The Necessity of Maintaining the Resilience of Peri-Urban Forests to Secure Environmental and Ecological Balance: A Case Study of Forest Stands Located on the Romanian Sector of the Pannonian Plain
Abstract
1. Introduction
2. Materials and Methods
3. Results
3.1. Descriptive Statistics
3.2. Fitting of Experimental Diameter Distribution
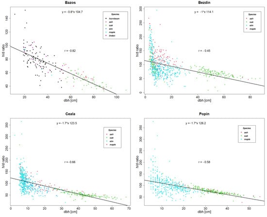
3.3. Stand Stability Height-to-Diameter Ratio (h/d Ratio) in Relation to Diameter and Species
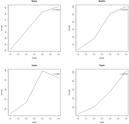
3.4. Stand Stability Height-to-Diameter Ratio (h/d Ratio) in Relation to Wood Quality
4. Discussion
5. Conclusions
Author Contributions
Funding
Institutional Review Board Statement
Informed Consent Statement
Data Availability Statement
Conflicts of Interest
References
- Wang, X.; Khurshid, A.; Qayyum, S.; Calin, A.C. The Role of Green Innovations, Environmental Policies and Carbon Taxes in Achieving the Sustainable Development Goals of Carbon Neutrality. Environ. Sci. Pollut. Res. 2022, 29, 8393–8407. [Google Scholar] [CrossRef]
- Whyte, K. Indigenous Climate Change Studies: Indigenizing Futures, Decolonizing the Anthropocene. Engl. Lang. Notes 2017, 55, 153–162. [Google Scholar] [CrossRef]
- Mora, C.; Spirandelli, D.; Franklin, E.C.; Lynham, J.; Kantar, M.B.; Miles, W.; Smith, C.Z.; Freel, K.; Moy, J.; Louis, L.V.; et al. Broad Threat to Humanity from Cumulative Climate Hazards Intensified by Greenhouse Gas Emissions. Nat. Clim. Chang. 2018, 8, 1062–1071. [Google Scholar] [CrossRef]
- Forzieri, G.; Bianchi, A.; Silva, F.B.E.; Marin Herrera, M.A.; Leblois, A.; Lavalle, C.; Aerts, J.C.J.H.; Feyen, L. Escalating Impacts of Climate Extremes on Critical Infrastructures in Europe. Glob. Environ. Chang. 2018, 48, 97–107. [Google Scholar] [CrossRef]
- Ouyang, Z.; Sciusco, P.; Jiao, T.; Feron, S.; Lei, C.; Li, F.; John, R.; Fan, P.; Li, X.; Williams, C.A.; et al. Albedo Changes Caused by Future Urbanization Contribute to Global Warming. Nat. Commun. 2022, 13, 3800. [Google Scholar] [CrossRef]
- Muntean, M.; Guizzardi, D.; Schaaf, E.; Crippa, M.; Solazzo, E.; Olivier, J.; Vignati, E. Fossil CO2 Emissions of All World Countries; Publications Office of the European Union: Luxembourg, 2018; Volume 2. [Google Scholar]
- Gurmesa, G.A.; Wang, A.; Li, S.; Peng, S.; de Vries, W.; Gundersen, P.; Ciais, P.; Phillips, O.L.; Hobbie, E.A.; Zhu, W.; et al. Retention of Deposited Ammonium and Nitrate and Its Impact on the Global Forest Carbon Sink. Nat. Commun. 2022, 13, 880. [Google Scholar] [CrossRef] [PubMed]
- Baumgartner, R.J. Sustainable Development Goals and the Forest Sector-A Complex Relationship. Forests 2019, 10, 152. [Google Scholar] [CrossRef]
- Börner, J.; Schulz, D.; Wunder, S.; Pfaff, A. The Effectiveness of Forest Conservation Policies and Programs. Annu. Rev. Resour. Econ. 2020, 12, 45–64. [Google Scholar] [CrossRef]
- Mansoor, S.; Farooq, I.; Kachroo, M.M.; Mahmoud, A.E.D.; Fawzy, M.; Popescu, S.M.; Alyemeni, M.N.; Sonne, C.; Rinklebe, J.; Ahmad, P. Elevation in Wildfire Frequencies with Respect to the Climate Change. J. Environ. Manag. 2022, 301, 113769. [Google Scholar] [CrossRef]
