Exploring the Drivers of Spatiotemporal Patterns in Fish Community in a Non-Fed Aquaculture Reservoir
Abstract
1. Introduction
2. Materials and Methods
2.1. Study Area
2.2. Hydroacoustic Surveys
2.3. Plankton Collection and Water Quality Monitoring
2.4. Data Processing and Analysis
3. Results
3.1. Spatial and Temporal Variations of Water Quality
3.2. Spatiotemporal Patterns in Fish Community
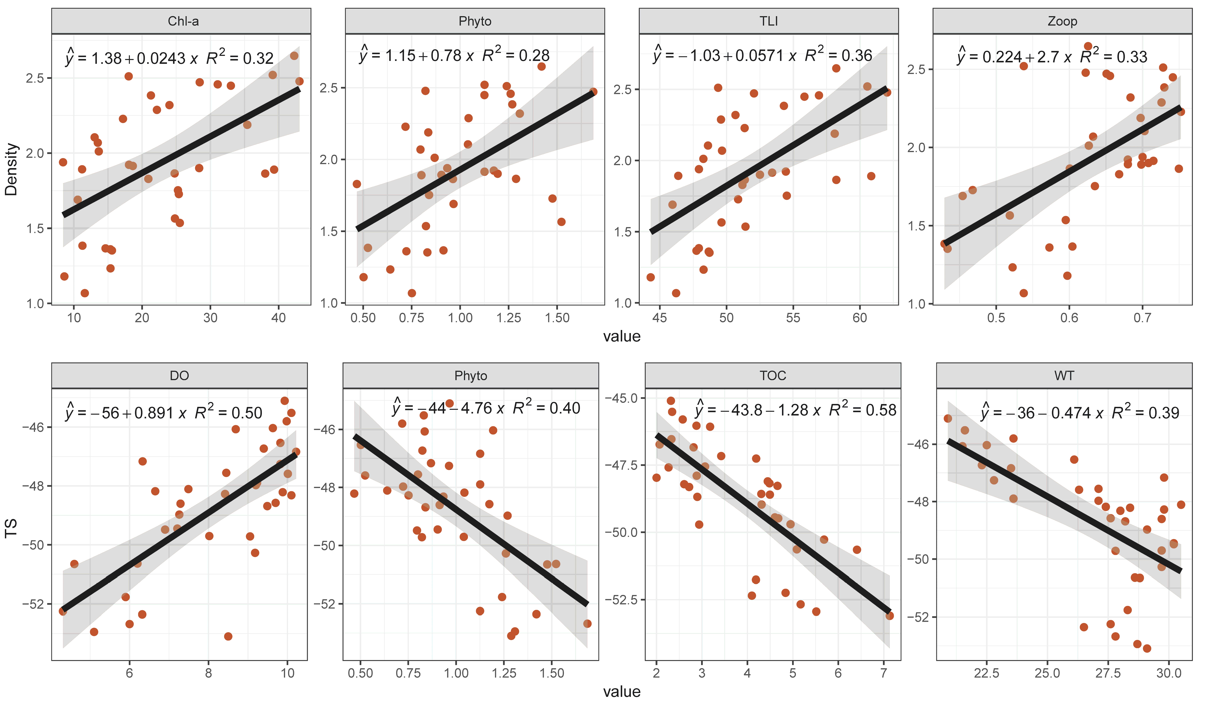
3.3. Relationships between Environmental Conditions and Fish Community
4. Discussion
5. Conclusions
Supplementary Materials
Author Contributions
Funding
Institutional Review Board Statement
Data Availability Statement
Acknowledgments
Conflicts of Interest
References
- Ramírez, F.; Afán, I.; Tavecchia, G.; Catalán, I.A.; Oro, D.; Sanz-Aguilar, A. Oceanographic drivers and mistiming processes shape breeding success in a seabird. Proc. R. Soc. B Boil. Sci. 2016, 283, 20152287. [Google Scholar] [CrossRef]
- Shuter, B.J.; Finstad, A.G.; Helland, I.P.; Zweimüller, I.; Hölker, F. The role of winter phenology in shaping the ecology of freshwater fish and their sensitivities to climate change. Aquat. Sci. 2012, 74, 637–657. [Google Scholar] [CrossRef]
- Abrahms, B.; Aikens, E.O.; Armstrong, J.B.; Deacy, W.W.; Kauffman, M.J.; Merkle, J.A. Emerging perspectives on resource tracking and animal movement ecology. Trends Ecol. Evol. 2021, 36, 308–320. [Google Scholar] [CrossRef] [PubMed]
- Teixeira-De Mello, F.; Meerhoff, M.; Pekcan-Hekim, Z.; Jeppesen, E. Substantial differences in littoral fish community structure and dynamics in subtropical and temperate shallow lakes. Freshw. Biol. 2009, 54, 1202–1215. [Google Scholar] [CrossRef]
- Van Hullebusch, E.; Deluchat, V.; Chazal, P.M.; Baudu, M. Environmental impact of two successive chemical treatments in a small shallow eutrophied lake: Part II. Case of copper sulfate. Environ. Pollut. 2002, 120, 627–634. [Google Scholar] [CrossRef]
- Jenny, J.-P.; Normandeau, A.; Francus, P.; Taranu, Z.E.; Gregory-Eaves, I.; Lapointe, F.; Jautzy, J.; Ojala, A.E.K.; Dorioz, J.-M.; Schimmelmann, A.; et al. Urban point sources of nutrients were the leading cause for the historical spread of hypoxia across European lakes. Proc. Natl. Acad. Sci. USA 2016, 113, 12655–12660. [Google Scholar] [CrossRef]
- Villanueva, M.C.; Ouedraogo, M.; Moreau, J. Trophic relationships in the recently impounded Bagré reservoir in Burkina Faso. Ecol. Model. 2006, 191, 243–259. [Google Scholar] [CrossRef]
- Jha, B.R.; Waidbacher, H.; Sharma, S.; Straif, M. Study of agricultural impacts through fish base variables in different rivers. Int. J. Environ. Sci. Technol. 2010, 7, 609–615. [Google Scholar] [CrossRef]
- Power, M.E.; Stout, R.J.; Cushing, C.E.; Harper, P.P.; Hauer, F.R.; Matthews, W.J.; Moyle, P.B.; Statzner, B. Biotic and Abiotic Controls in River and Stream Communities. J. N. Am. Benthol. Soc. 1988, 7, 456–479. [Google Scholar] [CrossRef]
