Abstract
Earthworm invasions often reduce biodiversity and affect the ability of ecosystems to perform ecosystem functions. Over the past few decades, European lumbricid species have spread widely in natural habitats in Western Siberia, without completely displacing the native species. The aim of the present experiment is to study the survival, reproductive potential, vertical distribution, abundance, and biomass of Aporrectodea caliginosa and Lumbricus rubellus invasive species for the region and the native species Eisenia nordenskioldi and their influence on each other. For this purpose, winter and vegetation experiments were conducted in mesocosms simulating the real situation of invasions in the same communities on the same types of soils with the same amount and composition of litter. The authors found that the native species was significantly inferior to A. caliginosa in reproduction rate, number of offspring, and final biomass, but had an advantage over L. rubellus. The native species was positively influenced by the presence of A. caliginosa. In the experiment, there was a significant rejuvenation of the populations of the studied species, as well as an increase in abundance and relative mass under interaction conditions compared to mono variants. The native species had advantages over the invasive species in terms of winter survival. The natural volume of litter used in the experiment was insufficient for L. rubellus. According to the results of the experiment, it can be assumed that the spread of L. rubellus will continue to be limited to non-freezing biotopes rich in organic matter. A. caliginosa will spread in natural communities and agrocenoses of Western Siberia.
1. Introduction
Species invasions are the cause of threats to the wellbeing of the biosphere and society [1]. Changes in the species composition of ecosystem engineers, which include earthworms [2], are of particular importance. Earthworm invasions can lead to cascading changes in ecosystems [3] and their ability to perform ecosystem functions [4]. The distribution of alien species of earthworms covers all continents [5,6]. In most areas, native species of earthworms are encountered, except for regions where this group was originally absent due to Holocene glaciation. As a result of such a collision, native species can either be displaced or coexist [7,8,9,10]. Alien species of earthworms, once in the same habitat as the native ones, can have a variety of effects on each other: positive, neutral, or/and negative [11,12]. The more species involved in the interaction, the higher the number of negative effects [11]. Ecosystems where species introductions are relatively recent and where native and alien species interact are of great interest to researchers. Such an area is the West Siberian plain of Eurasia, where predominantly one native species, Eisenia nordenskioldi (Eisen, 1879), and several invasive species occupying the leading role in the communities, are distributed [13]. According to genetic studies, Aporrectodea caliginosa (Savigny, 1826) (endogeic) appeared in the south of Western Siberia about 100–200 years ago [14] and by now has occupied most natural biotopes of the forest-steppe zone of Western Siberia [13,15,16]. Until 2003, Lumbricus rubellus (Hoffmeister, 1843) (epi-endogeic), which has spread widely recently, mainly in river valleys, vegetable gardens, and plantations, was not noted by researchers [17,18].
The goal of the present experiment is to study the characteristics of invasive and native species in separate and shared habitats, which would allow for predicting the possibility of further distribution of invasive species, as well as their impact on the native species and ecosystems. The main questions this study is designed to answer are as follows:
- What is the reproductive potential of the invasive species A. caliginosa and L. rubellus compared to the native E. nordenskioldi?
- Do species interactions affect each other’s reproductive performance, survival, and vertical distribution?
- Are the quantity and quality of litter characteristics of natural habitats a limitation for invasive species?
- Can invasive species tolerate the freezing soils in the absence of additional heat sources in the form of accumulations of organic matter?
Answers to these questions can be obtained under the conditions of experiments conducted in winter and vegetation periods, simulating the real situation of invasions in the same communities on the same types of soils with the same amount and composition of litter.
2. Materials and Methods
2.1. Experimental Site
The simulation experiment was conducted in natural herb-grass meadows (Elytrigia repens + Bromopsis inermis + Xanthium strumarium) on common Calcic Chernozems surrounded by birch groves (Betula pendula + Fragaria viridis). The coordinates of the experimental site are 54°58’50.8 "N 73°18’10.1" E. The forest floor consists mainly of the leaves of Populus nigra and Betula pendula. In this habitat type, as well as in its transformed variant, all three studied species occur: native, sixth genetic lineage (L6) of E. nordenskioldi nordenskioldi (epi-endogeic), invasive, second genetic lineage (L2) of A. caliginosa caliginosa (endogeic), and A genetic lineage (A) of L. rubellus (epi-endogeic). Species were identified by E.V. Golovanova according to the key to the earthworms of Russia [19], with the clarification of the names according to R. Blackmore [20]. All sequences obtained were deposited in GenBank under accession numbers MK618513, JX531526, JX531527, JX531528, JX531529, JX531530, JX531531, JX531532, JX531533, JX531534, JX531535, JX531536, KF471853, KF471854, KF471855, KF471857, KF471858, and OQ283687. Data from genetic studies by species E. nordenskioldi and A. caliginosa were published earlier by Shekhovtsov et al. [14,21,22,23]. The soils were characterised by a small amount of organic matter, 5.5 ± 0.5−6.3 ± 0.6% in terms of carbon (photometric method), a neutral reaction of soil water extract, 6.86 ± 0.3, the proportion of valuable size fraction (1 to 5 mm), 50 ± 7% in the soil structure, and significant content of clay (44.1%) relative to sand (18.8%). In terms of anionic composition, the studied soils belonged to non-saline soils. Calcium (47.8 ± 1.6 g/kg), potassium (17.2 ± 0.9), and magnesium (8.63 ± 0.27) dominated among the cations. Nitrate ions (104.6 ± 15.6) dominated the anionic composition.
2.2. Preparation of Soils, Litter, and Worms
Soils were selected layer by layer from pits in which mesocosms were placed, sieved through soil sieves with 5 mm holes to separate roots and soil macrofauna, and mixed. Forest litter was collected from birch-poplar forests, dried, and manually analyzed to extract twigs and soil macrofauna.
The worms of each species in separate containers were sprinkled with water and incubated on moist filter paper to release the intestinal contents and weighed. Only sexually mature individuals were used for the experiment. The worms were placed in vessels. The total number of worms in the vessel, regardless of the variant, was 12 mature individuals.
