Abstract
Seabirds are compelled to nest on land, away from their feeding areas, which they can only reach by leaving eggs or chicks in the nest, often for long periods of time. For this reason, almost all of them have evolved social monogamy as a reproductive system, cooperation between partners for incubation and chick rearing, and long-lasting pair bonds. Additionally, nesting conditions are essential for successful reproduction, and the nest can be considered a resource if it provides more guarantees in this aspect. As a result, the nest may be a source of contention and intraspecific competition, especially among males. In this work, we analyze long-term data of the Scopoli’s shearwater (Calonectris diomedea) population to address the fitness consequences of nest change regarding survival and reproductive success. We used capture–recapture multistate models and the AICc model selection approach to test three hypotheses: breeding failure triggers nest change; nest change affects breeding success probability; nest change affects survival. Each year, about 5% of the breeders move to a new nest. For males, it was mainly a way to improve their breeding conditions and was observed in their early years as a breeder. Conversely, for females, it was a way to improve their reproductive performance by trying with a new mate after a failure. Males that changed nests improved their breeding success probability. Instead, in females, there was no causal relation between nest change and breeding success, the latter having been more influenced by the intrinsic quality of the female as a breeder. We did not even find a link between nest change and survival. Instead, we demonstrated that reproductive failure could affect the apparent survival of females, probably because it induces breeding dispersal.
1. Introduction
Seabirds face a major constraint during reproduction: nesting sites are ashore, often concentrated in restricted areas, and almost always far from the offshore feeding areas [1]. The probability of reproductive success depends on food availability in the feeding areas and their distance from the colony, as well as the breeding conditions and the protection from predators provided by the nesting site (for breeders, eggs, and chicks) [2,3]. In this context, it has been hypothesized that social monogamy and bi-parental care evolved in seabirds as a consequence of the separation of these two spheres (feeding and nesting) so that one of the parents could always be close to the nest while the other parent moved away searching for food [4,5]. Furthermore, as stated by the mate familiarity hypothesis [6,7], marine birds have evolved mate-fidelity behavior due to their long lifespans to enable the fine-tuning of pair cooperation throughout all phases of reproduction and maximize breeding success.
The choice of the nesting site is crucial to ensure protection from predators, especially when the chick(s) must be left alone, and the sites suitable for this aim are scarce and often point-distributed; moreover, for this reason, seabirds are often colonial [8].
Coloniality gives advantages against predation [9], and it facilitates finding a new mate [10], but it also brings disadvantages connected to the defense of the nesting site against other pretenders [11]. For example, a strong male-to-male intraspecific competition for nest cavities has been observed in Cory’s shearwaters (Calonectris borealis) [2], especially when nest availability is poor [1]. Indeed, population pressure may compel some breeders to occupy sub-optimal nesting sites, such as those more peripheral and vulnerable to predators or those more exposed to worse microclimates (wind or rain).
In many seabird species, males return early to the breeding grounds to re-occupy their old nest if proven to be good quality. Alternatively, they try to obtain a better one (even by usurping another bird’s nest) to improve their nesting condition and eventually attract a high-quality female. This behavior is shown by several species, such as brown skuas (Stercorarius lonnbergi) [12], common guillemots (Uria aalge) [13], many albatrosses and species of petrels [11], and some sulids and cormorants [14,15]. The energy cost of this behavior may be even higher since some males reach the end of the pre-laying period in poor body condition due to their constant nest defense. Confirming this, in Cory’s shearwaters and Bulwer’s petrels (Bulweria bulwerii), males with higher nest tenacity show worse body condition [16,17,18].
The expenditure due to the defense of the nesting sites underlines the importance of nest maintenance in the breeding behavior of most seabirds. We can observe a general positive correlation between nest fidelity and breeding success. For instance, this is observable in female black-browed albatrosses (Thalassarche melanophris) [19]. In fulmars (Fulmarus glacialis), Ollason and Dunnet [20] showed that the site change for a breeding pair generally leads to lower breeding success. Still, often some individuals, starting from a poor breeding performance or a failure, improve their breeding success by changing nests. Thus, nest change could be an adaptive way to improve their breeding performance and social status and increase their lifetime reproductive success [21,22]. For instance, oystercatchers (Haematopus ostralegus) have to queue to obtain a high-quality breeding site and a high social position; they can settle immediately in a territory of poor quality and wait many years before moving to a better one [23]. The value of a male as a breeder could be expressed by their capacity to obtain and maintain an optimal nesting site for the most prolonged period possible [24].
In this work, we investigated the fitness consequences of nest change regarding survival and reproductive success using a nine-year dataset of a marked population of Scopoli’s shearwaters (Calonectris diomedea) in the Tuscan archipelago in the North Tyrrhenian Sea. We evaluated three hypotheses and associated predictions.
1.1. Hypothesis 1: Breeding Failure Triggers Nest Change
Numerous studies show that this relation can be simplified by the “Win stay–lose switch” concept [25]. In seabirds, this behavior has been observed in the little penguin (Eudyptula minor) [26,27], the great cormorant (Phalacrocorax carbo sinensis) [15], the kittiwake (Rissa tridactyla) [28], the European storm petrel (Hydrobates pelagicus) [29], the Monteiro’s storm petrel (Oceanodroma monteiroi) [30], the Yelkouan shearwater (Puffinus yelkouan) [31], and the short-tailed shearwater (Puffinus tenuirostris) [32]. For the Scopoli’s shearwater, Thibault [33] reported that a high turnover rate of breeders in the same nest site was associated with low prior breeding success. Only a few authors showed some results which are out of this scheme. In Pyle et al. [34], the prior breeding experience did not affect either mate or site fidelity in Cassin’s auklets (Ptychoramphus aleuticus). Naves et al. [28] found in kittiwakes that dispersal decisions integrate information on individual breeding performance on a temporal scale longer than one year. By the way, the literature seems to agree that the trigger mechanism for nest change in seabirds depends largely on the results of the previous year’s reproduction. Given that, the expectation for our study was to confirm Thibault’s [33] results and observe a higher nest change rate in failed breeders.
1.2. Hypothesis 2: Nest Change Affects Breeding Outcomes
As observed in fulmars [20] and black-browed albatrosses [19], it is generally convenient to return to the old nest to maintain previous levels of breeding performance. However, the nest change could be an individual’s adaptive behavior to improve their fitness if it previously occupied a low-quality breeding site. Greenwood and Harvey [35] showed examples of this behavior in the Temminck’s stint (Calidiris temminckii) or in the wheatear (Oenanthe oenanthe), whose males, on becoming older, tended to move to other preferable breeding sites to maximize their reproductive opportunities. Moreover, Switzer [25] considers that a change in the nesting site depends on the predictability of the future outcome. In our population, we expected that acquiring a new nest could increase the likelihood of successful reproduction.
1.3. Hypothesis 3: Nest Change Affects Survival
Bried et al. [36] found a positive correlation between nest fidelity and adult life expectancy (and consequently survival) in different groups of birds. Nonetheless, in Scopoli’s shearwaters, it has been observed that mate change may positively affect female survival because it increases the probability of skipping one or more seasons [37]. Similarly, females, for the same reason, may increase their survival by changing their nest. Males may pay an energetic cost for acquiring a new nest, even if a higher-quality nest means a better breeder status and ensures future reproductions. In our study, we expected a sex differential response in survival among birds that changed their nests. This result should be positive for females, while males, after the change, could have initially reduced their survival rate.