- Costa-Pierce, B.A. Sustainable ecological aquaculture systems: The need for a new social contract for aquaculture development. Mar. Technol. Soc. J. 2010, 44, 88–112. [Google Scholar] [CrossRef]
- Suplicy, F.M. A review of the multiple benefits of mussel farming. Rev. Aquac. 2020, 12, 204–223. [Google Scholar] [CrossRef]
- Barrett, L.T.; Theuerkauf, S.J.; Rose, J.M.; Alleway, H.K.; Bricker, S.B.; Parker, M.; Petrolia, D.R.; Jones, R.C. Sustainable growth of non-fed aquaculture can generate valuable ecosystem benefits. Ecosyst. Serv. 2022, 53, 101396. [Google Scholar] [CrossRef]
- Beck, M.W.; Brumbaugh, R.D.; Airoldi, L.; Carranza, A.; Coen, L.D.; Crawford, C.; Defeo, O.; Edgar, G.J.; Hancock, B.; Kay, M.C.; et al. Oyster Reefs at Risk and Recommendations for Conservation, Restoration, and Management. Bioscience 2011, 61, 107–116. [Google Scholar] [CrossRef]
- Orth, R.J.; Carruthers, T.J.B.; Dennison, W.C.; Duarte, C.M.; Fourqurean, J.W.; Heck, K.L.; Hughes, A.R.; Kendrick, G.A.; Kenworthy, W.J.; Olyarnik, S.; et al. A global crisis for seagrass ecosystems. Bioscience 2006, 56, 987–996. [Google Scholar] [CrossRef]
- Naylor, R.L.; Hardy, R.W.; Buschmann, A.H.; Bush, S.R.; Cao, L.; Klinger, D.H.; Little, D.C.; Lubchenco, J.; Shumway, S.E.; Troell, M. A 20-year retrospective review of global aquaculture. Nature 2021, 591, 551–563. [Google Scholar] [CrossRef] [PubMed]
- Arthur, R.I.; Lorenzen, K.; Homekingkeo, P.; Sidavong, K.; Sengvilaikham, B.; Garaway, C.J. Assessing impacts of introduced aquaculture species on native fish communities: Nile tilapia and major carps in SE Asian freshwaters. Aquaculture 2010, 299, 81–88. [Google Scholar] [CrossRef]
- Ribeiro, J.; Bentes, L.; Coelho, R.; Gonçalves, J.M.; Lino, P.G.; Monteiro, P.; Erzini, K. Seasonal, tidal and diurnal changes in fish assemblages in the Ria Formosa lagoon (Portugal). Estuar. Coast. Shelf Sci. 2006, 67, 461–474. [Google Scholar] [CrossRef]
- Rahman, M.; Verdegem, M.; Nagelkerke, L.; Wahab, M.; Milstein, A.; Verreth, J. Growth, production and food preference of rohu Labeo rohita (H.) in monoculture and in polyculture with common carp Cyprinus carpio (L.) under fed and non-fed ponds. Aquaculture 2006, 257, 359–372. [Google Scholar] [CrossRef]
- Silvano, R.A.M.; do Amaral, B.D.; Oyakawa, O.T. Spatial and temporal patterns of diversity and distribution of the Upper Jurua River fish community (Brazilian Amazon). Environ. Biol. Fishes 2000, 57, 25–35. [Google Scholar] [CrossRef]
- Maureaud, A.; Hodapp, D.; Van Denderen, P.D.; Hillebrand, H.; Gislason, H.; Spaanheden Dencker, T.; Beukhof, E.; Lindegren, M. Biodiversity-ecosystem functioning relationships in fish communities: Biomass is related to evenness and the environment, not to species richness. Proc. R. Soc. B Biol. Sci. 2019, 286, 20191189. [Google Scholar] [CrossRef]
- Eisenhauer, N.; Schielzeth, H.; Barnes, A.D.; Barry, K.E.; Bonn, A.; Brose, U.; Bruelheide, H.; Buchmann, N.; Buscot, F.; Ebeling, A.; et al. A multitrophic perspective on biodiversity-ecosystem functioning research. In Mechanisms Underlying the Relationship between Biodiversity and Ecosystem Function; Academic Press: Cambridge, MA, USA, 2019; Volume 61, pp. 1–54. [Google Scholar]
