Navigating Storms: Examining Vultures’ Behavior in Response to Extreme Weather Events
Abstract
1. Introduction
2. Materials and Methods
2.1. Study Area
2.2. Vulture Data
2.3. Extreme Weather Events
2.4. Data Analysis
3. Results
4. Discussion
Supplementary Materials
Author Contributions
Funding
Institutional Review Board Statement
Informed Consent Statement
Data Availability Statement
Conflicts of Interest
References
- Brown, J.H.; Lomolino, M.V. Biogeography, 2nd ed.; Sinauer Associates, Inc.: Sunderland, MA, USA, 1998. [Google Scholar]
- Monahan, W.B.; Fisichelli, N.A. Climate exposure of U.S. national parks in a new era of change. PLoS ONE 2014, 9, e101302. [Google Scholar] [CrossRef] [PubMed]
- Martinuzzi, S.; Allstadt, A.J.; Bateman, B.L.; Heglund, P.J.; Pidgeon, A.M.; Thogmartin, W.E.; Vavrus, S.J.; Radeloff, V.C. Future frequencies of extreme weather events in the National Wildlife Refuges of the conterminous US. Biol. Conserv. 2016, 201, 327–335. [Google Scholar] [CrossRef]
- Stephenson, D.B.; Diaz, H.F.; Murnane, R.J. Definition, diagnosis, and origin of extreme weather and climate events. Clim. Extrem. Soc. 2008, 340, 11–23. [Google Scholar]
- Reyer, C.P.; Leuzinger, S.; Rammig, A.; Wolf, A.; Bartholomeus, R.P.; Bonfante, A.; de Loenzi, F.; Dury, M.; Glonig, P.; Jaoudé, R.A.; et al. A plant’s perspective of extremes: Terrestrial plant responses to changing climatic variability. Glob. Change Biol. 2013, 19, 75–89. [Google Scholar] [CrossRef] [PubMed]
- Hufkens, K.; Friedl, M.A.; Kennan, T.F.; Sonnentag, O.; Bailey, A.; O’Keefe, J.; Richardson, A.D. Ecological impacts of a widespread frost event following early spring leaf-out. Glob. Change Biol. 2012, 18, 2365–2377. [Google Scholar] [CrossRef]
- Slenning, B.D. Global climate change and implications for disease emergence. Vet. Pathol. 2010, 47, 28–33. [Google Scholar] [CrossRef]
- Patrick, C.J.; Kominoski, J.S.; McDowell, W.H.; Branoff, B.; Lagomasino, D.; Leon, M.; Hensel, E.; Hensel, M.J.S.; Strickland, B.A.; Aide, T.M.; et al. A general pattern of trade-offs between ecosystem resistance and resilience to tropical cyclones. Sci. Adv. 2022, 8, eabl9155. [Google Scholar] [CrossRef] [PubMed]
- Ancillotto, L.; Santini, L.; Ranc, N.; Maiorano, L.; Russo, D. Extraordinary range expansion in a common bat: The potential roles of climate change and urbanisation. Sci. Nat. 2016, 103, 15. [Google Scholar] [CrossRef]
- Pomara, L.Y.; LeDee, O.E.; Martin, K.J.; Zuckerberg, B. Demographic consequences of climate change and land cover help explain a history of extirpations and range contraction in a declining snake species. Glob. Change Biol. 2014, 20, 2087–2099. [Google Scholar] [CrossRef]
- Waide, R.B. Summary of the response of animal populations to hurricanes in the Caribbean. Biotropica 1991, 23, 508–512. [Google Scholar] [CrossRef]
- Newton, I. Population Limitation in Birds; Academic Press: San Diego, CA, USA, 1998. [Google Scholar]
- Morcillo, D.O.; Steiner, U.K.; Grayson, K.L.; Ruiz-Lambides, A.V.; Hernández-Pacheco, R. Hurricane-induced demographic changes in a non-human primate population. R. Soc. Open Sci. 2020, 7, 200173. [Google Scholar] [CrossRef]
- Martínez-Ruiz, M.; Rueda-Hernández, R.; Renton, K. Vulture abundance and habitat association following major hurricane disturbance in the tropical dry forest of western Mexico. J. Raptor Res. 2021, 55, 413–424. [Google Scholar] [CrossRef]