2. Materials and Methods
2.1. Study System and Data Collection
The pelagic, colonial, and socially monogamous Scopoli’s shearwater is a long-living seabird (Figure 1). Based on genetic differences, the species was recently separated from the other members of the genus: Cory’s shearwater and Cape Verde shearwater (C. edwardsii) [38].
Figure 1.
Scopoli’s shearwater (Calonectris diomedea). Photo by Adriano De Faveri.
It winters mainly in the Canary Current in the eastern part of the Atlantic Ocean and off of the western African coast from Senegal to Angola [39,40,41,42]. It breeds in all Mediterranean (including African) coasts except Libya, Egypt, and the Levantine Sea. Breeding sites are located on offshore islands. Their nests are hidden in cracks in cliffs, caves, and crevices under boulders in rockslide fields. With a higher population density, it may also breed in thick vegetation or sheltered places in the open. It lays a single egg late in May. Chicks hatch in the second half of July and usually fledge in mid-October.
The Scopoli’s shearwater, as with many other Procellariidae, shows strong pair bonds and high nest fidelity. However, both European Calonectris species exhibit regular site changes. Males showed stronger nest tenacity than females (see Table 1).
Table 1.
Cory’s and Scopoli’s shearwater nest fidelity and change rate.
The study area was located on Pianosa Island (Italy, Lon. 10.078889 E; Lat. 42.585278 N, Figure 2), which is part of the Tuscan Archipelago National Park. It is a flat island, 10 square kilometers in size, rising from the sea to 30 m above sea level. Vertical cliffs, rockslide fields, and small bays are the most common coastal environments. Due to marine and karst processes, this coastal landscape provides suitable conditions for Scopoli’s shearwaters to nest. The main colony is located on an islet 242 m east of Pianosa Island (La Scola islet). Other sub-colonies are on the main island (the largest is on the cliffs of Punta Brigantina in the south).
Figure 2.
Location of Pianosa Island in the Tyrrhenian Sea. Coordinates in decimal degrees.
The breeding population of La Scola islet was estimated to be between 150 and 200 pairs in 2014 [50]. Two black rat (Rattus rattus) eradication projects were carried out in 2001 on La Scola islet and in 2016–2017 on Pianosa [51], to reduce predation on eggs and chicks and increase the shearwater’s reproductive success.
We have studied this population since 2000 with ringing activities. Since 2010, we have scheduled visits to the colony twice a year, at different stages of the incubation period (June–July), to capture and ring each pair’s partners. To estimate breeding success, we performed two visits during the final stretch of the chick-rearing period. Due to logistic reasons, achieving equal effort in fieldwork every year was impossible.
For the current study, we focused on nine years, from 2014 to 2022. We decided to exclude from the analysis all data regarding individuals first recorded before 2014. By performing this, we could reasonably be sure that each bird captured for the first time was a new breeder and, as a result, was in its first nest (see Section 2.2 for further details). Considering that the expected reproductive life for this population has been estimated as an average of 8 and 9 years for females and males, respectively [37], we can safely assume that a nine-year dataset may be enough to make inferences about the reproductive population.
We used permanent metal rings from the Italian Ringing Centre, with unique alphanumeric codes to mark birds and plastic marks for nest identification.
The sex of the subjects was indirectly assigned by knowing the sex of the partner or directly, in hand, through their vocal emissions [52,53,54]. We only classified as breeders those individuals observed incubating. We collected data on 225 adult breeders (115 females, 110 males) from the two breeding sites of Pianosa (La Scola islet and Cala Brigantina on the main island), making a total of 514 captures (253 females, 261 males) with an average of 1.2 individual recaptures for females and 1.37 for males.
2.2. Statistical Analyses
The following abbreviations have been used throughout the text:
- AS (apparent survival—Φ): the probability of surviving and not permanently emigrating from the colony between one breeding season and the next.
- NC (nest change probability—Ψ): the probability of changing the nest at the beginning of a new reproductive season.
- OLD (old nest): an individual breeding in its first nest.
- NEW (new nest): an individual breeding in a different nest from the first.
- BS (breeding success probability—Β): The species we studied lays only one egg per breeding season, so BS is the probability of reproducing successfully (i.e., with the chick fledging).
- Winner: An individual who has performed successful breeding in the previous season (its chick has fledged).
- Loser: an individual who has tried a breeding attempt in the previous season but failed.
- R (recapture probability—Ρ): the probability of being captured by the fieldworker during the reproductive season.
- RLE (reproductive life expectancy): The number of reproductive years after which a cohort’s death rate is 50%. It is the average reproductive lifespan of the sampled population.
We ran statistical analysis separately for each sex because partners from the same pair bond do not provide independent data.
To test our hypothesis and investigate the relations between nest change, breeding success, and survival, we ran and compared multievent capture–recapture models [55,56,57] based on observable events registered in the field in the last nine years. All the models were fitted using E-SURGE version 2.2.3 [58].
We tested if the general capture–recapture assumptions were met using U-CARE version 3.3. [59]. We submitted our datasets (male and female) to the global and specific goodness of fit for multistate (GOF) tests (following Lebreton et al. [57] and Choquet et al. [59]) (see Supplementary Materials, Tables S1.1 and S1.2).
Nest change was infrequent in our population study, and records of individuals changing partners twice were sporadic (only one case was recorded for the female dataset). Thus, we used a framework with five mutually exclusive states (i.e., an individual can only occupy one state in a single interval). These states combined the fidelity with the nest (the individuals who never change a nest, “OLD”, and the individuals who change their nest, “NEW”) with the indication of the breeding success (winners) or failure (losers). The combination of these conditions (OLD–winners, OLD–losers, NEW–winners, NEW–losers) and the last case, “dead or permanently emigrated”, results in five states.
An individual’s encounter history consisted of a series of five possible events (one value for each capture session): event 0, the individual was not detected; event 1, the individual was captured in its first known nest and failed the breeding season; event 2, the individual was captured in its first known nest and the breeding season was successful; event 3, the individual was captured in a nest that was different from its first known nest and failed the breeding season; event 4, the individual was captured in a nest that was different from its first known nest and the breeding season was successful.
The multievent model’s conditional probabilities chain was defined following this order: initial state, apparent survival, nest change, breeding success, and recapture probability. We built the following vector or matrices of probabilities. Each matrix has row headers representing the starting states and column headers representing the final states. The timing of starting and final states is also indicated (for example, in the apparent survival matrix, the starting state “OLD-loser” in t has a zero probability of reaching the state of “OLD-winner” and a probability of 1 − φOL to reach the final state of “dead” in t + 1 − q).
All individuals captured for the first time before the study period were excluded from the dataset. Thus, by assumption, in our dataset, all the individuals captured for the first time were also breeding for the first time. Therefore, individuals in the initial state were considered as being in their first nest (they were all OLD), but they could have been losers or winners. Consequently, Π provides the proportion of those individuals who successfully reproduced at their first attempt (Table 2).
Table 2.
Initial state (Π) matrix.
The probability of surviving (and not permanently emigrating) between one capture session (t) and the very beginning of the following (t + 1 − q) can be different according to the departing state (Table 3).
Table 3.
Apparent survival (Φ) matrix.