- Wheeland, L.J.; Rose, G.A. Acoustic measures of lake community size spectra. Can. J. Fish. Aquat. Sci. 2016, 73, 557–564. [Google Scholar] [CrossRef]
- Guillard, J.; Lebourges-Daussy, A.; Balk, H.; Colon, M.; Jóźwik, A.; Godlewska, M. Comparing hydroacoustic fish stock estimates in the pelagic zone of temperate deep lakes using three sound frequencies (70, 120, 200 kHz). Inland Waters 2014, 4, 435–444. [Google Scholar] [CrossRef]
- Simmonds, E.J.; MacLennan, D.N. Fisheries Acoustics. Theory and Practice; Blackwell: Oxford, UK, 2005. [Google Scholar]
- Reynolds, E.M.; Cowan, J.H.; Lewis, K.A.; Simonsen, K.A. Method for estimating relative abundance and species composition around oil and gas platforms in the northern Gulf of Mexico, USA. Fish. Res. 2018, 201, 44–55. [Google Scholar] [CrossRef]
- Elliott, J.M.; Fletcher, J.M. A comparison of three methods for assessing the abundance of Arctic charr, Salvelinus alpinus, in Windermere (northwest England). Fish. Res. 2001, 53, 39–46. [Google Scholar] [CrossRef]
- Cheng, P.; Bao, X.; Jiao, Y.; Zhang, X.; Li, Q.; Gu, S. Evaluation of the Potential Release Risk of Internal N and P from Sediments-A Preliminary Study in Two Freshwater Reservoirs in South China. Water 2022, 14, 664. [Google Scholar] [CrossRef]
- Luo, B.; Zhou, X.; Zhang, C.; Bao, J.; Mei, F.; Lian, Y.; Zhang, D.; Hu, S.; Guo, L.; Duan, M. Hydroacoustic survey on fish spatial distribution in the early impoundment stage of Yuwanghe Reservoir in southwest China. Front. Mar. Sci. 2023, 10, 188. [Google Scholar] [CrossRef]
- Zhou, L.; Han, Y.; Wang, D.; Li, Y.; Huang, X.; He, A. Comparison of fungal community composition within different intestinal segments of tilapia and bighead carp. J. Oceanol. Limnol. 2021, 39, 1961–1971. [Google Scholar] [CrossRef]
- Rahmani, H.; Shokri, M.; Janikhalili, K.; Abdoli, A.; Cozzoli, F.; Basset, A. Relationships among biotic, abiotic parameters and ecological status in Shahid Rajaee reservoir (Iran). Biologia 2022, 77, 3159–3172. [Google Scholar] [CrossRef]
- Shokri, M.; Rossaro, B.; Rahmani, H.J.B. Response of macroinvertebrate communities to anthropogenic pressures in Tajan River (Iran). Biologia 2014, 69, 1395–1409. [Google Scholar] [CrossRef]
- Khan, F.A.; Ansari, A.A. Eutrophication: An ecological vision. Bot. Rev. 2005, 71, 449–482. [Google Scholar] [CrossRef]
- Carstensen, J.; Klais, R.; Cloern, J.E. Phytoplankton blooms in estuarine and coastal waters: Seasonal patterns and key species. Estuar. Coast. Shelf Sci. 2015, 162, 98–109. [Google Scholar] [CrossRef]
- Paerl, H.W.; Justic, D. Estuarine Phytoplankton. In Estuarine Ecology; Wiley-Blackwell: Hoboken, NJ, USA, 2013; pp. 85–110. [Google Scholar]
- Kuang, T.; He, A.; Lin, Y.; Huang, X.; Liu, L.; Zhou, L. Comparative analysis of microbial communities associated with the gill, gut, and habitat of two filter-feeding fish. Aquac. Rep. 2020, 18, 100501. [Google Scholar] [CrossRef]