- Nisbet, I.C.T.; Spendelow, J.A. Contribution of research to management and recovery of the Roseate Tern: Review of a twelve-year project. Waterbirds Int. J. Waterbird Biol. 1999, 22, 239–252. [Google Scholar] [CrossRef]
- Wiley, J.W.; Wunderle, J.M. The effects of hurricanes on birds, with special reference to Caribbean islands. Bird Conserv. Int. 1993, 3, 319–349. [Google Scholar] [CrossRef]
- Perdomo-Velázquez, H.E.; Andresen Vega, E.; Schondube, J.E.; Cuarón, A.D. Effects of hurricanes on the understory forest birds of Cozumel Island. Trop. Conserv. Sci. 2017, 10, 1940082917737759. [Google Scholar] [CrossRef]
- Abernathy, H.N.; Crawford, D.A.; Garrison, E.P.; Chandler, R.B.; Conner, M.L.; Miller, K.V.; Cherry, M.J. Deer movement and resource selection during Hurricane Irma: Implications for extreme climatic events and wildlife. Proc. R. Soc. B Biol. Sci. 2019, 286, 20192230. [Google Scholar] [CrossRef]
- Streby, H.M.; Kramer, G.R.; Peterson, S.M.; Lehman, J.A.; Buehler, D.A.; Andersen, D.E. Tornadic storm avoidance behavior in breeding songbirds. Curr. Biol. 2015, 25, 98–102. [Google Scholar] [CrossRef] [PubMed]
- Mellone, U.; López-López, P.; Limiñana, R.; Urios, V. Weather conditions promote route flexibility during open ocean crossing in a long-distance migratory raptor. Int. J. Biometeorol. 2011, 55, 463–468. [Google Scholar] [CrossRef]
- Nathan, R.; Getz, W.M.; Revilla, E.; Holyoak, M.; Kadmon, R.; Saltz, D.; Smouse, P.E. A movement ecology paradigm for uni-fying organismal movement research. Proc. Natl. Acad. Sci. USA 2008, 105, 19052–19059. [Google Scholar] [CrossRef]
- Bildstein, K.L. Raptors: The Curious Nature of Diurnal Birds of Prey; Cornell University Press: Ithaca, NY, USA, 2017. [Google Scholar]
- Weimerskirch, H.; Prudor, A. Cyclone avoidance behaviour by foraging seabirds. Sci. Rep. 2019, 9, 5400. [Google Scholar] [CrossRef]
- Coleman, J.S.; Fraser, J.D. Habitat use and home ranges of black and turkey vultures. J. Wildl. Manag. 1989, 53, 782–792. [Google Scholar] [CrossRef]
- Holland, A.E.; Byrne, M.E.; Hepinstall-Cymerman, J.; Bryan, A.L.; DeVault, T.L.; Rhodes, O.E.; Beasley, J.C. Evidence of niche differentiation for two sympatric vulture species in the Southeastern United States. Mov. Ecol. 2019, 7, 31. [Google Scholar] [CrossRef] [PubMed]
- Thompson, W.L.; Yahner, R.H.; Storm, G.L. Winter use and habitat characteristics of vulture communal roosts. J. Wildl. Manag. 1990, 54, 77–83. [Google Scholar] [CrossRef]
- Buchholz, R.; Banusiewicz, J.D.; Burgess, S.; Crocker-Buta, S.; Eveland, L.; Fuller, L. Behavioural research priorities for the study of animal response to climate change. Anim. Behav. 2019, 150, 127–137. [Google Scholar] [CrossRef]
- CEC. Ecological Regions of North America; Commission for Environmental Cooperation: Québec, QC, Canada, 1997. [Google Scholar]
- Beck, H.E.; Zimmermann, N.E.; McVicar, T.R.; Vergopolan, N.; Berg, A.; Wood, E.F. Present and future Köppen-Geiger climate classification maps at 1-km resolution. Sci. Data 2018, 5, 180214. [Google Scholar] [CrossRef] [PubMed]
- NOAA National Centers for Environmental Information. Climate at a Glance: Divisional Mapping. 2022. Available online: https://www.ncdc.noaa.gov/cag/ (accessed on 7 June 2022).