2.3. Mesocosms
Plastic tubes were used as mesocosms with a diameter of 31 cm (0.075 m2) in the vegetation experiment and 25 cm (0.049 m2) in the winter experiment and of different lengths to allow vertical movement of the worms to the specified maximum depth. Silk bolting cloth No. 76 was attached at the bottom and top of the pipes. The cloth was secured to limit the entry of worms from outside and the exit of lumbricides from the mesocosms. Rainwater seeped through the silk bolting cloth. There was no additional cover over the mesocosms. Sieved soil was placed in the vessels in layers, repeating the natural soil profile, and dry litter of 100 g/vessel was placed on top. The soil in the vessels was moistened with tap water. Mesocosms were incubated without worms for 5 days.
2.4. Experiment Design during the Vegetation Period
Mesocosms 40 cm deep were used for the experiment. There were 8 variants in the study during the growing season: mono-species, two-species, three-species, and control. The experiment was created in a fully randomized block design with five repetitions. There were 40 mesocosms in total. The experiment lasted four months, from June to October. Soil moisture in mesocosms was maintained at 60% during the growing season.
2.5. Experiment Design during the Winter Period
In the winter experiment, there were four variants of the experiment, which differed in the depth of mesocosms (50, 100, 150, 200 cm). Loggers (iButton DS1922L-F5) were placed at the soil surface, as well as at depths of 2, 50, 100, 150, and 200 cm. The winter experiment was set up in October and removed in May and lasted 7.5 months. Three species of earthworms were placed in mesocosms. The density of each species was 83 individuals/m2.
2.6. Statistical Analysis
Data normality was checked by the Shapiro-Wilk test at a critical level of significance p = 0.05, and the homogeneity of samples was checked by the Levene test at a critical level of significance p = 0.05 (Statistica 13.3).
In the case of normal distribution and homogeneity of the samples, the results were processed using descriptive statistics, one-factor, two-factor, and three-factor analysis of variance, as well as multiple regression analysis. The post-hoc Tukey’s test for equal samples was used for the following pairwise comparison of significant results of the analysis of variance. To analyze the effect of experiment variation on the amount of litter, the authors used a sample of eight variants and a three-factor analysis of variance, where each species was considered as a factor. To analyze the effect of the presence of earthworm species on each sample, the research team considered one of the species as control and used variants where this species is combined with others. In this case, a two-factor analysis was used. To test the hypothesis of equality of mean values corresponding to different variants of the experiments, the authors applied a one-factor analysis of variance and used data from the monovariants and data without controls.
If the sample did not meet the criteria of parametric tests, the Kruskal-Wallis analysis, followed by a comparison of the mean ranks for all groups and the Spearman rank correlation, were used.
3. Results
3.1. Vegetation Experiment
3.1.1. Survival and Reproductive Potential of Species in a Monospecies Experiment
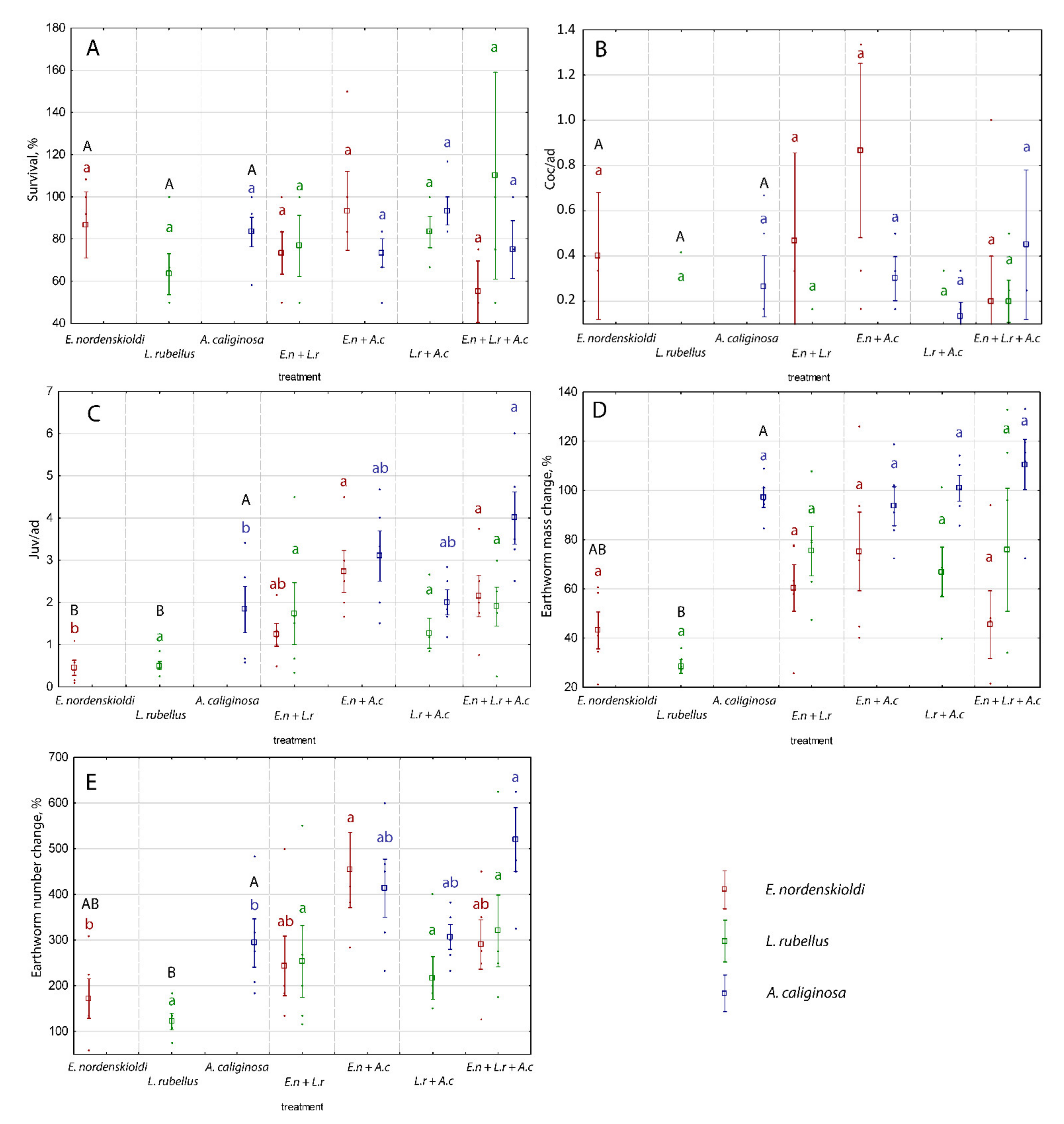
The native species E. nordenskioldi had a better survival rate of sexually mature individuals placed in mesocosms (p = 0.03). The percentage of surviving individuals in E. nordenskioldi was 24% higher than in L. rubellus and 5% higher than in A. caliginosa, but the Tukey test showed no significant difference (Figure 1A). The number of cocoons laid per sexually mature worm did not differ significantly among the studied species (Figure 1B), but the number of juvenile individuals was different (p = 0.02). The maximum number of juvenile worms was found in A. caliginosa (1.9 ± 0.5 individuals per sexually mature worm), which was 4.2 times higher than in the native species (p = 0.03) and 3.8 times higher than in L. rubellus (p = 0.04).