- Akinnawo, S.O. Eutrophication: Causes, Consequences, Physical, Chemical and Biological Techniques for Mitigation Strategies. Environ. Chall. 2023, 12, 100733. [Google Scholar] [CrossRef]
- Wei, G.; Yang, Z.; Cui, B.; Li, B.; Chen, H.; Bai, J.; Dong, S. Impact of Dam Construction on Water Quality and Water Self-Purification Capacity of the Lancang River, China. Water Resour. Manag. 2009, 23, 1763–1780. [Google Scholar] [CrossRef]
- Wang, D. Reservoir Water Purification Fishery and Implementation Technology; Guangxi Science and Technology Press: Nanning, China, 2022. [Google Scholar]
- Conti, S.G.; Roux, P.; Fauvel, C.; Maurer, B.D.; Demer, D.A. Acoustical monitoring of fish density, behavior, and growth rate in a tank. Aquaculture 2006, 251, 314–323. [Google Scholar] [CrossRef]
- Zhou, J.; Zhang, C. Freshwater Fishes of Guangxi, China; Guangxi People’s Publishing House: Nanning, China, 2006. [Google Scholar]
- Lv, H.; Yang, J.; Liu, L.; Yu, X.; Yu, Z.; Chiang, P. Temperature and nutrients are significant drivers of seasonal shift in phytoplankton community from a drinking water reservoir, subtropical China. Environ. Sci. Pollut. Res. 2014, 21, 5917–5928. [Google Scholar] [CrossRef]
- Lund, J.W.G.; Kipling, C.; Le Cren, E.D. The inverted microscope method of estimating algal numbers and the statistical basis of estimations by counting. Hydrobiologia 1958, 11, 143–170. [Google Scholar] [CrossRef]
- Hillebrand, H.; Dürselen, C.-D.; Kirschtel, D.; Pollingher, U.; Zohary, T. Biovolume calculation for pelagic and benthic microalgae. J. Phycol. 1999, 35, 403–424. [Google Scholar] [CrossRef]
- Jin, L.; Chen, H.; Xue, Y.; Soininen, J.; Yang, J. The scale-dependence of spatial distribution of reservoir plankton communities in subtropical and tropical China. Sci. Total Environ. 2022, 845, 157179. [Google Scholar] [CrossRef]
- Baranyi, C.; Hein, T.; Holarek, C.; Keckeis, S.; Schiemer, F. Zooplankton biomass and community structure in a Danube River floodplain system: Effects of hydrology. Freshw. Biol. 2002, 47, 473–482. [Google Scholar] [CrossRef]
- Zhang, Y.; Zhou, Y.; Shi, K.; Qin, B.; Yao, X.; Zhang, Y. Optical properties and composition changes in chromophoric dissolved organic matter along trophic gradients: Implications for monitoring and assessing lake eutrophication. Water Res. 2018, 131, 255–263. [Google Scholar] [CrossRef] [PubMed]
- Zhou, L.; Zeng, L.; Fu, D.; Xu, P.; Zeng, S.; Tang, Q.; Chen, Q.; Chen, L.; Li, G. Fish density increases from the upper to lower parts of the Pearl River Delta, China, and is influenced by tide, chlorophyll-a, water transparency, and water depth. Aquat. Ecol. 2016, 50, 59–74. [Google Scholar] [CrossRef]
- Foote, K.G.; Knudsen, H.P.; Vestnes, G.; MacLennan, D.; Simmonds, N.E.J. Calibration of Acoustic Instruments for Fish Density-Estimation—A Practical Guide. J. Acoust. Soc. Am. 1988, 83, 831–832. [Google Scholar]
- Dray, S.; Dufour, A.B. The ade4 package: Implementing the duality diagram for ecologists. J. Stat. Softw. 2007, 22, 1–20. [Google Scholar] [CrossRef]