- Moosmann, L.; Siemons, A.; Fallasch, F.; Schneider, L.; Urrutia, C.; Wissner, N.; Oppelt, D. The COP26 Climate Change Conference. In Proceedings of the Glasgow Climate Change Conference, Glasgow, Scotland, 31 October–12 November 2021. [Google Scholar]
- Krishnan, R.; Agarwal, R.; Bajada, C.; Arshinder, K. Redesigning a Food Supply Chain for Environmental Sustainability – An Analysis of Resource Use and Recovery. J. Clean. Prod. 2020, 242, 118374. [Google Scholar] [CrossRef]
- Wen, C.; Dong, W.; Zhang, Q.; He, N.; Li, T. A System Dynamics Model to Simulate the Water-Energy-Food Nexus of Resource-Based Regions: A Case Study in Daqing City, China. Sci. Total Environ. 2022, 806, 150497. [Google Scholar] [CrossRef] [PubMed]
- Lambin, E.F.; Gibbs, H.K.; Ferreira, L.; Grau, R.; Mayaux, P.; Meyfroidt, P.; Morton, D.C.; Rudel, T.K.; Gasparri, I.; Munger, J. Estimating the World’s Potentially Available Cropland Using a Bottom-up Approach. Glob. Environ. Chang. 2013, 23, 892–901. [Google Scholar] [CrossRef]
- Kurowska, K.; Kryszk, H.; Marks-Bielska, R.; Mika, M.; Leń, P. Conversion of Agricultural and Forest Land to Other Purposes in the Context of Land Protection: Evidence from Polish Experience. Land Use Policy 2020, 95, 104614. [Google Scholar] [CrossRef]
- Bastin, J.F.; Finegold, Y.; Garcia, C.; Gellie, N.; Lowe, A.; Mollicone, D.; Rezende, M.; Routh, D.; Sacande, M.; Sparrow, B.; et al. Response to Comments on “The Global Tree Restoration Potential”. Science 2019, 366, eaay8108. [Google Scholar] [CrossRef] [PubMed]
- Holl, K.D.; Brancalion, P.H.S. Tree Planting Is Not a Simple Solution. Science 2020, 368, 580–581. [Google Scholar] [CrossRef] [PubMed]
- Hernández-Morcillo, M.; Torralba, M.; Baiges, T.; Bernasconi, A.; Bottaro, G.; Brogaard, S.; Bussola, F.; Díaz-Varela, E.; Geneletti, D.; Grossmann, C.M.; et al. Scanning the Solutions for the Sustainable Supply of Forest Ecosystem Services in Europe. Sustain. Sci. 2022, 17, 2013–2029. [Google Scholar] [CrossRef] [PubMed]
- Watson, J.E.M.; Evans, T.; Venter, O.; Williams, B.; Tulloch, A.; Stewart, C.; Thompson, I.; Ray, J.C.; Murray, K.; Salazar, A.; et al. The Exceptional Value of Intact Forest Ecosystems. Nat. Ecol. Evol. 2018, 2, 599–610. [Google Scholar] [CrossRef] [PubMed]
- Makovníková, J.; Kološta, S.; Flaška, F.; Pálka, B. Potential of Regulating Ecosystem Services in Relation to Natural Capital in Model Regions of Slovakia. Sustainability 2023, 15, 1076. [Google Scholar] [CrossRef]
- Frank, G.; Müller, F. Voluntary Approaches in Protection of Forests in Austria. Environ. Sci. Policy 2003, 6, 261–269. [Google Scholar] [CrossRef]
- Bončina, A.; Simončič, T.; Rosset, C. Assessment of the Concept of Forest Functions in Central European Forestry. Environ. Sci. Policy 2019, 99, 123–135. [Google Scholar] [CrossRef]
- Pilli, R.; Pase, A. Forest Functions and Space: A Geohistorical Perspective of European Forests. IForest 2018, 11, 79. [Google Scholar] [CrossRef]