An individual in the state of OLD at the very beginning of the new session t + 1 (t + 1 − q) has a certain chance of changing to NEW. An individual in state NEW remains in the state NEW for their adult life and cannot return to the state OLD (Table 4). This assumption is based on two essential aspects: the first is revealed by the observational process, in which we never registered, after the change, the return of a bird to its original nest; the second has biological significance, in that we want to test the adaptivity of the nest change as a parameter affecting long term fitness.
Table 4.
Nest Change Probability (Ψ) matrix.
At the end of session t + 1, a breeder has a non-zero probability of becoming a loser or a winner. The matrix considered the possibility that the previous state could affect this variation (Table 5).
Table 5.
Breeding Success Probability (Β) matrix.
The states may have different detection probabilities in a capture session at time t + 1. Since every observation could be assigned precisely to a state, we did not need to add a state assignment matrix. The recapture probability matrix specified the possible detectable events in the encounter history (Table 6).
Table 6.
Recapture Probability (Ρ) matrix.
We determined the global model as the most parameterized (with the lowest deviation) after having checked the parameters’ identifiability using the E-SURGE diagnostic tools [60]:
where state indicates that the parameter depends on the original state, time on temporal variation, and age on the known reproductive age of the individuals. “+” denotes additive effects of variables. We included age in the models to test for three potential confounding effects of reproductive age on transition matrices: on AS, because usually, the probability of surviving depends on the age of an individual [61,62]; on NC, since the state of NEW follows the state of OLD chronologically (they start as OLD and cannot return to the state of OLD once becoming NEW); on BS, due to the possibility that breeder’s experience affects the chance of breeding success [63].
{Π(constant) Φ(state + age) Ψ(state + age) Β (state + age) Ρ (time)}
The variable used to test the age effect was a proxy corresponding to the years that had elapsed since the first capture. We cannot exclude that some individuals could have been misclassified and were not captured in their first breeding year. The age effect has been included in the model definition. We tested models with three different kinds of age class structures: the first, with two age classes (individuals in their first year of breeding and others); the second, with two age classes but a different composition (individuals in their first two years of breeding and others); and the third, with three age classes (individuals in their first year of breeding, individuals in their second year of breeding, and others). Other structures with a larger number of age classes were also tested, but the resulting models did not perform as well as those of the first three structures mentioned above.
We adopted a model selection approach based on the Akaike Information Criterion corrected for small sample sizes (AICc) [64]. We used a multistep process to model each parameter, using a “step-down” approach, because the potential sources of variation in each parameter led to a much too large model set (more than 4000 models) [65,66]. Consequently, we proceeded with a parameter-by-parameter analysis to identify the best model. We started modeling the variation in the recapture probability, keeping the other parameters fixed as in the global model. Then, we fixed the structure of recapture probability resulting from the best model in order to model the variation in the other parameters, one by one, ascending from the parameter R to AS along the conditional probability chain. At the end of the process, we obtained each parameter’s ranking. This value indicates how much each structure for that parameter fits the observed data.
According to the best AICc models’ estimates of Φ, ψ, and Β for females and males, we implemented stochastic simulation to calculate the probability of changing nest for an individual over a period corresponding to its reproductive life expectancy (RLE).
RLE was calculated using Seber’s formula [67]: RLE = 1/[−log(Φ)]).
This stochastic model was built by looping a code a thousand times, calculating the likelihood of a nest change occurring over the years for a cohort of 100 individuals, and based on AS, NC, and BS values. These values were randomly generated, at each loop, within the confidence interval of the variables, according to a beta distribution (see Supplementary Materials, Tables S2.1 and S2.2).
3. Results
Our datasets met the CR assumptions: none of the GOF specific and global tests, for both sexes, were significant (femalesglobal-test: χ2 = 17.473, d.f. = 34, p = 0.99; malesglobal-test: χ2 = 15.060, d.f. = 45, p = 1.00). More details on the GOF and specific tests’ (WBWA, 3G.SR, 3G.SM, M.ITEC, M.LTEC) results can be found in Supplementary Materials, Tables S1.1 and S1.2.
The best models selected for males and females differ in the parameter definitions (see Table 7 and Supplementary Materials, Tables S3.1 and S3.2) and underline sex-specific behaviors concerning nest changing or maintaining. The best male model showed a constant AS, the NC depending on both state of departure and age classes and BS depending on the state of departure. The best female model showed a dependence on the previous outcome of reproduction both for AS and for BS, while NC probability was affected by the state of departure only. Recapture probability showed a time dependence for all the individuals, due most likely to the different fieldwork efforts in some seasons. Nest change rate was similar between males and females (females 0.049, 95% CI 0.027–0.086; males 0.055, 95% CI 0.032–0.093).
Table 7.
Model selection of capture–recapture analysis for females (F) and males (M). Best ten models. Notation: ϕ, AS; ψ, NC; β, BS; ρ, R; np, n. of parameters; dev, deviance; QAICc, Akaike Information Criterion corrected for small sample size; ΔAICc, AICc difference between the model with the lowest AICc and the current one; w_AICc, weight of relative likelihood of models; w_ϕ, w_ψ, w_β, w_ρ, weight of relative likelihood of parameters; f, difference between states; f13, f referred to BS of previous year; f12, f referred to NC; i, constant, no difference between states; t, time, temporal variation; a2, two age classes (one year after the first capture or older); a3, three age classes (one or two years after the first capture or older); a12, two age classes (one and two years after the first capture or older); +, additive effect of variables.
The average breeding success (derived from the best model with constant BS) was higher in the females’ sample than in the males’ (females 0.864, 95% C.I. 0.801–0.910; males 0.770, 95% C.I. 0.694–0.828). The same value, referring to individuals at their first breeding attempt only, was lower than the average and was higher for females (females 0.765, 95% C.I. 0.679–0.834; males 0.673, 95% CI 0.580–0.754).
3.1. Factors Influencing Nest Change
A multifaceted definition of NC for males involved age and reproductive success (see Table 3 and Figure 3). Males after the first reproduction (age 1), males after the second (age 2), and males after the third and beyond (age 3+) were the three age classes included in the best model. NC varied depending on whether an individual had successfully reproduced (winners) or not (losers) and differently for each age class. In the first two age classes, losers were more likely to change nest by a factor of four to six (ψlosers-age1 0.086, 95% CI 0.013–0.400; ψwinners-age1 0.014, 95% CI 0.003–0.138; ψlosers-age2 0.483, 95% CI0.192–0.787; ψwinners-age2 0.121, 95% CI 0.043–0.297). Instead, individuals of the oldest age class rarely change nests (ψlosers-age3+ 0.000, 95% CI 0.000–0.034; ψwinners-age3+ 0.000, 95% CI 0.000–0.034). The estimates for this age class were close to zero for both losers and winners. Since the standard error of values on the boundary of their domain should not be calculated using the default Wald method [68], we used the profile likelihood method to estimate the 95% confidence interval. This method consists in fixing the parameter to decreasing (if close to 1) or increasing (if close to 0) arbitrary values until the model deviance changes significantly (which corresponds to a variation in deviance to 3.84, see Gimenez et al. [68], Tavecchia et al. [69], and Santoro et al. [70]).
Figure 3.
Females and males’ current breeding success depends on the state of departure. For females, current breeding success is explained by the outcome of the previous reproduction; for males, it is explained by the combination of previous BS and nest type. Notation: nest, nest type (light blue = first nest ever, OLD; red = changed nest, NEW); BS, previous breeding success (circles = losers, breeding failure; triangles = winners, breeding success).