- Grömping, U. Relative Importance for Linear Regression in R: The Package relaimpo. J. Stat. Softw. 2006, 17, 1–27. [Google Scholar] [CrossRef]
- Fitridge, I.; Dempster, T.; Guenther, J.; de Nys, R. The impact and control of biofouling in marine aquaculture: A review. Biofouling 2012, 28, 649–669. [Google Scholar] [CrossRef]
- Chen, X.; Li, Z.; Boda, P.; Fernandes, I.M.; Xie, Z.; Zhang, E. Environmental filtering in the dry season and spatial structuring in the wet: Different fish community assembly rules revealed in a large subtropical floodplain lake. Environ. Sci. Pollut. Res. 2022, 29, 69875–69887. [Google Scholar] [CrossRef]
- Fernandes, I.M.; Henriques-Silva, R.; Penha, J.; Zuanon, J.; Peres-Neto, P.R. Spatiotemporal dynamics in a seasonal metacommunity structure is predictable: The case of floodplain-fish communities. Ecography 2014, 37, 464–475. [Google Scholar] [CrossRef]
- Mangeni-Sande, R.; Taabu-Munyaho, A.; Ogutu-Ohwayo, R.; Nkalubo, W.; Natugonza, V.; Nakiyende, H.; Nyamweya, C.S.; Muwanika, V.B. Spatial and temporal differences in life history parameters of Rastrineobola argentea (Pellegrin, 1904) in the Lake Victoria basin in relation to fishing intensity. Fish. Manag. Ecol. 2019, 26, 406–412. [Google Scholar] [CrossRef]
- Godlewska, M.; Swierzowski, A. Hydroacoustical parameters of fish in reservoirs with contrasting levels of eutrophication. Aquat. Living Resour. 2003, 16, 167–173. [Google Scholar] [CrossRef]
- Ye, H.B.; Tang, S.L.; Yang, C.Y. Deep Learning for Chlorophyll-a Concentration Retrieval: A Case Study for the Pearl River Estuary. Remote Sens. 2021, 13, 3717. [Google Scholar] [CrossRef]
- Lin, Q.; Chen, Q.; Peng, L.; Xiao, L.; Lei, L.; Jeppesen, E. Do bigheaded carp act as a phosphorus source for phytoplankton in (sub)tropical Chinese reservoirs? Water Res. 2020, 180, 115841. [Google Scholar] [CrossRef] [PubMed]
- Stewart, A.R.; Saiki, M.K.; Kuwabara, J.S.; Alpers, C.N.; Marvin-DiPasquale, M.; Krabbenhoft, D.P. Influence of plankton mercury dynamics and trophic pathways on mercury concentrations of top predator fish of a mining-impacted reservoir. Can. J. Fish. Aquat. Sci. 2008, 65, 2351–2366. [Google Scholar] [CrossRef]
- Vašek, M.; Kubečka, J.; Peterka, J.; Čech, M.; Draštík, V.; Hladík, M.; Prchalová, M.; Frouzová, J. Longitudinal and vertical spatial gradients in the distribution of fish within a canyon-shaped reservoir. Int. Rev. Hydrobiol. 2004, 89, 352–362. [Google Scholar] [CrossRef]
- Zhang, X.; Zhang, Y.; Zhang, Q.; Liu, P.; Guo, R.; Jin, S.; Liu, J.; Chen, L.; Ma, Z.; Liu, Y. Evaluation and Analysis of Water Quality of Marine Aquaculture Area. Int. J. Environ. Res. Public Health 2020, 17, 1446. [Google Scholar] [CrossRef]
- Pitchaikani, J.S.; Lipton, A.P. Nutrients and phytoplankton dynamics in the fishing grounds off Tiruchendur coastal waters, Gulf of Mannar, India. SpringerPlus 2016, 5, 1405. [Google Scholar] [CrossRef]