Figure 1.
Indicators of earthworm population in different variants of the vegetation experiment in mesocosms (Mean ± SE, raw data). (A) survival rate of sexually mature animals, % of the initial number, (B) productivity, number of cocoons/number of sexually mature individuals, (C) number of immature/number of sexually mature, (D) % of the starting biomass, and (E) % of the initial number. Variants with different letters show significant differences (α = 0.05 Tukey HSD). Capital letters show differences between species; small letters—between the treatments.
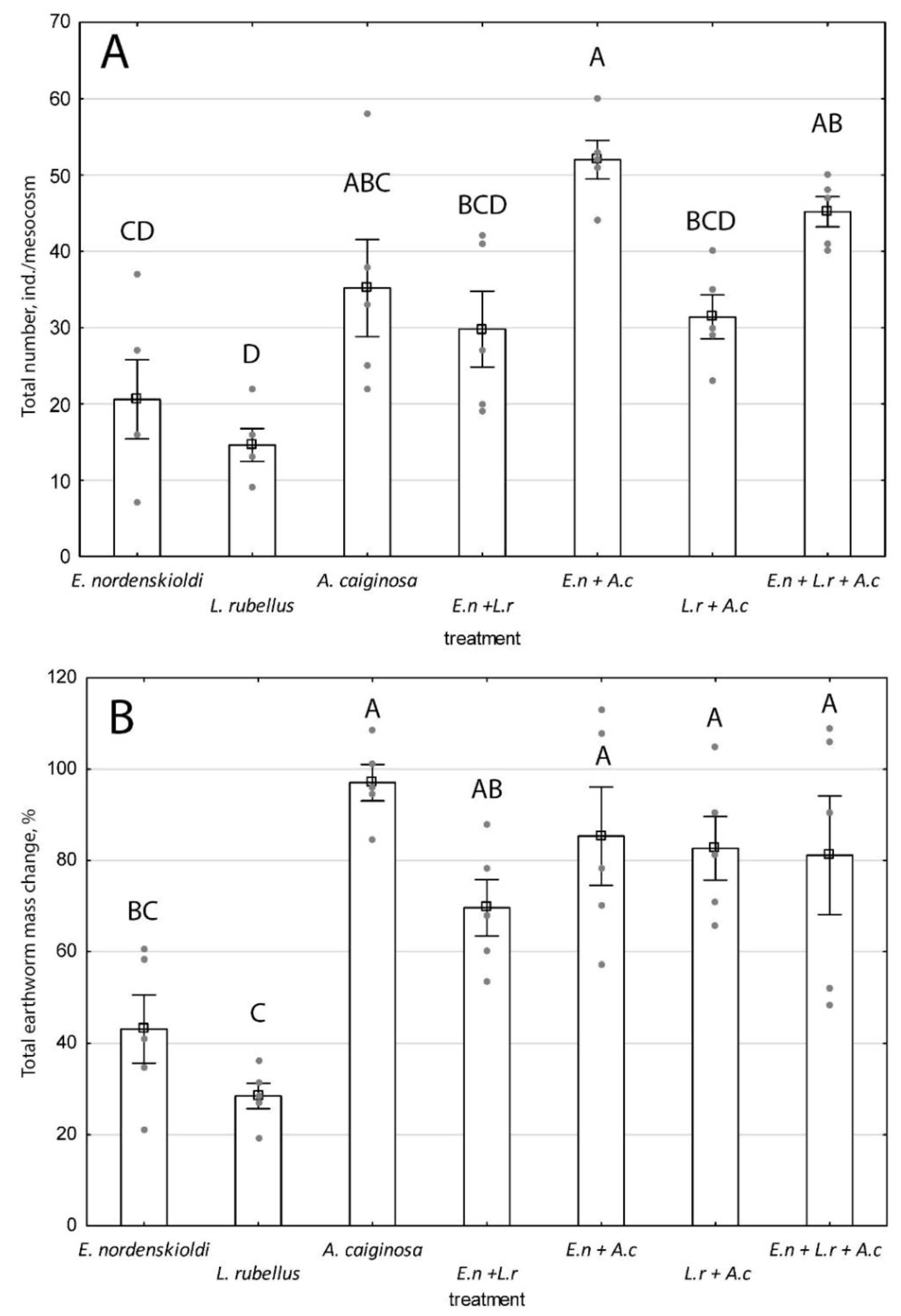
The invasive endogeic, A. caliginosa, also had the advantage in terms of total abundance (taking into account all age states) in the monospecies variants of the experiment (Figure 2A). Its total abundance was 2.4 times that of L. rubellus (p = 0.03) and 1.6 times that of the native species (not significantly, p = 0.13).