For females, the nest change depended on the state of loser or winner (see Table 8 and Figure 3). The best model showed that female losers, who are generally the youngest breeders (see below), changed their nest frequently (ψlosers 0.376, 95% CI 0.207–0.581), whereas female winners hardly ever switched nests (ψwinners 0.000, 95% CI 0.000–0.037). The winners’ value is a boundary value close to zero.
Table 8.
Factors influencing nest change probability.
3.2. Factors Influencing Breeding Success
For males, breeding success in time t + 1 was affected by the nest at departure (OLD or NEW) in time t + 1 and by the outcomes of reproduction in the previous season in time t (see Table 9). Males in the OLD nest had a higher chance of reproductive success if they were winners in t (ψOLD-winners 0.789, 95% CI 0.693–0.861; ψOLD-losers 0.610, 95% CI 0.412–0.775). Male winners in the NEW nest had a higher chance of breeding success than the males in the OLD nest (but significative only versus losers) but lower than the male losers in the NEW nest (ψNEW-winners 0.835, 95% CI 0.623–0.940; ψOLD-losers 1.000, 95% CI 0.977–1.000). The BS value for NEW–loser males was on the boundary close to 1.
Table 9.
Factors influencing breeding success probability.
For females, the best model did not show any link with the nest and was explained by the previous outcome of reproduction. Female winners have a higher probability of breeding success than losers (ψfemale-winners 0.889, 95% CI 0.825–0.932; ψfemale-losers 0.666, 95% CI 0.400–0.857) (see Table 9).
3.3. Factors Influencing Survival
The best male model presented a constant AS (equal among all possible states) (see Table 10). Male AS was unrelated to NC or BS (ϕmales 0.895, 95% CI 0.851–0.927). For females, the best models determined that AS was not affected by the NC but was not constant. The first two models (F1 and F2) in the model selection list (see Table 7) are ranked very close together (AICc weightF1-F2 = 0.30). In F1, AS was influenced by the outcome of the previous reproduction. Female winners had a higher chance of survival between seasons than losers (ϕfemale-winners 0.897, 95% CI 0.834–0.939; ϕfemale-losers 0.725, 95% CI 0.531–0.860), whereas in F2 the AS was affected by the age of the breeder. At their first or second reproductive attempt c, the shearwaters had a higher probability of dying or permanently dispersing than the more experienced birds (ϕfemales-age12 0.810, 95% CI 0.720–0.876; ϕfemales-age3+ 0.914, 95% CI 0.831–0.958). The weights of these two models for the parameter AS are 0.26 for F1 and 0.22 for F2 (see Table 7). Therefore, the interpretation of the results has taken both models into account.
Table 10.
Factors influencing apparent survival.
3.4. Nest Change and Reproductive Life Expectancy (RLE)
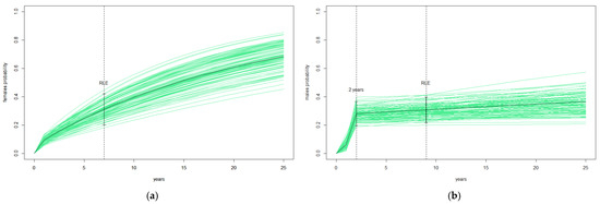
Reproductive life expectancy for females has been estimated as 7.01 years (95% CI 5.01–9.91) and for males as 9.01 (95% CI 6.2–13.2). We found that the probability of changing nests in the average reproductive life is equal among females and males (Pfemales 0.311, 95% CI 0.202–0.421; Pmales 0.308, 95% CI 0.217–0.399), but males’ changes are all concentrated in the first two years of reproduction (see Figure 4). In fact, males had a 6.4% chance after their first reproduction (see Supplementary Materials, Table S2.3) and a 21.7% increase the season after. After that, the likelihood of changing nests increased by only an average of 0.4% each year. Females had a chance of 9.4% to change nests after their first reproduction and an almost constant increase of 3.6% per year for their average reproductive life.
Figure 4.
Cumulative nest change probability over the reproductive life of females (a) and males (b). According to estimates from the best AICc capture–recapture models, each line reflects one simulation of survival and nest change stochastic process for a single cohort of breeders over the years. The dark line represents the mean trend. RLE is the reproductive life expectancy. Values with error bars indicate nest change probability range for females and males at RLE. Nest change probability at two years is also indicated for males.
4. Discussion
The most accurate models developed for males and females in our Scopoli’s shearwater population have allowed us to quantify the NC in an individual’s life history and the effects it will have on that individual’s fitness. Changing nests is a recurrent behavior in the population, and one out of every twenty individuals, regardless of sex, switch their nests each year. Stochastic simulations showed that our colony’s breeders, during their life, have an increasing likelihood to change their nests, up to 31% during the average expected reproductive life (seven years for females and nine years for males, using Seber’s formula, 1982). The progress year by year of the cumulative probability of nest change showed remarkable differences between the sexes. The results showed that this behavior is borne overall to young male breeders involving more than one-fourth of them and almost none of the more experienced adults, whereas the females showed the same pattern for all of their existence. Nest change was often triggered by the outcome of the previous reproductive season both for females and males, but in the latter, it was also linked to their reproductive age. According to the assumption that the nest is the resource that ensures access to reproduction and breeding success [21,71], this behavior likely plays an adaptive role for males, overall for those males that failed to fledge their offspring the year before. Instead, we could not find any effect on the survival of both sexes.
4.1. Hypothesis 1: Breeding Failure Triggers Nest Change
Our findings support the hypothesis that a breeding failure could trigger nest change. Winner females never changed nest, while losers switched 37% of the time. For males, instead, NC also depended on age. Even if we could generally observe a strong tendency shown by the losers to leave their nest and try to occupy a new one, we also recorded some young winners changing nests. Males with more experience rarely changed nests and seldom did so in response to the results of the previous reproduction.
The same kind of mechanism has been seen in the white stork (Ciconia ciconia) [72], for which the nest site fidelity (the probability of maintaining their nest) generally increased with the age of the stork, following a hyperbolic function tending asymptotically to 1.00, but for the youngest age classes the phenomenon was better described by the combination of age and previous breeding outcome.
Females of every age followed a typically “win stay/lose switch” model [25], while males seemed to follow more the “always stay” alternative model. This strategy can be better in case of nest shortage and high competition for breeding sites [18,44]. Therefore, it seems to fit better in habitats characterized by unpredictable variables, such as the occurrence of extreme climatic phenomena (e.g., the summer cloudbursts) [13,25,30]. The “resource nest” may be the primary goal of males, and they may employ their reproductive strategy to acquire and defend this resource [21].
4.2. Hypothesis 2: Nest Change Affects Breeding Outcome
Nest change leads to a positive variation in the males’ breeding success probability. Virtually all loser males who decided to change nest in t have since successfully reproduced in t + 1. Thus, we have demonstrated how the change could be adaptive for those individuals, mainly young breeders, in enhancing their reproductive performance. At their second or third reproductive attempt, one-third of the males leave their first nest, mainly a sub-optimal or satellite nest, to acquire a definitive high-quality nest [3,35]. Due to the intense intra-sexual competition for the “resource nest”, they probably could not immediately obtain an optimal nest on their first attempt because they could not contend with more experienced males and defend the nest from other pretenders [44,73]. So, after one or two seasons, they can covet a new nest that could ensure a reasonable probability (at least around 80% according to our models) of reproducing successfully.