- Tiemann, A.; Ring, I. Towards Ecosystem Service Assessment: Developing Biophysical Indicators for Forest Ecosystem Services. Ecol. Indic. 2022, 137, 108704. [Google Scholar] [CrossRef]
- Nicolescu, V.-N. 1.1 Romanian Forests and Forestry: An Overview. In Plan B for Romania’s Forests and Society; Universitatea “Transilvania”: Braşov, Romania, 2022; pp. 39–48. [Google Scholar]
- Nowak, D.J.; Walton, J.T.; Dwyer, J.F.; Kaya, L.G.; Myeong, S. The Increasing Influence of Urban Environments on US Forest Management. J. For. 2005, 103, 377–382. [Google Scholar]
- Henwood, K.; Pidgeon, N. Talk about Woods and Trees: Threat of Urbanization, Stability, and Biodiversity. J. Environ. Psychol. 2001, 21, 125–147. [Google Scholar] [CrossRef]
- Funk, J.M.; Aguilar-Amuchastegui, N.; Baldwin-Cantello, W.; Busch, J.; Chuvasov, E.; Evans, T.; Griffin, B.; Harris, N.; Ferreira, M.N.; Petersen, K.; et al. Securing the Climate Benefits of Stable Forests. Clim. Policy 2019, 19, 845–860. [Google Scholar] [CrossRef]
- Berger, F.; Rey, F. Mountain Protection Forests against Natural Hazards and Risks: New French Developments by Integrating Forests in Risk Zoning. Nat. Hazards 2004, 33, 395–404. [Google Scholar] [CrossRef]
- Wonn, H.T.; O’Hara, K.L. Height:Diameter Ratios and Stability Relationships for Four Northern Rocky Mountain Tree Species. West. J. Appl. For. 2001, 16, 87–94. [Google Scholar] [CrossRef]
- O’Hara Kevin, L. What Is Close-to-Nature Silviculture in a Changing World? Forestry 2016, 89, 1–6. [Google Scholar] [CrossRef]
- Qin, Y.; He, X.; Lei, X.; Feng, L.; Zhou, Z.; Lu, J. Tree Size Inequality and Competition Effects on Nonlinear Mixed Effects Crown Width Model for Natural Spruce-Fir-Broadleaf Mixed Forest in Northeast China. For. Ecol. Manag. 2022, 518, 120291. [Google Scholar] [CrossRef]
- Bosela, M.; Lukac, M.; Castagneri, D.; Sedmák, R.; Biber, P.; Carrer, M.; Konôpka, B.; Nola, P.; Nagel, T.A.; Popa, I.; et al. Contrasting Effects of Environmental Change on the Radial Growth of Co-Occurring Beech and Fir Trees across Europe. Sci. Total Environ. 2018, 615, 1460–1469. [Google Scholar] [CrossRef]
- Cukor, J.; Vacek, Z.; Vacek, S.; Linda, R.; Podrázský, V. Biomass Productivity, Forest Stability, Carbon Balance, and Soil Transformation of Agricultural Land Afforestation: A Case Study of Suitability of Native Tree Species in the Submontane Zone in Czechia. Catena 2022, 210, 105893. [Google Scholar] [CrossRef]
- Zhang, L.; Bi, H.; Cheng, P.; Davis, C.J. Modeling Spatial Variation in Tree Diameter-Height Relationships. For. Ecol. Manag. 2004, 189, 317–329. [Google Scholar] [CrossRef]
- Raptis, D.I.; Kazana, V.; Kazaklis, A.; Stamatiou, C. Mixed-Effects Height–Diameter Models for Black Pine (Pinus Nigra Arn.) Forest Management. Trees -Struct. Funct. 2021, 35, 1167–1183. [Google Scholar] [CrossRef]
- Crecente-Campo, F.; Tomé, M.; Soares, P.; Diéguez-Aranda, U. A Generalized Nonlinear Mixed-Effects Height–Diameter Model for Eucalyptus Globulus L. in Northwestern Spain. For. Ecol. Manag. 2010, 259, 943–952. [Google Scholar] [CrossRef]