- Dewitz, J. National Land Cover Database (NLCD) 2019 Products. ver. 2.0, June 2021 edn; U.S. Geological Survey: Reston, VA, USA, 2021. [CrossRef]
- Meyburg, B.-U.; Fuller, M.R. Spatial tracking: Satellite tracking. In Raptor Research and Management Techniques; Bird, D.M., Bildstein, K.L., Eds.; Hancock House Publishers: Blaine, WA, USA, 2007; pp. 242–248. [Google Scholar]
- Blake, E.; Berg, R.; Hagen, A. Tropical Cyclone Report: Hurricane Zeta (AL282020); National Hurricane Center: University Park, FL, USA, 2021. [Google Scholar]
- NOAA National Centers for Environmental Information. State of the Climate: Monthly National Climate Report for February 2021. 2021. Available online: https://www.ncei.noaa.gov/access/monitoring/monthly-report/national/202102 (accessed on 3 June 2022).
- NOAA Weather Prediction Center. Storm Summary Number 4 for Southern Plains to Mid-Atlantic and Northeast Winter Storm. 2021. Available online: https://www.wpc.ncep.noaa.gov/storm_summaries/2021/storm5/stormsum_4.html (accessed on 3 June 2022).
- NOAA National Weather Service. 2021 NWS Jackson/Mississippi Tornado Information. 2021. Available online: https://www.weather.gov/jan/2021tornadoinfo (accessed on 3 June 2022).
- Signer, J.; Fieberg, J.; Avgar, T. Animal movement tools (amt): R package for managing tracking data and conducting habitat selection analyses. Ecol. Evol. 2019, 9, 880–890. [Google Scholar] [CrossRef]
- R Development Core Team. R: A Language and Environment for Statistical Computing; R Foundation for Statistical Computing: Vienna, Austria, 2019. [Google Scholar]
- Canty, A.; Ripley, B. Boot: Bootstrap R (S-Plus) Functions. R Package Version 1.3-23. 2019. Available online: https://cran.r-project.org/web/packages/boot/index.html (accessed on 20 October 2022).
- Dimiceli, C.; Carroll, M.; Sohlberg, R.; Kim, D.H.; Kelly, M.; Townshend, J.R.G. MOD44B MODIS/Terra Vegetation Continuous Fields Yearly L3 Global 250 m SIN Grid V006; NASA EOSDIS Land Processes DAAC: Washington, DC, USA, 2015. [Google Scholar] [CrossRef]
- Johnson, D.H. The comparison of usage and availability measurements for evaluating resource preference. Ecology 1980, 61, 65–71. [Google Scholar] [CrossRef]
- Manly, B.F.; McDonald, L.; Thomas, D.L.; McDonald, T.L.; Erickson, W.P. Resource Selection by Animals: Statistical Design and Analysis for Field Studies; Springer: Dordrecht, The Netherlands, 2002. [Google Scholar]
- Thurfjell, H.; Ciuti, S.; Boyce, M.S. Applications of step-selection functions in ecology and conservation. Mov. Ecol. 2014, 2, 4. [Google Scholar] [CrossRef]