- Jana, B.B.; Sarkar, D. Water quality in aquaculture—Impact and management: A review. Indian J. Anim. Sci. 2005, 75, 1354–1361. [Google Scholar]
- Tessier, A.; Richard, A.; Masilya, P.; Mudakikwa, E.; Muzana, A.; Guillard, J. Spatial and temporal variations of Limnothrissa miodon stocks and their stability in Lake Kivu. J. Great Lakes Res. 2020, 46, 1650–1660. [Google Scholar] [CrossRef]
- Ward, A.J.W.; Hensor, E.M.A.; Webster, M.M.; Hart, P.J.B. Behavioural thermoregulation in two freshwater fish species. J. Fish Biol. 2010, 76, 2287–2298. [Google Scholar] [CrossRef]
- Hoeinghaus, D.J.; Agostinho, A.A.; Gomes, L.C.; Pelicice, F.M.; Okada, E.K.; Latini, J.D.; Kashiwaqui, E.A.L.; Winemiller, K.O. Effects of river impoundment on ecosystem services of large tropical rivers: Embodied energy and market value of artisanal fisheries. Conserv. Biol. 2009, 23, 1222–1231. [Google Scholar] [CrossRef]
- Agostinho, A.A.; Gomes, L.C.; Santos, N.C.; Ortega, J.C.; Pelicice, F.M. Fish assemblages in Neotropical reservoirs: Colonization patterns, impacts and management. Fish. Res. 2016, 173, 26–36. [Google Scholar] [CrossRef]
- Kolding, J.; van Zwieten, P.; Marttin, F.; Funge-Smith, S.; Poulain, F. Freshwater Small Pelagic Fish and Fisheries in the Main African Great Lakes and Reservoirs in Relation to Food Security and Nutrition; FAO: Rome, Italy, 2019. [Google Scholar]
- Figueredo, C.C.; Giani, A.J.F.B. Ecological interactions between Nile tilapia (Oreochromis niloticus, L.) and the phytoplanktonic community of the Furnas Reservoir (Brazil). Freshw. Biol. 2005, 50, 1391–1403. [Google Scholar] [CrossRef]
- Solovyev, M.M.; Izvekova, G.I.; Kashinskaya, E.N.; Gisbert, E. Dependence of pH values in the digestive tract of freshwater fishes on some abiotic and biotic factors. Hydrobiologia 2018, 807, 67–85. [Google Scholar] [CrossRef]
- Wang, Y.P.; Gu, X.; Zeng, Q.; Mao, Z.; Gu, X.; Li, X. Fate of N-15-enriched cyanobacteria feed for planktivorous fish in an enclosure experiment: A stable isotope tracer study. Fish. Sci. 2015, 81, 821–830. [Google Scholar] [CrossRef]
- Turker, H.; Eversole, A.G.; Brune, D.E. Filtration of green algae and cyanobacteria by Nile tilapia, Oreochromis niloticus, in the Partitioned Aquaculture System. Aquaculture 2003, 215, 93–101. [Google Scholar] [CrossRef]
- Bai, R.; Liu, X.; Liu, X.; Liu, L.; Wang, J.; Liao, S.; Zhu, A.; Li, Z. The development of biodiversity conservation measures in China’s hydro projects: A review. Environ. Int. 2017, 108, 285–298. [Google Scholar] [CrossRef] [PubMed]
- Sun, M.; Chen, D.; Wang, K.; Duan, X.; Luo, H.; Zhu, Z. Hydroacoustic surveys on temporal and spatial distribution of fishes in the section from Chenglingji to Yichang of the Yangtze River middle reaches. J. Appl. Ichthyol. 2013, 29, 1459–1462. [Google Scholar] [CrossRef]
- Nivelle, R.; Gennotte, V.; Kalala, E.J.K.; Ngoc, N.B.; Muller, M.; Melard, C.; Rougeot, C. Temperature preference of Nile tilapia (Oreochromis niloticus) juveniles induces spontaneous sex reversal. PLoS ONE 2019, 14, e0212504. [Google Scholar]