Figure 2.
Total number and biomass of earthworms in different variants of the vegetation experiment in mesocosms (mean ± SE, raw data), (A) numbers, individuals/vessel, (B) biomass, % of starting values. Variants with different letters show significant differences (α = 0.05 Tukey HSD).
In monovariants, the total mass decreased in the series A. caliginosa, E. nordenskioldi, and L. rubellus (Figure 2B).
3.1.2. Interaction of Species
There was no significant effect of invasive species on the number of sexually mature individuals of E. nordenskioldi (the percentage of the initial number was analyzed). This parameter did not depend on the starting number of individuals of each species: 4, 6, or 12, the initial biomass, and the productivity of individuals (the ratio of the number of cocoons to the number of sexually mature individuals).
In addition, invasive species had no significant effect on native species’ productivity and biomass change. The effect of A. caliginosa on the number of juvenile and total abundance (all age states) of E. nordenskioldi was significant (p = 0.02). The percentage of total abundance from the initial number of individuals of the native species in the variant with A. caliginosa exceeded this indicator in the monovariant by 2.6 times (p = 0.03).
The influence of the species was reciprocal. The authors noted a significant effect of E. nordenskioldi on the relative number of immature individuals (p = 0.007) and the total number of A. caliginosa (p = 0.009). The relative abundance of juvenile A. caliginosa in the variant increased 1.7-fold (p = 0.05) compared to the monovariant; the total abundance of the species increased 1.4-fold (p = 0.05).
Survival of sexually mature individuals, productivity, the number of immature individuals, and the number and weight of L. rubellus were independent of the presence of other species (Figure 1A–E).
3.1.3. Vertical Distribution
In monovariants, the native species was found to a depth of 20 cm, L. rubellus to 15 cm, and A. caliginosa to 25 cm (Figure 3). A. caliginosa was influenced by cohabitation with E. nordenskioldi. The species became distributed across horizons close to the native species. The proportion of A. caliginosa individuals found in the −21–25 cm soil layer decreased three-fold (p = 0.04), in the 16 to 20 cm layer 3.5-fold (p = 0.03), and the proportion of worms in the upper layers increased. The combination with L. rubellus in the variant did not cause a significant change in the vertical distribution of A. caliginosa. In the presence with E. nordenskioldi, the proportion of L. rubellus in the 0–5 cm layer increased from 68 ± 9 to 93 ± 12% (p = 0.05). In the three-species experiment, species were active in all soil layers up to 25 cm deep.
Figure 3.
Vertical distribution of earthworms in a vegetation experiment.
3.1.4. Litter Consumption
Among the species studied, the maximum litter consumption was noted for L. rubellus, and the minimum was noted for A. caliginosa (Figure 4A)
Figure 4.
Amount of litter at the end of the vegetation experiment (A) in the variants of experiments, mean ± error of mean, raw data. (B) depending on the initial number of L. rubellus. Variants with different letters show significant differences (α = 0.05 Tukey HSD).
Litter biomass depended only on the presence of L. rubellus (p = 0.02) and its initial abundance (p = 0.04) (Figure 4B).
3.2. Winter Experiment
The studies found that winter temperatures were limiting factors for L. rubellus, especially when limiting vertical migrations (p = 0.05). For A. caliginosa, the limiting factor was the depth of mesocosms in winter (p = 0.05), but starting from a vessel depth of 1 m, 100% survival was noted for the species. The native species had a winter survival advantage. Thus, small negative temperatures established in February at a depth of 50 cm (Table 1) contributed to the decrease in L. rubellus survival to 8%, with a range of data from 0 to 25% and to the decrease in A. caliginosa survival to 75 ± 17%.
Table 1.
Soil temperature at different depths of mesocosms during the winter experiment.
4. Discussion
4.1. Survival and Reproductive Potential of Native and Invasive Species
The native species survived better than the invasive species, but it was significantly inferior to A. caliginosa in reproduction rate, the number of offspring, and final biomass, but had an advantage over L. rubellus. In this experiment, our research team grew a soil-litter form of E. nordenskioldi nordenskioldi, the most widely distributed in the south of Western Siberia and inhabiting together with the invasive species used in the experiment. It is known that, for nutrition, this species prefers the decay of soft-leaved tree species [24], which was used in the study and feeding on the soil surface, dwelling mainly in the accumulative humus horizon of soils. L. rubellus is active on the surface and in the upper 15 cm [25]. It is versatile in its preferences and absorbs both soil and all types of litter [26], but it absorbs predominantly carbon from plant residues [27] and is even classified by Bottinelli et al. [28] as epigeic. It was this species that the authors of this study considered a possible competitor to the native species. According to the results of the present studies, it was inferior to E. nordenskioldi in all the studied indicators. According to isotopic analysis [27,29] and X-ray tomography [25], the ecological niches of L. rubellus and A. caliginosa practically do not overlap. A. caliginosa has uniform swarming activity at least to a depth of 50 cm [25], as well as rare entries into deeper soil layers [30]. This species is also versatile in its preferences and ingests various types of litter as often as soil [31]. A. caliginosa uses plant litter as a source of carbon and nitrogen to a lesser extent than L. rubellus, and it also actively eats bacteria [27]. Bottinelli et al. [28] classify it as an endogeic. Thus, the ecological niche of endogeic A. caliginosa is much wider than that of the two species inhabiting the upper 15 cm and feeding on litter. The species was not limited by either food or space resources in the experiment, which allowed it to leave the maximum number of offspring and increase the population biomass. The good reproductive potential of the species probably allowed it to spread widely in the south of Western Siberia, both in agrocenoses devoid of litter and in natural habitats [13,15].
4.2. Interaction of Species
In the experiment, there was a significant rejuvenation of the populations of the studied species, as well as an increase in abundance and relative mass under interaction conditions compared to monovariants. This effect cannot be explained by the weakening of intraspecific competition, as the correlation analysis showed. The initial population density of earthworms in all experimental variants was 159 individuals/m2, which is significantly lower than the density resulting in a decrease in the size and number of cocoons deposited [12,31,32]. For L. rubellus, it is 300 or more individuals/m2 [12,31,32]. For A. caliginosa, it is 450 individuals/m2 [12].