Regarding females, we have instead found no relation between the nest they occupy and breeding success. The chance of successful reproduction was significantly higher for males in the new nests but not for females. The female reproductive performance has appeared to be more linked to their intrinsic quality as a breeder, as seen in the Cassin’s auklet [74]. Winner females in t had a higher chance to repeat their performance in t + 1, while loser females have regrettably shown a higher probability of failing again. This trend seemed to be irrespective of age. Still, we cannot exclude that intrinsic female quality could correspond in some cases to experience, as observed, for instance, in the blue petrel (Halobaena caerulea) [75]. Similarly, in our models, correspondence was found between female losers and young female breeders after analyzing the weight of the relative likelihood of AS.
4.3. Hypothesis 3: Nest Change Affects Survival
Nest change did not provide a benefit, in terms of survival, either for females or males. Females in our population obtained a higher survival rate after mate change due to skipping the breeding season after the change [37]. Probably, females that change nests do not change the mate too, breeding with the same male without skipping the season. Instead, we found that female losers in t suffer a lower AS between t and t + 1. The difference with the female winners is probably due to experience: less experienced females (younger) have a lower probability of surviving. This link between losers and young individuals is pointed out by the best two models for females, as shown in the results (see models F1 and F2 in Table 7) and has already been shown in the Adelie penguin (Pygoscelis adeliae) [76]. Mauck et al. [77], with a long-term study on the Leach’s storm petrel (Oceanodroma leucorhoa), suggested a potential explanation of a similar finding regarding female survival. He believed that the difference in survival must be found in the counterselection of individuals over time who are of lower quality, that is, those less capable of producing offspring. This “selection hypothesis” is based on the progressive disappearance of phenotypes due to variations in individual productivity and survival.
Conversely, another possible reason is due to the nature of the parameter AS, which quantifies all the individuals that do not die and do not emigrate permanently between two time intervals. The simplest explanation is that, in this case, apparent mortality (the reverse of apparent survival) corresponds to permanent emigration. Some females probably leave the colony after one or two failed reproductive attempts, especially if they are young breeders. Female breeding dispersal after one or more unsuccessful breeding seasons is widely documented across many different bird species. For example, breeding failure in tree swallows (Tachycineta bicolor) increases the likelihood of female dispersal by 9.5–2.5 times [78]. A similar relation has also been seen in the collared flycatcher (Ficedula albicollis) [79], in the Audouin’s gull (Ichthyaetus audouinii) [80], in kittiwakes [81], in the Manx shearwater [82], and in the Snow petrel (Pagodroma nivea) [83]. In the latter, it was observed that females had lower costs associated with emigrating and settling down in a new colony than males, and that, as a result, emigration may present a greater opportunity for females.
The estimate regarding females’ average breeding success was found to be significantly higher than those of males. This result might be due to a higher emigration rate of females who failed their reproduction than that of high-quality (successful) ones who remained in the same breeding site. Conversely, males remain in the area where they have been as prospectors before starting their reproductive life [84], regardless of breeding success.
4.4. Effects within the Pairs
Let us consider an initial cohort of newly formed breeding pairs with males in their first reproductive experience. With the estimated values of AS, NC, and BS, we should see, over the years, a rapid decrease in pairs’ fidelity to their nest because, initially, both males and females tend to change nests more often (the former moved by the need to improve the condition of the “resource nest” and the latter to improve their reproductive performance) (see Supplementary Material, Figure S1 for an extended diagram). After one or two years, the trend slows down and stabilizes. After four seasons, about 45% of the males still occupy the initial nest, although 15% of them have changed partners. A high turnover of the breeders in the nest site has already been seen in the Scopoli’s shearwater by Cachia Zammit and Borg [45], Ristow et al. [47], Swatschek [48], Thibault [33], and Sacchi et al. [37]. Mate change thus emerges as a fine-tuning mechanism among pair elements to regulate the different reproductive strategies of the two sexes (resource-biased for males and performance-biased for females).
5. Conclusions and Future Developments
Our study analyzed the relationship between nest change and individual fitness, demonstrating behavioral differences between sexes and their reproductive strategies, particularly concerning the nest resource. Males invest in the “resource nest” to gain a position as a breeder, which provides them with guarantees for their fitness in the long term. Therefore, they try to switch nests in their early years as a breeder if the nesting conditions are unfavorable. The females focus their strategy on maximizing reproductive success over time, and if the pair’s performance does not meet a certain standard, they may change partners (and consequently and conditionally the nests) or permanently disperse (especially if young breeders).
In the current study, starting from the parameter values of both sexes, we could predict the pair structure’s evolution in our population over the years. Toward this aim, it would be desirable to perform an analysis including the mate change in relation to nest change and observe the fitness consequences. Unfortunately, the large number of possible states in a capture–recapture model that contemplates all these variables requires a large dataset in which every possible case type is well represented, and we were unable to run such models at that time. The knowledge of these variables’ values would permit the description of the population’s structure with more precision and detail, with exciting spin-offs in colonies’ conservation management. We hope to be able to conduct this in the near future.
Supplementary Materials
The following supporting information can be downloaded at: https://www.mdpi.com/article/10.3390/d15060718/s1, Supplementary Material S1: Goodness of fit: Table S1.1: Females; Table S1.2: Males. Supplementary Material S2: Stochastic model for cumulative nest change probability estimation: Table S2.1: Females; Table S2.2: Males; Table S2.3: Yearly nest change probability for female and male Scopoli’s shearwaters estimated with stochastic simulation. Supplementary Material S3: Models: Table S3.1: female model definition (model F1); Table S3.2: male model definition (model M1); Table S3.3: Model selection of capture–recapture analysis for females and males. Supplementary Material S4: Simulation of nest and mate change in a single cohort of breeders: Figure S1: Simulation of the fate of 100 pairs from the same cohort that breed in their first nest.
Author Contributions
Conceptualization, N.B., F.P., M.S. and M.Z.; methodology, M.S.; formal analysis, M.S.; investigation, M.C., A.D.F., C.G., E.P., M.S. and M.Z.; data curation, M.C., E.P. and M.S.; writing—original draft preparation, M.S.; writing—review and editing, M.C., F.P., M.S. and M.Z.; supervision and project administration, N.B. All authors have read and agreed to the published version of the manuscript.
Funding
This research was initially supported by the EC-funded LIFE Projects “LIFE13NAT/IT/000471 RESTO CON LIFE” and eventually within the framework of the 2021–2023 agreement between the Italian Ministry of the Environment and Energy Security (MASE), the National Institute for Environmental Protection and Research, and the Regional Environmental Agencies of Calabria, Liguria and Emilia Romagna, for the implementation of the EU Marine Strategy Framework Directive (MSFD-2008/56/CE).
Institutional Review Board Statement
This research adheres to the ASAB/ABS Guidelines for the Use of Animals in Research. The study involved capturing, handling, and ringing procedures carried out by the Italian Institute for Environmental Protection and Research (ISPRA) under the authorization of Law 157/1992 [Art. 4(1) and Art 7(5)], which regulates research on wild bird species. ISPRA is designated by Law 157/1992 to provide assessments of the viability of initiatives involving the capture and management of wild animals. Birds were caught by hand, at the nest, in the daylight during the incubation. They were released back into their burrow after a few minutes to reduce stress and disturbance. Only experienced personnel handled the animals, and no bird was injured during the procedure.
Data Availability Statement
The data presented in this study are openly available at this link: https://osf.io/smj6g/?view_only=d50a9ec47a594d4f9f6fd4255a949be3, accessed on 25 May 2023.