- Ozcelik, R. Tree Species Diversity of Natural Mixed Stands in Eastern Black Sea and Western Mediterranean Region of Turkey. J. Environ. Biol. 2009, 30, 6. [Google Scholar]
- Kang, H.; Seely, B.; Wang, G.; Cai, Y.; Innes, J.; Zheng, D.; Chen, P.; Wang, T. Simulating the Impact of Climate Change on the Growth of Chinese Fir Plantations in Fujian Province, China. N. Z. J. For. Sci. 2017, 47, 1–14. [Google Scholar] [CrossRef]
- Huang, S.; Wiens, D.P.; Yang, Y.; Meng, S.X.; Vanderschaaf, C.L. Assessing the Impacts of Species Composition, Top Height and Density on Individual Tree Height Prediction of Quaking Aspen in Boreal Mixedwoods. For. Ecol. Manag. 2009, 258, 1235–1247. [Google Scholar] [CrossRef]
- Vanclay, J.K. Tree Diameter, Height and Stocking in Even-Aged Forests. Ann. For. Sci. 2009, 66, 1–7. [Google Scholar] [CrossRef]
- Giurgiu, V.; Decei, I.; Drăghiciu, D. Metode şi Tabele Metode şi Tabele Dendrometrice [Methods and Yield Tables]; Editura Ceres: Bucharest, Romania, 2004; pp. 27–575. [Google Scholar]
- Budeanu, M.; Apostol, E.N.; Popescu, F.; Postolache, D.; Ioniţă, L. Testing of the Narrow Crowned Norway Spruce Ideotype (Picea Abies f. Pendula) and the Hybrids with Normal Crown Form (Pyramidalis) in Multisite Comparative Trials. Sci. Total Environ. 2019, 689, 980–990. [Google Scholar] [CrossRef]
- Pascu, I.-S.; Dobre, A.-C.; Badea, O.; Andrei Tanase, M. Estimating Forest Stand Structure Attributes from Terrestrial Laser Scans. Sci. Total Environ. 2019, 691, 205–215. [Google Scholar] [CrossRef]
- Chivulescu, S.; Ciceu, A.; Leca, S.; Apostol, B.; Popescu, O.; Badea, O. Development Phases and Structural Characteristics of the Penteleu-Viforata Virgin Forest in the Curvature Carpathians. Iforest 2020, 13, 389–395. [Google Scholar] [CrossRef]
- Grosjean, P.; Ibanez, F. Package for Analysis of Space-Time Ecological Series. PASTECS, R Package, Version 1.2-0 for R v. 2.0. 0 & Version 1.0-1 for S+ 2000 rel. 2004. Available online: https://cran.r-project.org/web/packages/pastecs/pastecs.pdf (accessed on 17 January 2023).
- Hogg, R.V.; Craig, A.T. Some Special Distributions. Introd. Math. Stat. 1978, 1, 156–168. [Google Scholar]
- Sharif, M.N.; Islam, M.N. The Weibull Distribution as a General Model for Forecasting Technological Change. Technol. Forecast. Soc. Chang. 1980, 18, 247–256. [Google Scholar] [CrossRef]
- Chivulescu, Ș.; Pitar, D.; Apostol, B.; Leca, Ș.; Badea, O. Importance of Dead Wood in Virgin Forest Ecosystem Functioning in Southern Carpathians. Forests 2022, 13, 409. [Google Scholar] [CrossRef]
- Stephens, M.A. Tests of Fit for the Logistic Distribution Based on the Empirical Distribution Function. Biometrika 1979, 66, 591–595. [Google Scholar] [CrossRef]
- Team, R.C. R: A Language and Environment for Statistical Computing; R Foundation for Statistical Computing: Vienna, Austria, 2009; Available online: https://cir.nii.ac.jp/crid/1570854175843385600 (accessed on 17 January 2023).
