pavese; TID = Val Tidone; STA = Valle Staffora).
Study AreasTwo-Sample U2p
LAR-TID0.45<0.001
MON-TID0.54<0.001
ORB-TID0.57<0.001
COP-TID0.67<0.001
STA-TID0.40<0.001
Table 8. Results of the logistic regression model for paired data (sett sites vs. control sites) describing European badger sett sites in north-western Italy.
Table 8. Results of the logistic regression model for paired data (sett sites vs. control sites) describing European badger sett sites in north-western Italy.
VariableBESpeβ
Slope3.3791.4080.01629.329
Vegetation Cover−0.6640.5040.1880.515
Grass Height−2.2031.4710.1340.110
LR = 35.23; df = 3; p < 0.001
Disclaimer/Publisher’s Note: The statements, opinions and data contained in all publications are solely those of the individual author(s) and contributor(s) and not of MDPI and/or the editor(s). MDPI and/or the editor(s) disclaim responsibility for any injury to people or property resulting from any ideas, methods, instructions or products referred to in the content.

Share and Cite

MDPI and ACS Style

Torretta, E.; Tortini, A.; Meriggi, A. Ecological Adjustments and Behavioural Patterns of the European Badger in North-Western Italy. Diversity 2024, 16, 607. https://doi.org/10.3390/d16100607

AMA Style

Torretta E, Tortini A, Meriggi A. Ecological Adjustments and Behavioural Patterns of the European Badger in North-Western Italy. Diversity. 2024; 16(10):607. https://doi.org/10.3390/d16100607

Chicago/Turabian Style

Torretta, Elisa, Alessia Tortini, and Alberto Meriggi. 2024. "Ecological Adjustments and Behavioural Patterns of the European Badger in North-Western Italy" Diversity 16, no. 10: 607. https://doi.org/10.3390/d16100607

APA Style

Torretta, E., Tortini, A., & Meriggi, A. (2024). Ecological Adjustments and Behavioural Patterns of the European Badger in North-Western Italy. Diversity, 16(10), 607. https://doi.org/10.3390/d16100607

Note that from the first issue of 2016, this journal uses article numbers instead of page numbers. See further details here.

Article Metrics

Back to TopTop