Acknowledgments
We thank all members of the ISPRA BIO-EPD group, who significantly contributed to the fieldwork. We also thank the COT’s (Tuscan Ornithological Centre) volunteers who provided help during the monitoring and all the people who, in various ways, contributed to the research at Pianosa Island. We are grateful to the National Park of the Tuscan Archipelago (PNAT) for supporting the study, particularly Francesca Giannini’s invaluable assistance. We also thank the Penitentiary Police from the Porto Azzurro prison and all the officers stationed at Pianosa during the study period. Many thanks to Helen Carruthers who revised the English language and to the reviewers whose comments contributed significantly to the improvement of the manuscript.
Conflicts of Interest
The authors declare no conflict of interest.
References
- Bried, J.; Jouventin, P. Site and Mate Choice in Seabirds: An evolutionary approach. In Biology of Marine Birds; Schreiber, E.A., Burger, J., Eds.; CRC Press: Boca Raton, FL, USA, 2001; pp. 263–306. [Google Scholar]
- Ramos, J.A.; Monteiro, L.R.; Sola, E.; Moniz, Z. Characteristics and competition for nest cavities in burrowing procellariiformes. Condor 1997, 99, 634–641. [Google Scholar] [CrossRef]
- Minias, P. Evolution of within-colony distribution patterns of birds in response to habitat structure. Behav. Ecol. Sociobiol. 2014, 68, 851–859. [Google Scholar] [CrossRef] [PubMed]
- Lack, D.L. Ecological Adaptations for Breeding in Birds; Methuen and Company: London, UK, 1968. [Google Scholar]
- Wittenberger, J.F.; Tilson, R.L. The Evolution of Monogamy: Hypotheses and Evidence. Annu. Rev. Ecol. Syst. 1980, 11, 197–232. [Google Scholar] [CrossRef]
- Rowley, I. Re-mating in birds. In Mate Choice; Bateson, P., Ed.; Cambridge University Press: Cambridge, UK, 1983; pp. 331–360. [Google Scholar]
- Black, J.M. Partnerships in Birds: The Study of Monogamy; Oxford University Press: Oxford, UK, 1996. [Google Scholar]
- Coulson, J.C. Colonial Breeding in Seabirds. In Biology of Marine Birds; Schreiber, E.A., Burger, J., Eds.; CRC Press: Boca Raton, FL, USA, 2001; pp. 87–113. [Google Scholar]
- Hamilton, W.D. Geometry for the selfish herd. J. Theor. Biol. 1971, 31, 295–311. [Google Scholar] [CrossRef]
- Dubois, F.; Cézilly, F.; Pagel, M. Mate Fidelity and Coloniality in Waterbirds: A Comparative Analysis. Oecologia 1998, 116, 433–440. [Google Scholar] [CrossRef] [PubMed]
- Warham, J. The Petrel: Their Ecology and Breeding Systems; Black, A., Ed.; Academic Press: London, UK, 1990. [Google Scholar]
- Parmelee, D.F.; Pietz, P.J. Philopatry, mate and nest-site fidelity in the brown skuas of Anvers Island, Antarctica. Condor 1987, 89, 916–919. [Google Scholar] [CrossRef]
- Kokko, H.; Harris, M.P.; Wanless, S. Competition for breeding sites and site-dependent population regulation in a highly colonial seabird, the common guillemot Uria aalge. J. Anim. Ecol. 2004, 73, 367–376. [Google Scholar] [CrossRef]
- Nelson, J.B. Contrasts in breeding strategies between some tropical and temperate marine pelecaniformes. Stud. Avian Biol. 1983, 8, 95–114. [Google Scholar]
- Schjørring, S.; Gregersen, J.; Bregnballe, T. Sex difference in criteria determining fidelity towards breeding sites in the great cormorant. J. Anim. Ecol. 2000, 69, 214–223. [Google Scholar] [CrossRef]
- Mougin, J.-L.; Despin, B.; Jouanin, C.; Roux, F. La fidelité au partenaire et au nid chez le Puffin cendre Calonectris diomedea borealis de l’ile Selvagem grande. Le Gerfault 1987, 77, 353–369. [Google Scholar]
- Mougin, J.-L. La fidelite au partenaire et au nid chez le Petrel de Bulwer Bulweria bulweri de l’Ile Selvagem Grande (30°09′ N, 15°52′ W). L’Oiseau Rev. Fr. d’Ornithologie 1990, 60, 224–232. [Google Scholar]
- Monteiro, L.R.; Ramos, J.A.; Furness, R.W.; Del Nevo, A.J. Movements, morphology, breeding, molt, diet and feeding of seabirdsin the Azores. Colonial Waterbirds 1996, 19, 82–97. [Google Scholar] [CrossRef]
- Patrick, S.C.; Weimerskirch, H. Reproductive success is driven by local site fidelity despite stronger specialisation by individuals for large-scale habitat preference. J. Anim. Ecol. 2017, 86, 674–682. [Google Scholar] [CrossRef] [PubMed]
- Ollason, J.C.; Dunnet, G.M. Age, Experience and Other Factors Affecting the Breeding Success of the Fulmar, Fulmarus glacialis, in Orkney. J. Anim. Ecol. 1978, 47, 961–976. [Google Scholar] [CrossRef]
- Greenwood, P.J. Mating systems, philopatry and dispersal in birds and mammals. Anim. Behav. 1980, 28, 1140–1162. [Google Scholar] [CrossRef]
- Włodarczyk, R.; Wieloch, M.; Czyz, S.; Dolata, P.T.; Minias, P. Natal and breeding dispersal in Mute Swans Cygnus olor: Influence of sex, mate switching and reproductive success. Acta Ornithol. 2013, 48, 237–244. [Google Scholar] [CrossRef]
- Ens, B.J.; Safriel, U.N.; Harris, M.P. Divorce in the long-lived and monogamous oystercather, haematopus ostralegus incompatibility or choosing the better option? Anim. Behav. 1993, 45, 1199–1217. [Google Scholar] [CrossRef]
- Zack, S.; Stutchbury, B.J. Delayed Breeding in Avian Social Systems: The Role of Territory Quality and “Floater” Tactics. Behaviour 1992, 123, 194–219. [Google Scholar] [CrossRef]
- Switzer, P.V. Site fidelity in predictable and unpredictable habitats. Evol. Ecol. 1993, 7, 533–555. [Google Scholar] [CrossRef]
- Johannesen, E.; Perriman, L.; Steen, H. The effect of breeding success on nest and colony fidelity in the Little Penguin (Eudyptula minor) in Otago, New Zealand. Emu 2002, 102, 241–247. [Google Scholar] [CrossRef]
- Rogers, T.; Knight, C. Burrow and mate fidelity in the Little Penguin Eudyptula minor at Lion Island, New South Wales, Australia. IBIS 2006, 148, 801–806. [Google Scholar] [CrossRef]
- Naves, L.C.; Monnat, J.Y.; Cam, E. Breeding performance, mate fidelity, and nest site fidelity in a long-lived seabird: Behaving against the current? OIKOS 2006, 115, 263–276. [Google Scholar] [CrossRef]
- Mariné, M.; Cadiou, B. Breeding success, nest site fidelity and mate fidelity in the European Storm-petrel Hydrobates pelagicus. Seabird 2019, 32, 46–58. [Google Scholar]
- Robert, A.; Paiva, V.H.; Bolton, M.; Jiguet, F.; Bried, J. Nest fidelity is driven by multi-scale information in a long-lived seabird. Proc. R. Soc. B Biol. Sci. 2014, 281, 20141692. [Google Scholar] [CrossRef] [PubMed]
- Bourgeois, K.; Dromzée, S.; Vidal, E. Relationships between nest-cavity and mate selection, reproductive performance and fidelity in the mediterranean endemic yelkouan shearwater puffinus yelkouan. Acta Ornithol. 2014, 49, 9–22. [Google Scholar] [CrossRef]
- Bradley, J.S.; Wooller, R.D.; Skira, I.J.; Serventy, D.L. The Influence of Mate Retention and Divorce Upon Reproductive Success in Short-Tailed Shearwaters Puffinus tenuirostris. J. Anim. Ecol. 1990, 59, 487–496. [Google Scholar] [CrossRef]
- Thibault, J.C. Nest-site tenacity and mate fidelity in relation to breeding success in cory’s shearwater Calonectris diomedea. Bird Study 1994, 41, 25–28. [Google Scholar] [CrossRef]
- Pyle, P.; Sydeman, W.J.; Hester, M. Effects of age, breeding experience, mate fidelity and site fidelity on breeding performance in a declining population of Cassin’s auklets. J. Anim. Ecol. 2001, 70, 1088–1097. [Google Scholar] [CrossRef]
- Greenwood, P.J.; Harvey, P.H. The natal and breeding dispersal of birds. Annu. Rev. Ecol. Syst. 1982, 13, 1–21. [Google Scholar] [CrossRef]
- Bried, J.; Pontier, D.; Jouventin, P. Mate fidelity in monogamous birds: A re-examination of the Procellariiformes. Anim. Behav. 2003, 65, 235–246. [Google Scholar] [CrossRef]
- Sacchi, M.; Santoro, S.; Culina, A.; Pollonara, E.; Cozzo, M.; Pezzo, F.; Baccetti, N. Sex-specific fitness consequences of mate change in Scopoli’s shearwaters (Calonectris diomedea). Anim. Behav. 2023, in press.