- Giurgiu, V. Metode ale Statisticii Matematice Aplicate în Silvicultură [Mathematical Statistical Methods Applied in Forestry]; Ceres: Bucharest, Romania, 1972. [Google Scholar]
- Monserud, R.A.; Sterba, H. A Basal Area Increment Model for Individual Trees Growing in Even- and Uneven-Aged Forest Stands in Austria. For. Ecol. Manag. 1996, 80, 57–80. [Google Scholar] [CrossRef]
- Roessiger, J.; Ficko, A.; Clasen, C.; Griess, V.C.; Knoke, T. Variability in Growth of Trees in Uneven-Aged Stands Displays the Need for Optimizing Diversified Harvest Diameters. Eur. J. For. Res. 2016, 135, 283–295. [Google Scholar] [CrossRef]
- Bayat, M.; Bettinger, P.; Heidari, S.; Khalyani, A.H.; Jourgholami, M.; Hamidi, S.K. Estimation of Tree Heights in an Uneven-Aged, Mixed Forest in Northern Iran Using Artificial Intelligence and Empirical Models. Forests 2020, 11, 324. [Google Scholar] [CrossRef]
- Pretzsch, H. The Course of Tree Growth. Theory and Reality. For. Ecol. Manag. 2020, 478, 118508. [Google Scholar] [CrossRef]
- Zhang, L.; Gove, J.H.; Liu, C.; Leak, W.B. A Finite Mixture of Two Weibull Distributions for Modeling the Diameter Distributions of Rotated-Sigmoid, Uneven-Aged Stands. Can. J. For. Res. 2001, 31, 1654–1659. [Google Scholar] [CrossRef]
- Bergeron, Y.; Leduc, A.; Harvey, B.D.; Gauthier, S. Natural Fire Regime: A Guide for Sustainable Management of the Canadian Boreal Forest. Silva Fenn. 2002, 36, 81–95. [Google Scholar] [CrossRef]
- Bebbington, M.; Lai, C.D.; Zitikis, R. A Flexible Weibull Extension. Reliab. Eng. Syst. Saf. 2007, 92, 719–726. [Google Scholar] [CrossRef]
- Mitchell, B. A Comparison of Chi-Square and Kolmogorov-Smirnov Tests. Area 1971, 3, 237–241. [Google Scholar]
- Blood, A.; Starr, G.; Escobedo, F.; Chappelka, A.; Staudhammer, C. How Do Urban Forests Compare? Tree Diversity in Urban and Periurban Forests of the Southeastern US. Forests 2016, 7, 120. [Google Scholar] [CrossRef]
- Grimm, V.; Wissel, C. Babel, or the Ecological Stability Discussions: An Inventory and Analysis of Terminology and a Guide for Avoiding Confusion. Oecologia 1997, 109, 323–334. [Google Scholar] [CrossRef]
- Motta, R.; Haudemand, J.-C. Protective Forests and Silvicultural Stability. Mt. Res. Dev. 2000, 20, 180–187. [Google Scholar] [CrossRef]
- Wilson, J.S.; Oliver, C.D. Stability and Density Management in Douglas-Fir Plantations. Can. J. For. Res. 2000, 30, 910–920. [Google Scholar] [CrossRef]
- Harrington, T.B.; Harrington, C.A.; DeBell, D.S. Effects of Planting Spacing and Site Quality on 25-Year Growth and Mortality Relationships of Douglas-Fir (Pseudotsuga Menziesii Var. Menziesii). For. Ecol. Manag. 2009, 258, 18–25. [Google Scholar] [CrossRef]