- Canonico, G.C.; Arthington, A.; McCrary, J.K.; Thieme, M.L. The effects of introduced tilapias on native biodiversity. Aquat. Conserv. Mar. Freshw. Ecosyst. 2005, 15, 463–483. [Google Scholar] [CrossRef]







| Variables | Mean | Min. | Max. | S.D. |
|---|---|---|---|---|
| WT | 26.96 | 20.90 | 30.50 | 2.88 |
| pH | 7.84 | 6.41 | 9.18 | 0.76 |
| DO | 8.18 | 4.31 | 10.22 | 1.74 |
| Trans | 89.61 | 50.00 | 145.00 | 24.86 |
| TH | 10.80 | 7.01 | 27.90 | 3.80 |
| TP | 0.02 | 0.00 | 0.07 | 0.01 |
| TN | 0.65 | 0.12 | 1.35 | 0.29 |
| NO2N | 0.01 | 0.00 | 0.05 | 0.01 |
| NO3N | 0.30 | 0.01 | 0.98 | 0.27 |
| NH3N | 0.23 | 0.04 | 0.95 | 0.19 |
| CODMn | 3.14 | 1.49 | 4.89 | 0.69 |
| Chl-a | 22.42 | 8.43 | 43.05 | 10.03 |
| TOC | 3.85 | 2.00 | 7.13 | 1.30 |
| TLI | 51.84 | 44.31 | 62.04 | 4.56 |
| phytoplankton | 11.55 | 1.94 | 47.64 | 9.69 |
| zooplankton | 3.35 | 1.69 | 4.65 | 0.86 |
| Index | Factors | Df | Sum Sq | Mean Sq | F-Value | Pr (>F) | Significance |
|---|---|---|---|---|---|---|---|
| Density | year | 1 | 2,546,212 | 2,546,212 | 204.5 | <2 × 10−16 | *** |
| Density | season | 1 | 3,915,494 | 3,915,494 | 314.5 | <2 × 10−16 | *** |
| Density | zone | 8 | 12,049,387 | 1,506,173 | 121.0 | <2 × 10−16 | *** |
| TS | year | 1 | 1 | 1 | 0.168 | 0.682 | / |
| TS | season | 1 | 6268 | 6268 | 751.304 | <2 × 10−16 | *** |
| TS | zone | 8 | 1416 | 177 | 21.219 | <2 × 10−16 | *** |
Disclaimer/Publisher’s Note: The statements, opinions and data contained in all publications are solely those of the individual author(s) and contributor(s) and not of MDPI and/or the editor(s). MDPI and/or the editor(s) disclaim responsibility for any injury to people or property resulting from any ideas, methods, instructions or products referred to in the content. |
© 2023 by the authors. Licensee MDPI, Basel, Switzerland. This article is an open access article distributed under the terms and conditions of the Creative Commons Attribution (CC BY) license (https://creativecommons.org/licenses/by/4.0/).
Share and Cite
Wang, G.; Sang, S.; Zhou, Z.; Wang, D.; Chen, X.; Li, Y.; Guo, C.; Zhou, L. Exploring the Drivers of Spatiotemporal Patterns in Fish Community in a Non-Fed Aquaculture Reservoir. Diversity 2023, 15, 886. https://doi.org/10.3390/d15080886
Wang G, Sang S, Zhou Z, Wang D, Chen X, Li Y, Guo C, Zhou L. Exploring the Drivers of Spatiotemporal Patterns in Fish Community in a Non-Fed Aquaculture Reservoir. Diversity. 2023; 15(8):886. https://doi.org/10.3390/d15080886
Chicago/Turabian StyleWang, Gongpei, Shilei Sang, Zanhu Zhou, Dapeng Wang, Xin Chen, Yusen Li, Chuanbo Guo, and Lei Zhou. 2023. "Exploring the Drivers of Spatiotemporal Patterns in Fish Community in a Non-Fed Aquaculture Reservoir" Diversity 15, no. 8: 886. https://doi.org/10.3390/d15080886
APA StyleWang, G., Sang, S., Zhou, Z., Wang, D., Chen, X., Li, Y., Guo, C., & Zhou, L. (2023). Exploring the Drivers of Spatiotemporal Patterns in Fish Community in a Non-Fed Aquaculture Reservoir. Diversity, 15(8), 886. https://doi.org/10.3390/d15080886