- Sangster, G.; Collinson, J.M.; Crochet, P.A.; Knox, A.G.; Parkin, D.T.; Votier, S.C. Taxonomic recommendations for British birds: Eighth report. IBIS 2012, 154, 874–883. [Google Scholar] [CrossRef]
- González-Solís, J.; Croxall, J.P.; Oro, D.; Ruiz, X. Trans-equatorial migration and mixing in the wintering areas of a pelagic seabird. Front. Ecol. Environ. 2007, 5, 297–301. [Google Scholar] [CrossRef]
- Navarro, J. Foraging segregation between two closely related shearwaters breeding in sympatry. Biol. Lett. 2009, 5, 545–548. [Google Scholar] [CrossRef]
- De Felipe, F.; Reyes-González, J.M.; Militão, T.; Neves, V.C.; Bried, J.; Oro, D.; Ramos, R.; González-Solís, J. Does sexual segregation occur during the nonbreeding period? A comparative analysis in spatial and feeding ecology of three Calonectris shearwaters. Ecol. Evol. 2019, 9, 10145–10162. [Google Scholar] [CrossRef]
- Morera-Pujol, V.; Catry, P.; Magalhães, M.; Péron, C.; Reyes-González, J.M.; Granadeiro, J.P.; Militão, T.; Dias, M.P.; Oro, D.; Dell’Omo, G.; et al. Methods to detect spatial biases in tracking studies caused by differential representativeness of individuals, populations and time. Divers. Distrib. 2023, 29, 19–38. [Google Scholar] [CrossRef]
- Mougin, J.-L. The Influence of Colony Characteristics on Some Breeding Parameters in the Cory’s Shearwater (Calonectris Diomedea Borealis). Ardeola 1999, 46, 45–51. [Google Scholar]
- Bried, J.; Dubois, M.-P.; Jarne, P.; Jouventin, P.; Santos, R.S. Does Competition for Nests Affect Genetic Monogamy in Cory’s Shearwater Calonectris Diomedea? J. Avian Biol. 2010, 41, 407–418. [Google Scholar] [CrossRef]
- Cachia Zammit, R.; Borg, J.J. Notes on the Breeding Biology of the Cory’s Shearwater in the Maltese Islands. Il-Merril 1987, 24, 1–9. [Google Scholar]
- Borg, J.J.; Sultana, J. Aspects of the Breeding Biology of Cory’s Shearwater (Calonectris Diomedea) in the Maltese Island. Die Vogelwarte 2000, 40, 258–264. [Google Scholar]
- Ristow, D.; Feldmann, F.; Scharlau, W.; Wink, M. Population Structure, Philopatry and Mortality of Cory’s Shearwater Calonectris d. Diomedea. Die Vogelwelt 1990, 111, 172–181. [Google Scholar]
- Swatschek, I.; Ristow, D.; Wink, M. Mate Fidelity and Parentage in Cory’s Shearwater Calonectris Diomedea-Field Studies and DNA Fingerprinting. Mol. Ecol. 1994, 3, 259–262. [Google Scholar] [CrossRef]
- Sanz-Aguilar, A.; Tavecchia, G.; Genovart, M.; Igual, J.M.; Oro, D.; Rouan, L.; Pradel, R. Studying the Reproductive Skipping Behavior in Long-Lived Birds by Adding Nest Inspection to Individual-Based Data. Ecol. Appl. 2011, 21, 555–564. [Google Scholar] [CrossRef]
- Gotti, C.; De Pascalis, F.; Zenatello, M.; Cecere, J.G.; Baccetti, N. Piano d’azione transfrontaliero per la conservazione della Berta maggiore e della Berta minore nel bacino ligure e alto-tirrenico. In Relazione Finale Convenzione ISPRA–PNAT; Progetto GIREPAM: Ozzano dell’Emilia (BO), Italy, 2020; 37p. [Google Scholar]
- Capizzi, D.; Baccetti, N.; Sposimo, P. Fifteen Years of Rat Eradication on Italian Islands. In Problematic Wildlife: A Cross-Disciplinary Approach; Springer: Cham, Switzerland, 2016; pp. 205–227. ISBN 9783319222462. [Google Scholar]
- Ristow, D.; Wink, M. Sexual dimorphism of Cory’s shearwater. Il-Merril 1980, 21, 9–12. [Google Scholar]
- Bretagnolle, V.; Lequette, B. Structural Variation in the Call of the Cory’s Shearwater (Calonectris diomedea, Aves, Procellariidae). Ethology 1990, 85, 313–323. [Google Scholar] [CrossRef]
- Curé, C.; Mathevon, N.; Aubin, T. Mate vocal recognition in the Scopoli’s shearwater Calonectris diomedea: Do females and males share the same acoustic code? Behav. Process. 2016, 128, 96–102. [Google Scholar] [CrossRef]
- Lebreton, J.D.; Pradel, R. Multistate recapture models: Modelling incomplete individual histories. J. Appl. Stat. 2002, 29, 353–369. [Google Scholar] [CrossRef]
- Pradel, R. Multievent: An extension of multistate capture-recapture models to uncertain states. Biometrics 2005, 61, 442–447. [Google Scholar] [CrossRef]
- Lebreton, J.D.; Nichols, J.D.; Barker, R.J.; Pradel, R.; Spendelow, J.A. Chapter 3 Modeling Individual Animal Histories with Multistate Capture-Recapture Models. In Advances in Ecological Research; Caswell, H., Ed.; Academic Press: Burlington, NJ, USA, 2009; Volume 41, pp. 87–173. ISBN 9780123749253. [Google Scholar]
- Choquet, R.; Lebreton, J.-D.; Gimenez, O.; Reboulet, A.-M.; Pradel, R. U-CARE: Utilities for performing goodness of fit tests and manipulating CApture-REcapture data. Ecography 2009, 32, 1071–1074. [Google Scholar] [CrossRef]
- Choquet, R.; Reboulet, A.; Lebreton, J.-D.; Gimenez, O.; Pradel, R. U-CARE 3.3 User’s Manual; CEFE: Montpellier, France, 2020. [Google Scholar]
- Choquet, R.; Nogue, E. E-SURGE 1.8 User’s Manual; UMR 5175; CEFE: Montpellier, France, 2011. [Google Scholar]
- Woller, R.; Bradley, S. Monogamy in a long-lived seabird: The Short-tailed Shearwater. In Partnerships in Birds: The Study of Monogamy; Black, J.M., Ed.; The Wildfowl and Wetlands Trust: Slimbridge, Glocestershire, UK, 1996; p. 223. [Google Scholar]