- Valenzuela, C.E.; Ballesta, P.; Maldonado, C.; Baettig, R.; Arriagada, O.; Mafra, G.S.; Mora, F. Bayesian Mapping Reveals Large-Effect Pleiotropic QTLs for Wood Density and Slenderness Index in 17-Year-Old Trees of Eucalyptus Cladocalyx. Forests 2019, 10, 241. [Google Scholar] [CrossRef]
- 67. Chivulescu, S.; Leca, S.; Ciceu, A.; Pitar, D.; Apostol, B. Predictors of wood quality of trees in primary forests in the Southern Carpathians. Poljoprivreda i Sumarstvo 2019, 65, 13. [Google Scholar] [CrossRef]
- Brazier, J.D. The Effect of Forest Practices on Quality of the Harvested Crop. Forestry 1977, 50, 49–66. [Google Scholar] [CrossRef]
- Bodin, P.; Wiman, B.L.B. The Usefulness of Stability Concepts in Forest Management When Coping with Increasing Climate Uncertainties. For. Ecol. Manag. 2007, 242, 541–552. [Google Scholar] [CrossRef]
- Pretzsch, H.; Rais, A. Wood Quality in Complex Forests versus Even-Aged Monocultures: Review and Perspectives. Wood Sci Technol 2016, 50, 845–880. [Google Scholar] [CrossRef]
- Drew, D.M.; Downes, G.M.; Seifert, T.; Eckes-Shepard, A.; Achim, A. A Review of Progress and Applications in Wood Quality Modelling. Curr. For. Rep. 2022, 8, 317–332. [Google Scholar] [CrossRef]
- Boncina, A.; Cavlovic, J.; Curovic, M.; Govedar, Z.; Klopcic, M.; Medarevic, M. A Comparative Analysis of Recent Changes in Dinaric Uneven-Aged Forests of the NW Balkans. Forestry 2014, 87, 71–84. [Google Scholar] [CrossRef]
- Tu, G.; Abildtrup, J.; Garcia, S. Preferences for Urban Green Spaces and Peri-Urban Forests: An Analysis of Stated Residential Choices. Landsc. Urban Plan. 2016, 148, 120–131. [Google Scholar] [CrossRef]
- Lawrence, A.; Deuffic, P.; Hujala, T.; Nichiforel, L.; Feliciano, D.; Jodlowski, K.; Lind, T.; Marchal, D.; Talkkari, A.; Teder, M.; et al. Extension, Advice and Knowledge Systems for Private Forestry: Understanding Diversity and Change across Europe. Land Use Policy 2020, 94, 104522. [Google Scholar] [CrossRef]
- Nichiforel, L.; Schanz, H. Property Rights Distribution and Entrepreneurial Rent-Seeking in Romanian Forestry: A Perspective of Private Forest Owners. Eur. J. For. Res. 2011, 130, 369–381. [Google Scholar] [CrossRef]
- Seto, K.C.; Fragkias, M.; Güneralp, B.; Reilly, M.K. A Meta-Analysis of Global Urban Land Expansion. PLoS ONE 2011, 6, e23777. [Google Scholar] [CrossRef]
- INSSE Oficial Website of Romanian National Institute of Statistics. Available online: https://insse.ro/cms/en (accessed on 15 January 2023).
- Timis County Council, Romania Timis County Council Information Report. Available online: https://www.cjtimis.ro/infocjt/admin/upload/9wv26dmxrpb3.pdf (accessed on 7 December 2022).