- Mandel, J.T.; Bildstein, K.L. Turkey Vultures use anthropogenic thermals to extend their daily activity period. Wilson J. Ornithol. 2007, 119, 102–105. [Google Scholar] [CrossRef]
- Bowman, H.S.; Bedard, A.J. Observations of Infrasound and Subsonic Disturbances Related to Severe Weather. Geophys. J. Int. 1971, 26, 215–242. [Google Scholar] [CrossRef]
- Hagstrum, J.T. Infrasound and the avian navigational map. J. Exp. Biol. 2000, 203, 1103–1111. [Google Scholar] [CrossRef] [PubMed]
- Bedard, A.J. Waterfall low-frequency vibrations and infrasound: Implications for avian migration and hazard detection. J. Comp. Physiol. A 2021, 207, 685–700. [Google Scholar] [CrossRef]
- Lisney, T.J.; Stecyk, K.; Kolominsky, J.; Graves, G.R.; Wylie, D.R.; Iwaniuk, A.N. Comparison of eye morphology and retinal topography in two species of New World vultures (Aves: Cathartidae). Anat. Rec. 2013, 296, 1954–1970. [Google Scholar] [CrossRef]
- Grigg, N.P.; Krilow, J.M.; Gutierrez-Ibanez, C.; Wylie, D.R.; Graves, G.R.; Iwaniuk, A.N. Anatomical evidence for scent guided foraging in the Turkey Vulture. Sci. Rep. 2017, 7, 17408. [Google Scholar] [CrossRef] [PubMed]
- Garay-Barayazarra, G.; Puri, R.K. Smelling the monsoon: Senses and traditional weather forecasting knowledge among the Kenyah Badeng farmers of Sarawak, Malaysia. Indian J. Tradit. Knowl. 2011, 10, 21–30. [Google Scholar]
- Paul, S.K.; Routray, J.K. An Analysis of the Causes of Non-Responses to Cyclone Warnings and the Use of Indigenous Knowledge for Cyclone Forecasting in Bangladesh. In Climate Change and Disaster Risk Management. Climate Change Management; Leal Filho, W., Ed.; Springer: Berlin/Heidelberg, Germany, 2013. [Google Scholar] [CrossRef]
- Brooks, E.M. Tornadoes and Related Phenomena. In Compendium of Meteorology: Prepared under the Direction of the Committee on the Compendium of Meteorology; Malone, T.F., Ed.; American Meteorological Society: Boston, MA, USA, 1951; pp. 673–680. [Google Scholar] [CrossRef]
- Bear, I.J.; Thomas, R.G. Nature of Argillaceous Odour. Nature 1964, 201, 993–995. [Google Scholar] [CrossRef]
- Carey, C.; Dawson, W.R. A search for environmental cues used by birds in survival of cold winters. Curr. Ornithol. 1999, 15, 1–31. [Google Scholar]
- Breuner, C.W.; Sprague, R.S.; Patterson, S.H.; Woods, H.A. Environment, behavior and physiology: Do birds use barometric pressure to predict storms? J. Exp. Biol. 2013, 216, 1982–1990. [Google Scholar] [CrossRef]
- Williams, H.; Shepard, E.L.C.; Holton, M.D.; Alarcón, P.A.E.; Wilson, R.P.; Lambertucci, S.A. Physical limits of flight performance in the heaviest soaring bird. Proc. Natl. Acad. Sci. USA 2020, 117, 17884–17890. [Google Scholar] [CrossRef] [PubMed]