- Mougin, J.-L. Age-dependant adult survival in the Corys Shearwater (Calonectris diomedea). Avocetta 2002, 26, 7–9. [Google Scholar]
- Forslund, P.; Pärt, T. Age and reproduction in birds—Hypotheses and tests. Trends Ecol. Evol. 1995, 10, 374–378. [Google Scholar] [CrossRef]
- Burnham, K.P.; Anderson, D.R. A practical information-theoretic approach. In Model Selection and Multimodel Inference; Springer: New York, NY, USA, 2002; pp. 70–71. [Google Scholar]
- Dugger, K.M.; Ballard, G.; Ainley, D.G.; Barton, K.J. Effects of flipper bands on foraging behavior and survival of Adélie Penguins (Pygoscelis adeliae). Auk 2006, 123, 858–869. [Google Scholar] [CrossRef]
- Morin, D.J.; Yackulic, C.B.; Diffendorfer, J.E.; Lesmeister, D.B.; Nielsen, C.K.; Reid, J.; Schauber, E.M. Is your ad hoc model selection strategy affecting your multimodel inference? Ecosphere 2020, 11, e02997. [Google Scholar] [CrossRef]
- Seber, G.A.F. The Estimation of Animal Abundance and Related Parameters; Blackburn Press: Caldweel, NJ, USA, 1982; Volume 8. [Google Scholar]
- Gimenez, O.; Choquet, R.; Lamor, L.; Scofield, P.; Fletcher, D.; Lebreton, J.D.; Pradel, R. Efficient profile-likehood confidence intervals for capture-recapture models. J. Agric. Biol. Environ. Stat. 2005, 10, 184–196. [Google Scholar] [CrossRef]
- Tavecchia, G.; Viedma, C.; Martínez-Abraín, A.; Bartolomé, M.A.; Gómez, J.A.; Oro, D. Maximizing re-introduction success: Assessing the immediate cost of release in a threatened waterfowl. Biol. Conserv. 2009, 142, 3005–3012. [Google Scholar] [CrossRef]
- Santoro, S.; Green, A.J.; Figuerola, J. Immigration enhances fast growth of a newly established source Population. Ecology 2016, 97, 1048–1057. [Google Scholar] [CrossRef] [PubMed]
- Li, X.Y.; Kokko, H. Sex-biased dispersal: A review of the theory. Biol. Rev. 2019, 94, 721–736. [Google Scholar] [CrossRef]
- Vergara, P.; Aguirre, J.I.; Fargallo, J.A.; Dávila, J.A. Nest-site fidelity and breeding success in White Stork Ciconia ciconia. IBIS 2006, 148, 672–677. [Google Scholar] [CrossRef]
- Thibault, J.C.; Bretagnolle, V.; Rabouam, C. Calonectris diomedea Cory’s shearwater. Birds West. Palearct. Updat. 1997, 1, 75–98. [Google Scholar]
- Hipfner, J.M.; McFarlane-Tranquilla, L.A.; Addison, B. Experimental evidence that both timing and parental quality affect breeding success in a zooplanktivorous seabird. Auk 2010, 127, 195–203. [Google Scholar] [CrossRef]
- Chastel, O.; Weimerskirch, H.; Jouventin, P. Influence of body condition on reproductive decision and reproductive success in the Blue Petrel. Auk 1995, 112, 964–972. [Google Scholar] [CrossRef]
- Lescroël, A.; Dugger, K.M.; Ballard, G.; Ainley, D.G. Effects of individual quality, reproductive success and environmental variability on survival of a long-lived seabird. J. Anim. Ecol. 2009, 78, 798–806. [Google Scholar] [CrossRef] [PubMed]
- Mauck, R.A.; Huntington, C.E.; Grubb, T.C. Age-specific reproductive success: Evidence for the selection hypothesis. Evolution 2004, 58, 880–885. [Google Scholar] [CrossRef] [PubMed]
- Lagrange, P.; Gimenez, O.; Doligez, B.; Pradel, R.; Garant, D.; Pelletier, F.; Bélisle, M. Assessment of individual and conspecific reproductive success as determinants of breeding dispersal of female tree swallows: A capture–recapture approach. Ecol. Evol. 2017, 7, 7334–7346. [Google Scholar] [CrossRef]
- Doligez, B.; Danchin, E.; Clobert, J.; Gustafsson, L. The use of conspecific reproductive success for breeding habitat selection in a non-colonial, hole-nesting species, the collared flycatcher. J. Anim. Ecol. 1999, 68, 1193–1206. [Google Scholar] [CrossRef]
- Oro, D.; Cam, E.; Pradel, R.; Martínez-Abraín, A. Influence of food availability on demography and local population dynamics in a long-lived seabird. Proc. R. Soc. B Biol. Sci. 2004, 271, 387–396. [Google Scholar] [CrossRef]
- Danchin, E.; Boulinier, T.; Massot, M. Conspecific Reproductive Success and Breeding Habitat Selection: Implications for the Study of Coloniality. Ecology 1998, 79, 2415–2428. [Google Scholar] [CrossRef]
- Brooke, M. The Manx Shearwater; Black, A., Ed.; A&C Black: London, UK, 2013. [Google Scholar]
- Barbraud, C.; Delord, K. Selection against immigrants in wild seabird populations. Ecol. Lett. 2021, 24, 84–93. [Google Scholar] [CrossRef]
- Jenouvrier, S.; Tavecchia, G.; Thibault, J.C.; Choquet, R.; Bretagnolle, V. Recruitment processes in long-lived species with delayed maturity: Estimating key demographic parameters. OIKOS 2008, 117, 620–628. [Google Scholar] [CrossRef]
Disclaimer/Publisher’s Note: The statements, opinions and data contained in all publications are solely those of the individual author(s) and contributor(s) and not of MDPI and/or the editor(s). MDPI and/or the editor(s) disclaim responsibility for any injury to people or property resulting from any ideas, methods, instructions or products referred to in the content. |
© 2023 by the authors. Licensee MDPI, Basel, Switzerland. This article is an open access article distributed under the terms and conditions of the Creative Commons Attribution (CC BY) license (https://creativecommons.org/licenses/by/4.0/).