By the end of the experiment, the maximum density of earthworms was observed in the bivariant of E. nordenskioldi with A. caliginosa. The total number of two species was 600 individuals/m2, that of E. nordenskioldi was 293, and that of A. caliginosa was 307 individuals/m2. These values were also not limiting for the species in the present experiment.
The increase in the number of non-mature individuals in species interactions can be explained by the possible positive influence of species on each other directly or indirectly through environmental changes [33,34,35,36]. In a meta-analysis of earthworm species interactions, Uvarov [11] showed that A. caliginosa often experienced positive effects from the presence of many species. This was manifested, for example, in the laying of cocoons in the presence of L. rubellus [37]. In the present three-month experiment for A. caliginosa, the presence of both species was most beneficial, but not paired with L. rubellus. For E. nordenskioldi, cohabitation with A. caliginosa was most beneficial. The relative abundance of juvenile L. rubellus in the monovariant was lower than in the bi- and trivariant experiments, but not significantly. Since E. nordenskioldi and L. rubellus belong to the same ecological group, epi-endogeic [24], but have different effects on A. caliginosa, it is not a matter of mutually beneficial interaction between endogenous and epi-endogenous worms. The positive effect of the presence of E. nordenskioldi can be explained by the probable eating of E. nordenskioldi coprolites by A. caliginosa. Coprolites are known to be more enriched with microorganisms and available nutrients than soil [38]. The content of ions in coprolites is species-specific [39]. Thus, coprolites of E. nordenskioldi on chernozem contained more nitrates compared to L. rubellus and A. caliginosa [40]. The hypothesis of A. caliginosa eating coprolites is confirmed by the shift of the species to the upper layers of soils in the divariant. In addition, the eating of coprolites can explain the significant assimilation of bacterial carbon and nitrogen by A. caliginosa according to the results of isotope analysis [27].
“Rejuvenation” of populations of various organisms—lichens, plants, rodents, woodlice, and millipedes in areas exposed to chemical and physical factors—has been noted in ecotoxicological studies. It is a nonspecific response to stress, reflecting the processes of ontogenesis, and it allows for maintaining abundance in ecosystems [41]. Such stress can be interspecific competition occurring in di- and tri-species variants. In such a case, the increase in young individuals, number, and weight in species interactions may be an attempt to leave more offspring in interspecific competition.
The increase in the total abundance (of all age states of the species) in the di- and tri-variants was directly related to the increase in the number of immature individuals. Since juvenile individuals are much lighter than sexually mature ones, their numbers did not affect the mass of A. caliginosa and E. nordenskioldi, but the sum of all three species led to a significant difference between monovariants and a combination of species. An increase in the mass of L. rubellus in the two-species variant compared to the monospecific variant was noted in Hoeffner et al. [42].
The very modification of reproductive performance during species interactions has been noted in many studies. Changes in the number and size of cocoons deposited [12], the number of juvenile worms that hatch from cocoons [33], the survival rate of immature [43], maturation rate [44], and changes in numbers [12] and mass [44] have been recorded.
4.3. Vertical Distribution
The vertical distribution of species in monovariants is consistent with the literature data on their ecological groups [24] and swarming activity [25,30]. The influence of species interactions on changes in the vertical distribution of earthworms is confirmed by the study of Felten et al. [25]. In this work, the burrowing activity of A. caliginosa shifted from uniform to a depth of 50 cm in the monovariant to the upper 15 cm in the three-species variant with L. rubellus and L. terrestris. The authors attribute the change in the swarming activity of endogeic species to commensalism—the benefit of eating the organic-rich coprolites of detritophagous worms and saving energy in the secondary use of burrows. There is also evidence of the benefit of endogeic species when cohabitating with anecic species in experiments by Lowe and Butt [33,34].
4.4. Litter Consumption
As the results of the present experiment showed, in the monovariants with L. rubellus, the litter was eaten completely, except for the leaf petioles, by the end of the study. In the bivariants and the trivariants, where 50% and 30% of the abundance was L. rubellus, respectively, the highest litter consumption was noted in the presence of two soil-litter species. The effect of L. rubellus on the degree of litter decomposition was described in Suarez et al. [45]. On sites with communities of invasive earthworms, the maximum decomposition of litter was observed in variants with the presence of L. rubellus. In addition, the studies of Uvarov et al. [12] in experiments with litter-consuming species found that the trophic resource played a leading role in the interaction of these species. L. rubellus is an active consumer of litter [46]. Apparently, the natural level of litter in Western Siberia is insufficient and is a limiting factor for the active European invader. Perhaps that is why the species does not go beyond vegetable gardens with a large application of organic matter and floodplain meadows [13,17]. It is known that the high availability of resources was a condition for the spread of the invasive species Aporrectodea trapezoides (Duges, 1828) in the grasslands of California [8].
4.5. Soil Freezing
Low negative temperatures contributing to the freezing of soils to a depth of 50 cm in February (Table 1) apparently contributed to the freezing of a significant part of the L. rubellus population in mesocosms 50 cm deep. This species is known not to tolerate negative temperatures as an adult [47]. When it is possible to migrate to the lower soil layers below the freezing point, the populations of invasive species are preserved in full. Apparently, before 1985, when the soil frost level was more than 1 m, L. rubellus had no opportunity to establish itself in the soils of Western Siberia. All finds of the species in the Urals and Siberia [18,48,49,50] refer to the period of low soil freezing according to the Russian Research Institute of Hydrometeorological Information [51]. In A. caliginosa, despite the ability of sexually mature individuals to tolerate negative temperatures down to −5 °C [47], the survival rate also decreased when vertical migrations were restricted. Nuutinen and Butt [52] found that immature individuals could hibernate in the freezing zone of soils, while mature individuals were active at +1 °C and made deep vertical migrations, up to 1 m deep. On the contrary, for a native species, significant resistance to low temperatures is known [48,53].