- Byrne, M.E.; Holland, A.E.; Turner, K.L.; Bryan, A.L.; Beasley, J.C. Using multiple data sources to investigate foraging niche partitioning in sympatric obligate avian scavengers. Ecosphere 2019, 10, e02548. [Google Scholar] [CrossRef]
- Mallon, J.M.; Bildstein, K.L.; Fagan, W.F. Inclement weather forces stopovers and prevents migratory progress for obligate soaring migrants. Mov. Ecol. 2021, 9, 39. [Google Scholar] [CrossRef] [PubMed]
- Buckley, N.J.; Kluever, B.M.; Driver, R.; Rush, S.A. Black Vulture (Coragyps atratus), version 2.0. In Birds of the World; Rodewald, P.G., Keeney, B.K., Eds.; Cornell Lab of Ornithology: Ithaca, NY, USA, 2022. [Google Scholar] [CrossRef]
- Kirk, D.A.; Mossman, M.J. Turkey Vulture (Cathartes aura), version 2.0. In Birds of the World; Rodewald, P.G., Keeney, B.K., Eds.; Cornell Lab of Ornithology: Ithaca, NY, USA, 2020. [Google Scholar] [CrossRef]
- Sonerud, G.A. Effect of snow cover on seasonal changes in diet, habitat, and regional distribution of raptors that prey on small mammals in boreal zones of Fennoscandia. Holarct. Ecol. 1986, 9, 33–47. [Google Scholar] [CrossRef]
- Keyser, S.R.; Fink, D.; Gudex-Cross, D.; Radeloff, V.C.; Pauli, J.N.; Zuckerberg, B. Snow cover dynamics: An overlooked yet important feature of winter bird occurrence and abundance across the United States. Ecography 2023, 2023, e06378. [Google Scholar] [CrossRef]
- Graves, G.R. Sexual monomorphism in wing loading and wing aspect ratio in Black Vulture (Coragyps atratus) and Turkey Vulture (Cathartes aura). Proc. Biol. Soc. Wash. 2017, 130, 240–249. [Google Scholar] [CrossRef] [PubMed]
- Mallon, J.M.; Bildstein, K.L.; Katzner, T.E. In-flight turbulence benefits soaring birds. Auk 2016, 133, 79–85. [Google Scholar] [CrossRef]
- Santos, L.H.; Santos, C.D.; Da Silva, M.L. The limits of olfactory perception in Black Vultures: A field experiment. Ethol. Ecol. Evol. 2022. [Google Scholar] [CrossRef]





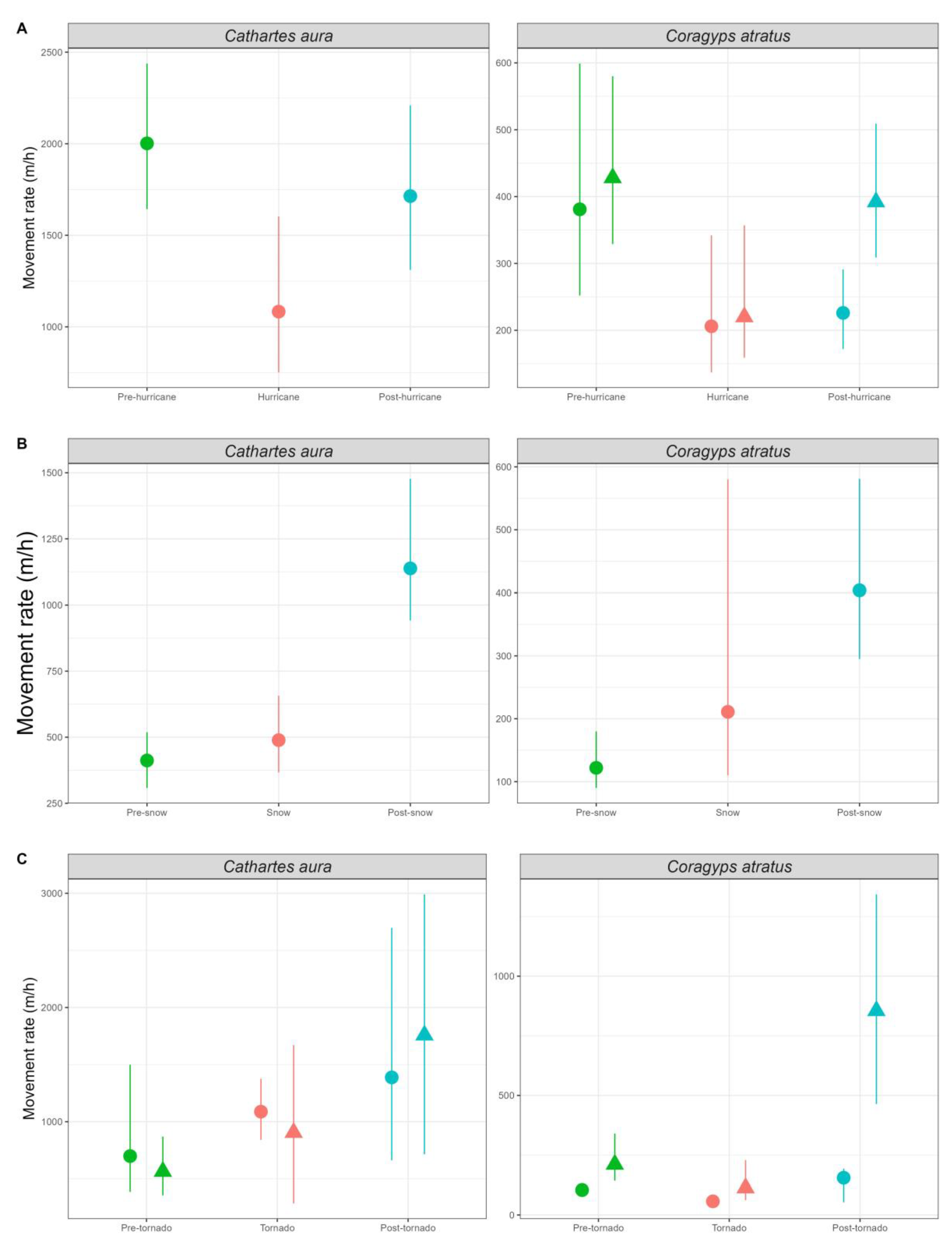
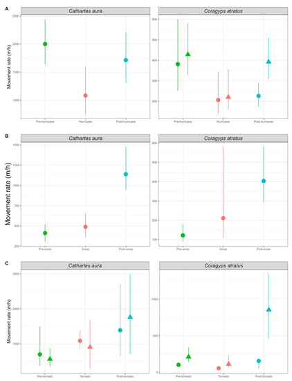
| Species | n | Impacted | Weather | Movement Rate | NSD |
|---|---|---|---|---|---|
| Cathartes aura | 7 | Yes | Pre-hurricane | 2002 (1643–2438) | 2206 (1111–4432) |
| Hurricane | 1083 (751–1603) | 3722 (1544–7057) | |||
| Post-hurricane | 1714 (1311–2209) | 3524 (1686–6282) | |||
| Coragyps atratus | 5 | Yes | Pre-hurricane | 381 (252–599) | 143 (33–258) |
| Hurricane | 206 (137–342) | 1232 (35–4101) | |||
| Post-hurricane | 226 (172–291) | 2409 (57–9331) | |||