- Elands, B.H.M.; O’Leary, T.N.; Boerwinkel, H.W.J.; Wiersum, K.F. Forests as a Mirror of Rural Conditions; Local Views on the Role of Forests across Europe. Proc. For. Policy Econ. 2004, 6, 469–482. [Google Scholar] [CrossRef]





| Research Plot | Coordinates | Number of Trees per Hectare | Minimum dbh (cm) | Maximum dbh (cm) | Average dbh (cm) | Standard Deviation of dbh (s) | Variance of dbh (s2) | Coefficient of Variance (s %) |
|---|---|---|---|---|---|---|---|---|
| Bazos | 46°08′07″ N 21°00′32″ E | 203 | 11.50 | 108.00 | 47.07 | 22.69 | 514.97 | 48 |
| Bezdin | 46°09′39.2″ N 21°07′39.8″ E | 722 | 2.67 | 87.5 | 18.65 | 18.34 | 336.59 | 98 |
| Ceala | 46°10′04.9″ N 21°16′33.1″ E | 664 | 2.35 | 68.25 | 18.20 | 15.52 | 240.93 | 85 |
| Popin | 45°45′18.9″ N 21°25′47.3″ E | 607 | 4.00 | 55.00 | 20.87 | 11.49 | 132.08 | 55 |
| Research Plot | Distribution | Testing the Null Hypothesis with the Test | |||||
|---|---|---|---|---|---|---|---|
| Chi-Square Criterion | Kolmogorov–Smirnov | ||||||
| Experimental Value | Theoretical Value (α = 0.05) | Differences | Experimental Value | Theoretical Value (α = 0.05) | Differences | ||
| Bazos | Normal | 81.87 | 237.24 | insignificant | 0.16 | 0.09 | significant |
| Weibull | 56.52 | insignificant | 0.13 | significant | |||
| Gamma | 48.51 | insignificant | 0.11 | significant | |||
| Bezdin | Normal | 1200.83 | 785.62 | significant | 0.22 | 0.05 | significant |
| Weibull | 357.49 | insignificant | 0.12 | significant | |||
| Gamma | 350.50 | insignificant | 0.13 | significant | |||
| Ceala | Normal | 1606.92 | 724.01 | significant | 0.25 | 0.05 | significant |
| Weibull | 738.48 | insignificant | 0.18 | significant | |||
| Gamma | 689.18 | insignificant | 0.19 | significant | |||
| Popin | Normal | 127.75 | 662.28 | insignificant | 0.10 | 0.05 | significant |
| Weibull | 75.86 | insignificant | 0.08 | significant | |||
| Gamma | 91.87 | insignificant | 0.09 | significant | |||
Disclaimer/Publisher’s Note: The statements, opinions and data contained in all publications are solely those of the individual author(s) and contributor(s) and not of MDPI and/or the editor(s). MDPI and/or the editor(s) disclaim responsibility for any injury to people or property resulting from any ideas, methods, instructions or products referred to in the content. |
© 2023 by the authors. Licensee MDPI, Basel, Switzerland. This article is an open access article distributed under the terms and conditions of the Creative Commons Attribution (CC BY) license (https://creativecommons.org/licenses/by/4.0/).
Share and Cite
Chivulescu, S.; Cadar, N.; Hapa, M.; Capalb, F.; Radu, R.G.; Badea, O. The Necessity of Maintaining the Resilience of Peri-Urban Forests to Secure Environmental and Ecological Balance: A Case Study of Forest Stands Located on the Romanian Sector of the Pannonian Plain. Diversity 2023, 15, 380. https://doi.org/10.3390/d15030380
Chivulescu S, Cadar N, Hapa M, Capalb F, Radu RG, Badea O. The Necessity of Maintaining the Resilience of Peri-Urban Forests to Secure Environmental and Ecological Balance: A Case Study of Forest Stands Located on the Romanian Sector of the Pannonian Plain. Diversity. 2023; 15(3):380. https://doi.org/10.3390/d15030380
Chicago/Turabian StyleChivulescu, Serban, Nicolae Cadar, Mihai Hapa, Florin Capalb, Raul Gheorghe Radu, and Ovidiu Badea. 2023. "The Necessity of Maintaining the Resilience of Peri-Urban Forests to Secure Environmental and Ecological Balance: A Case Study of Forest Stands Located on the Romanian Sector of the Pannonian Plain" Diversity 15, no. 3: 380. https://doi.org/10.3390/d15030380
APA StyleChivulescu, S., Cadar, N., Hapa, M., Capalb, F., Radu, R. G., & Badea, O. (2023). The Necessity of Maintaining the Resilience of Peri-Urban Forests to Secure Environmental and Ecological Balance: A Case Study of Forest Stands Located on the Romanian Sector of the Pannonian Plain. Diversity, 15(3), 380. https://doi.org/10.3390/d15030380