5. Conclusions
Thus, the present study found that there were no limiting factors for A. caliginosa in Western Siberia. The species experienced the positive effects of the presence of a native species.
The distribution of L. rubellus may depend on the amount of litter and the depth of ground freezing. The natural volume of litter used in the experiment was insufficient for the species.
The native species is positively influenced by the presence of A. caliginosa. The species has advantages over the invasive species in terms of winter survival.
According to the results of the experiment, one can assume that the spread of L. rubellus will continue to be limited to non-freezing biotopes rich in organic matter. A. caliginosa will continue to spread in natural communities and agrocenoses of Western Siberia.
Author Contributions
Conceptualization, E.V.G. and K.K.; data curation, E.V.G. and S.Y.K.; formal analysis E.V.G. and K.K.; funding acquisition, E.V.G.; investigation, E.V.G. and S.Y.K.; methodology, K.K. and S.Y.K.; project administration, E.V.G. and S.Y.K.; visualization, K.A.B.; writing—original draft, E.V.G.; writing—review and editing, K.K.; investigation and resources, S.V.S. All authors have read and agreed to the published version of the manuscript.
Funding
This research was funded by the Russian Science Foundation (grant No. 22-14-20034) and the Ministry of Industry and Scientific and Technical Development of the Omsk Region (grant No. 32-C dated 22.06.2022). DNA sequencing was performed in the SB RAS Genomics Core Facility (ICBFM SB RAS, Novosibirsk, Russia) and was supported by the State Budget Project no. FWNR-2022-0022.
Institutional Review Board Statement
Not applicable.
Data Availability Statement
The data presented in this study are openly available in ‘Figshare’ at https://doi.org/10.6084/m9.figshare.21621033.v1.
Acknowledgments
The authors thank the Omsk Regional Young Naturalists’ Station for providing the site for the experiment, as well as the scientific volunteers, Marina Veniaminovna Palanto and Diana Kushnar, for their help in preparing the experiment.
Conflicts of Interest
The authors declare no conflict of interest.
References
- Roura-Pascual, N.; Leung, B.; Rabitsch, W.; Rutting, L.; Vervoort, J.; Bacher, S.; Dullinger, S.; Erb, K.-H.; Jeschke, J.M.; Katsanevakis, S.; et al. Alternative Futures for Global Biological Invasions. Sustain. Sci. 2021, 16, 1637–1650. [Google Scholar] [CrossRef]
- Blouin, M.; Hodson, M.E.; Delgado, E.A.; Baker, G.; Brussaard, L.; Butt, K.R.; Dai, J.; Dendooven, L.; Peres, G.; Tondoh, J.E.; et al. A Review of Earthworm Impact on Soil Function and Ecosystem Services: Earthworm Impact on Ecosystem Services. Eur. J. Soil Sci. 2013, 64, 161–182. [Google Scholar] [CrossRef]
- Crooks, J.A. Characterizing Ecosystem-Level Consequences of Biological Invasions: The Role of Ecosystem Engineers. Oikos 2002, 97, 153–166. [Google Scholar] [CrossRef]
- Vilà, M.; Hulme, P.E. (Eds.) Impact of Biological Invasions on Ecosystem Services; Springer International Publishing: Cham, Switzerland, 2017; ISBN 9783319451190. [Google Scholar]
- Blakemore, R.J. Cosmopolitan Earthworms—A Global and Historical Perspective. In Annelids in Modern Biology; Shain, D.H., Ed.; John Wiley & Sons, Inc.: Hoboken, NJ, USA, 2009; pp. 257–283. ISBN 9780470455203. [Google Scholar]
- Hendrix, P.F.; Callaham, M.A.; Drake, J.M.; Huang, C.-Y.; James, S.W.; Snyder, B.A.; Zhang, W. Pandora’s Box Contained Bait: The Global Problem of Introduced Earthworms. Annu. Rev. Ecol. Evol. Syst. 2008, 39, 593–613. [Google Scholar] [CrossRef]
- Stebbings, J.H. Endemic-Exotic Earthworm Competition in the American Midwest. Nature 1962, 196, 905–906. [Google Scholar] [CrossRef]
- Winsome, T.; Epstein, L.; Hendrix, P.F.; Horwath, W.R. Competitive Interactions between Native and Exotic Earthworm Species as Influenced by Habitat Quality in a California Grassland. Appl. Soil Ecol. 2006, 32, 38–53. [Google Scholar] [CrossRef]
- Loss, S.R.; Paudel, S.; Laughlin, C.M.; Zou, C. Local-Scale Correlates of Native and Non-Native Earthworm Distributions in Juniper-Encroached Tallgrass Prairie. Biol. Invasions 2017, 19, 1621–1635. [Google Scholar] [CrossRef]
- Coyle, D.R.; Nagendra, U.J.; Taylor, M.K.; Campbell, J.H.; Cunard, C.E.; Joslin, A.H.; Mundepi, A.; Phillips, C.A.; Callaham, M.A. Soil Fauna Responses to Natural Disturbances, Invasive Species, and Global Climate Change: Current State of the Science and a Call to Action. Soil Biol. Biochem. 2017, 110, 116–133. [Google Scholar] [CrossRef]
- Uvarov, A.V. Inter- and Intraspecific Interactions in Lumbricid Earthworms: Their Role for Earthworm Performance and Ecosystem Functioning. Pedobiologia 2009, 53, 1–27. [Google Scholar] [CrossRef]