| 12 | No | Pre-hurricane | 428 (329–580) | 133 (45–424) | |
| Hurricane | 220 (159–357) | 305 (68–787) | |||
| Post-hurricane | 392 (309–509) | 754 (109–2600) | |||
| Cathartes aura | 7 | Yes | Pre-snow | 412 (308–519) | 131 (29–295) |
| Snow | 489 (367–657) | 68 (25–120) | |||
| Post-snow | 1138 (942–1477) | 315 (100–579) | |||
| Coragyps atratus | 13 | Pre-snow | 122 (90–180) | 23 (3–107) | |
| Snow | 211 (110–580) | 45 (17–120) | |||
| Post-snow | 404 (295–581) | 142 (65–263) | |||
| Cathartes aura | 4 | Yes | Pre-tornado | 699 (388–1499) | 10 (1–26) |
| Tornado | 1088 (841–1376) | 369 (17–712) | |||
| Post-tornado | 1388 (662–2698) | 426 (24–829) | |||
| 5 | No | Pre-tornado | 564 (357–870) | 9 (3–20) | |
| Tornado | 905 (286–1671) | 73 (4–156) | |||
| Post-tornado | 1758 (715–2991) | 588 (111–1064) | |||
| Coragyps atratus | 2 | Yes | Pre-tornado | 104 (95–117) | 1 (0.8–1) |
| Tornado | 57 (48–57) | 0.0278 (0.0226–0.0279) | |||
| Post-tornado | 155 (53–193) | 0.78 (0.43–0.78) | |||
| 8 | No | Pre-tornado | 211 (143–340) | 1.55 (0.378–3.41) | |
| Tornado | 113 (62–229) | 19.4 (2.26–82.39) | |||
| Post-tornado | 855 (464–1343) | 984 (42–3769) |
Disclaimer/Publisher’s Note: The statements, opinions and data contained in all publications are solely those of the individual author(s) and contributor(s) and not of MDPI and/or the editor(s). MDPI and/or the editor(s) disclaim responsibility for any injury to people or property resulting from any ideas, methods, instructions or products referred to in the content. |
© 2023 by the authors. Licensee MDPI, Basel, Switzerland. This article is an open access article distributed under the terms and conditions of the Creative Commons Attribution (CC BY) license (https://creativecommons.org/licenses/by/4.0/).
Share and Cite
Naveda-Rodríguez, A.; Rush, S.A. Navigating Storms: Examining Vultures’ Behavior in Response to Extreme Weather Events. Diversity 2023, 15, 441. https://doi.org/10.3390/d15030441
Naveda-Rodríguez A, Rush SA. Navigating Storms: Examining Vultures’ Behavior in Response to Extreme Weather Events. Diversity. 2023; 15(3):441. https://doi.org/10.3390/d15030441
Chicago/Turabian StyleNaveda-Rodríguez, Adrián, and Scott A. Rush. 2023. "Navigating Storms: Examining Vultures’ Behavior in Response to Extreme Weather Events" Diversity 15, no. 3: 441. https://doi.org/10.3390/d15030441
APA StyleNaveda-Rodríguez, A., & Rush, S. A. (2023). Navigating Storms: Examining Vultures’ Behavior in Response to Extreme Weather Events. Diversity, 15(3), 441. https://doi.org/10.3390/d15030441