- Uvarov, A.V.; Ilieva-Makulec, K.; Karaban, K.; Yakovenko, N.S.; Uchmański, J. Effects of Intra- and Interspecific Interactions in Earthworm Assemblages: A Comparative Study. Biol. Bull. Russ. Acad. Sci. 2019, 46, 475–482. [Google Scholar] [CrossRef]
- Kniazev, S.Y.; Kislyi, A.A.; Bogomolova, I.N.; Golovanova, E.V. Territorial Heterogeneity of the Earthworm Population (Opisthopora, Lumbricidae) of Omsk Oblast and Environmental Factors: A Quantitative Assessment of the Relationship. Contemp. Probl. Ecol. 2022, 15, 484–493. [Google Scholar] [CrossRef]
- Shekhovtsov, S.V.; Golovanova, E.V.; Peltek, S.E. Different Dispersal Histories of Lineages of the Earthworm Aporrectodea caliginosa (Lumbricidae, Annelida) in the Palearctic. Biol. Invasions 2016, 18, 751–761. [Google Scholar] [CrossRef]
- Golovanova, E.V.; Kniazev, S.Y.; Babiy, K.A.; Tsvirko, E.I. Distribution of Alien Species of Earthworms Aporrectodea caliginosa in Natural Habitats of the Omsk Region. In Knowledge and Activity: From the Past to the Present; Materials of the II Russian Interdisciplinary Scientific Conference; Federal State Budgetary Educational Institution of Higher Professional Education, Omsk State Pedagogical University: Omsk, Russia, 2020; pp. 299–302. [Google Scholar]
- Ermolov, S.A. Earthworm Communities (Oligochaeta, Lumbricidae) of Pine Forests and Small Foliage Forests in the Forest-Steppe Ob Region. FSI 2020, 3, 1–24. [Google Scholar] [CrossRef]
- Golovanova, E.V. Earthworms of the Omsk region. Proc. Tomsk. State Univ. 2010, 275, 111–114. [Google Scholar]
- Striganova, B.R.; Poryadina, N.M. Soil Animal Population in Boreal Forests of West-Siberian Plain; KMK: Moscow, Russia, 2005; ISBN 9785873172382. [Google Scholar]
- Vsevolodova-Perel, T.S. The Earthworm of the Fauna of Russia: Cadaster and Key; Nauka: Moscow, Russia, 1997. [Google Scholar]
- Blakemore, R.J. Checklist of USSR/Russian Federation Taxa Updated from Perel (1979, 1997) in a Series of Searchable Texts on Earthworm Biodiversity, Ecology and Systematics from Various Regions of the World, 3rd ed.; 2008. Available online: http://www.annelida.net/earthworm/ (accessed on 17 January 2023).
- Shekhovtsov, S.V.; Golovanova, E.V.; Peltek, S.E. Cryptic Diversity within the Nordenskiold’s Earthworm, Eisenia nordenskioldi subsp. nordenskioldi (Lumbricidae, Annelida). Eur. J. Soil Biol. 2013, 58, 13–18. [Google Scholar] [CrossRef]
- Shekhovtsov, S.V.; Golovanova, E.V.; Ershov, N.I.; Poluboyarova, T.V.; Berman, D.I.; Bulakhova, N.A.; Szederjesi, T.; Peltek, S.E. Phylogeny of the Eisenia nordenskioldi Complex Based on Mitochondrial Genomes. Eur. J. Soil Biol. 2020, 96, 103137. [Google Scholar] [CrossRef]
- Shekhovtsov, S.V.; Shipova, A.A.; Poluboyarova, T.V.; Vasiliev, G.V.; Golovanova, E.V.; Geraskina, A.P.; Bulakhova, N.A.; Szederjesi, T.; Peltek, S.E. Species Delimitation of the Eisenia nordenskioldi Complex (Oligochaeta, Lumbricidae) Using Transcriptomic Data. Front. Genet. 2020, 11, 598196. [Google Scholar] [CrossRef]
- Perel, T.S. Distribution and Patterns of Distribution of Earthworms in the Fauna of the USSR (with Key Tables); Nauka: Moscow, Russia, 1979. [Google Scholar]
- Felten, D.; Emmerling, C. Earthworm Burrowing Behaviour in 2D Terraria with Single- and Multi-Species Assemblages. Biol. Fertil Soils 2009, 45, 789–797. [Google Scholar] [CrossRef]
- Neilson, R.; Boag, B. Feeding Preferences of Some Earthworm Species Common to Upland Pastures in Scotland. Pedobiologia 2003, 47, 1–8. [Google Scholar] [CrossRef]
- Potapov, A.M.; Tiunov, A.V.; Scheu, S.; Larsen, T.; Pollierer, M.M. Combining Bulk and Amino Acid Stable Isotope Analyses to Quantify Trophic Level and Basal Resources of Detritivores: A Case Study on Earthworms. Oecologia 2019, 189, 447–460. [Google Scholar] [CrossRef]
- Bottinelli, N.; Hedde, M.; Jouquet, P.; Capowiez, Y. An Explicit Definition of Earthworm Ecological Categories—Marcel Bouché’s Triangle Revisited. Geoderma 2020, 372, 114361. [Google Scholar] [CrossRef]
- Hsu, G.-C.; Szlavecz, K.; Csuzdi, C.; Bernard, M.; Chang, C.-H. Ecological Groups and Isotopic Niches of Earthworms. Appl. Soil Ecol. 2023, 181, 104655. [Google Scholar] [CrossRef]
- Capowiez, Y.; Gilbert, F.; Vallat, A.; Poggiale, J.-C.; Bonzom, J.-M. Depth Distribution of Soil Organic Matter and Burrowing Activity of Earthworms—Mesocosm Study Using X-ray Tomography and Luminophores. Biol. Fertil. Soils 2021, 57, 337–346. [Google Scholar] [CrossRef]
- Klok, C. Effects of Earthworm Density on Growth, Development, and Reproduction in Lumbricus rubellus (Hoffm.) and Possible Consequences for the Intrinsic Rate of Population Increase. Soil Biol. Biochem. 2007, 39, 2401–2407. [Google Scholar] [CrossRef]
- Uvarov, A.V. Density-Dependent Responses in Some Common Lumbricid Species. Pedobiologia 2017, 61, 1–8. [Google Scholar] [CrossRef]
- Lowe, C.; Butt, K. Growth of Hatchling Earthworms in the Presence of Adults: Interactions in Laboratory Culture. Biol. Fertil. Soils 2002, 35, 204–209. [Google Scholar] [CrossRef]
- Lowe, C.N.; Butt, K.R. Influence of Food Particle Size on Inter- and Intra-Specific Interactions of Allolobophora chlorotica (Savigny) and Lumbricus terrestris. Pedobiologia 2003, 47, 574–577. [Google Scholar] [CrossRef]
- Karaban, K.; Uvarov, A.V. Non-Trophic Effects of Earthworms on Enchytraeids: An Experimental Investigation. Soil Biol. Biochem. 2014, 73, 84–92. [Google Scholar] [CrossRef]
- Uvarov, A.V.; Karaban, K. Do Alterations in Mesofauna Community Affect Earthworms? Oecologia 2015, 179, 877–887. [Google Scholar] [CrossRef]
- Räty, M.; Huhta, V. Earthworms and PH Affect Communities of Nematodes and Enchytraeids in Forest Soil. Biol. Fertil. Soils 2003, 38, 52–58. [Google Scholar] [CrossRef]
- Aira, M.; Monroy, F.; Domínguez, J. Effects of Two Species of Earthworms (Allolobophora Spp.) on Soil Systems: A Microfaunal and Biochemical Analysis. Pedobiologia 2003, 47, 877–881. [Google Scholar] [CrossRef]
- Clause, J.; Barot, S.; Richard, B.; Decaëns, T.; Forey, E. The Interactions between Soil Type and Earthworm Species Determine the Properties of Earthworm Casts. Appl. Soil Ecol. 2014, 83, 149–158. [Google Scholar] [CrossRef]
- Babiy, K.A.; Kniazev, S.Y.; Golovanova, E.V.; Solomatin, D.V.; Bel’skaya, L.V. What Determines Ion Content of Lumbricid Casts: Soil Type, Species, or Ecological Group? Pol. J. Ecol. 2021, 69, 96–110. [Google Scholar] [CrossRef]
- Bezel, V.S. Ecological Toxicology: Population and Biocenotic Aspects; Goshchitsky: Ekaterinburg, Russia, 2006; ISBN 9785988290070. [Google Scholar]
- Hoeffner, K.; Monard, C.; Cluzeau, D.; Santonja, M. Response of Temperate Anecic Earthworm Individual Biomass to Species Interactions. Appl. Soil Ecol. 2019, 144, 8–11. [Google Scholar] [CrossRef]
- Lowe, C.N.; Butt, K.R. Interspecific interactions between earthworms: A laboratory-based investigation. Pedobiologia 1999, 43, 808–817. Available online: https://www.scopus.com/inward/record.uri?eid=2-s2.0-0033399117&partnerID=40&md5=4d3fe3d64237bb211f6e1d7839183862 (accessed on 1 December 2022).
- Butt, K.R. Interactions between Selected Earthworm Species: A Preliminary, Laboratory-Based Study. Appl. Soil Ecol. 1998, 9, 75–79. [Google Scholar] [CrossRef]
- Suárez, E.R.; Fahey, T.J.; Yavitt, J.B.; Groffman, P.M.; Bohlen, P.J. Patterns of Litter Disappearance in a Northern Hardwood Forest Invaded by Exotic Earthworms. Ecol. Appl. 2006, 16, 154–165. [Google Scholar] [CrossRef]
- Shipitalo, M.; Protz, R.; Tomlin, A. Effect of Diet on the Feeding and Casting Activity of Lumbricus terrestris and L. rubellus in Laboratory Culture. Soil Biol. Biochem. 1988, 20, 233–237. [Google Scholar] [CrossRef]
- Meshcheryakova, E.N.; Berman, D.I. Resistance to negative temperatures and geographical distribution of earthworms (Oligochaeta, Lumbricidae, Moniligastridae). Zool. J. 2014, 93, 53–64. [Google Scholar] [CrossRef]
- Golovanova, E.V. Alien species of earthworms in Western Siberia. In Ecology and Evolution: New Horizons: Materials of Intern. Symposium Dedicated 100th Anniversary of Academician S.S. Schwartz; Ushakova, K.I., Veselkin, D.V., Vasiliev, A.G., Eds.; Humanities University: Ekaterinburg, Russia, 2019; pp. 494–495. [Google Scholar]
- Makarova, O.L.; Kolesnikova, A.A. Earthworms (Oligochaeta, Lumbricidae) in the Tundra of Eastern Europe. Biol. Bull. Russ. Acad. Sci. 2019, 46, 438–449. [Google Scholar] [CrossRef]
- Kolesnikova, A.; Dolgin, M.; Akulova, L. Earthworms (Oligochaeta, Lumdricidae) in the Komi Republic. Proc. KarRC RAS 2022, 1–18. [Google Scholar] [CrossRef]
- Sherstyukov, A.B. Array of daily data on the temperature of soils at depths up to 320 cm according to the meteorological station of the Russian Federation. Proc. All-Russ. Res. Inst. Hydrometeorol. Inf.-World Data Cent. 2012, 176, 233–256. [Google Scholar]
- Nuutinen, V.; Butt, K.R. Worms from the Cold: Lumbricid Life Stages in Boreal Clay during Frost. Soil Biol. Biochem. 2009, 41, 1580–1582. [Google Scholar] [CrossRef]
- Blakemore, R. Earthworms Newly from Mongolia (Oligochaeta, Lumbricidae, Eisenia). ZooKeys 2013, 285, 1–21. [Google Scholar] [CrossRef] [PubMed]
Disclaimer/Publisher’s Note: The statements, opinions and data contained in all publications are solely those of the individual author(s) and contributor(s) and not of MDPI and/or the editor(s). MDPI and/or the editor(s) disclaim responsibility for any injury to people or property resulting from any ideas, methods, instructions or products referred to in the content. |
© 2023 by the authors. Licensee MDPI, Basel, Switzerland. This article is an open access article distributed under the terms and conditions of the Creative Commons Attribution (CC BY) license (https://creativecommons.org/licenses/by/4.0/).



