Community Structure in an Isolated Tropical Forest Biome: One Year of Fruit-Feeding Butterfly Trapping in Four Habitats in the Western Ghats, India
Abstract
1. Introduction
2. Methods
2.1. Study Area
2.2. Fruit-Feeding Butterflies
2.3. Habitat Definitions
2.4. Sampling Regime
2.5. Data Analysis
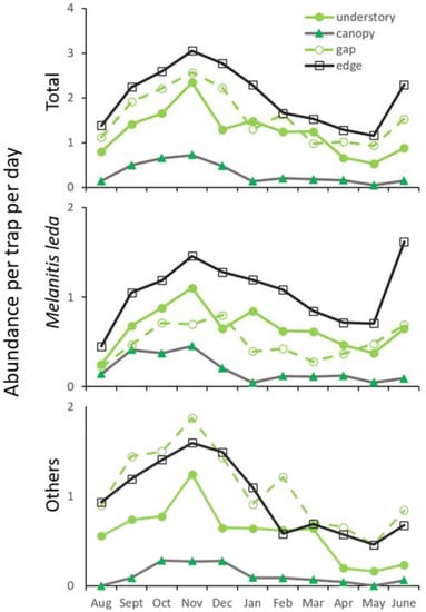
3. Results
Abundance and Diversity among Habitats
4. Discussion
5. Conclusions
Author Contributions
Funding
Institutional Review Board Statement
Informed Consent Statement
Data Availability Statement
Acknowledgments
Conflicts of Interest
References
- Basset, Y.; Cizek, L.; Cuenoud, P.; Didham, R.K.; Novotny, V.; Odegaard, F.; Roslin, T.; Tishechkin, A.K.; Schmidl, J.; Winchester, N.N.; et al. Arthropod distribution in a tropical rainforest: Tackling a four dimensional puzzle. PLoS ONE 2015, 10, e0144110. [Google Scholar] [CrossRef] [PubMed]
 - Molleman, F. Moving beyond phenology: New directions in the study of temporal dynamics of tropical insect communities. Curr. Sci. 2018, 114, 982–986. [Google Scholar] [CrossRef]
 - Molleman, F.; Kop, A.; Brakefield, P.; De Vries, P.; Zwaan, B. Vertical and temporal patterns of biodiversity of fruit-feeding butterflies in a tropical forest in Uganda. Biodivers. Conserv. 2006, 15, 107–121. [Google Scholar] [CrossRef]
 - DeVries, P.J.; Murray, D.; Lande, R. Species diversity in vertical, horizontal, and temporal dimensions of a fruit-feeding butterfly community in an Ecuadorian rainforest. Biol. J. Linn. Soc. 1997, 62, 343–364. [Google Scholar] [CrossRef]
 - Grøtan, V.; Lande, R.; Chacon, I.A.; DeVries, P.J. Seasonal cycles of diversity and similarity in a Central American rainforest butterfly community. Ecography 2014, 37, 509–516. [Google Scholar] [CrossRef]
 - Primack, R.B.; Corlett, R.T. Tropical Rain Forests: An Ecological and Biogeographical Comparison; John Wiley & Sons: Hoboken, NJ, USA, 2011. [Google Scholar]
 - Devries, P.J.; Alexander, L.G.; Chacon, I.A.; Fordyce, J.A. Similarity and difference among rainforest fruit-feeding butterfly communities in Central and South America. J. Anim. Ecol. 2012, 81, 472–482. [Google Scholar] [CrossRef]
 - Kishimoto-Yamada, K.; Itioka, T. How much have we learned about seasonality in tropical insect abundance since Wolda (1988)? Entomol. Sci. 2015, 18, 407–419. [Google Scholar] [CrossRef]
 - dos Santos, J.P.; Iserhard, C.A.; Carreira, J.Y.O.; Freitas, A.V.L. Monitoring fruit-feeding butterfly assemblages in two vertical strata in seasonal Atlantic Forest: Temporal species turnover is lower in the canopy. J. Trop. Ecol. 2017, 33, 345–355. [Google Scholar] [CrossRef]
 - MacArthur, R.H.; Wilson, E.O. The Theory of Island Biogeography; Princeton University Press: Princeton, NJ, USA, 1967; p. 203. [Google Scholar]
 - Luk, C.-L.; Hadi, U.K.; Ziegler, T.; Waltert, M. Vertical and horizontal habitats of fruit-feeding butterflies (Lepidoptera) on Siberut, Mentawai Islands, Indonesia. Ecotropica 2011, 17, 79–90. [Google Scholar]
 - Basset, Y.; Novotny, V.; Miller, S.E.; Kitching, R.L. (Eds.) Arthropods of Tropical Forests. Spatio-Temporal Dynamics and Resource Use in the Canopy; Cambridge University Press: Cambridge, UK, 2003; p. 474. [Google Scholar]
 - DeVries, P.J. Stratification of fruit-feeding Nymphalid butterflies in a Costa Rican rainforest. J. Res. Lepid. 1988, 26, 98–108. [Google Scholar]
 - DeVries, P.J.; Walla, T.R. Species diversity and community structure in neotropical fruit- feeding butterflies. Biol. J. Linn. Soc. 2001, 74, 1–15. [Google Scholar] [CrossRef]
 - Fermon, H.; Waltert, M.; Vane-Wright, R.I.; Muhlenberg, M. Forest use and vertical stratification in fruit-feeding butterflies of Sulawesi, Indonesia: Impacts for conservation. Biodivers. Conserv. 2005, 14, 333–350. [Google Scholar] [CrossRef]
 - Hill, J.K.; Hamer, K.C.; Tangah, J.; Dawood, M. Ecology of tropical butterflies in rainforest gaps. Oecologia 2001, 128, 294–302. [Google Scholar] [CrossRef] [PubMed]
 - Watt, A.S. Pattern and process in the plant community. Ecology 1947, 35, 1–22. [Google Scholar] [CrossRef]
 - Feener Jr, D.H.; Schupp, E.W. Effect of treefall gaps on the patchiness and species richness of Neotropical ant assemblages. Oecologia 1998, 116, 191–201. [Google Scholar] [CrossRef] [PubMed]
 - Blake, J.G.; Hoppes, W.G. Influence of resource abundance on use of treefall gaps by birds in an isolated woodlot. Auk 1986, 103, 328–340. [Google Scholar] [CrossRef]
 - Blau, W.S. The effect of environmental disturbance on a tropical butterfly population. Ecology 1980, 61, 1005–1012. [Google Scholar] [CrossRef]
 - Arihafa, A.; Mack, A.L. Treefall gap dynamics in a tropical rain forest in Papua New Guinea. Pac. Sci. 2013, 67, 47–58. [Google Scholar] [CrossRef]
 - Seifert, C.L.; Schulze, C.H.; Dreschke, T.C.T.; Frötscher, H.; Fiedler, K. Day vs. night predation on artificial caterpillars in primary rainforest habitats—An experimental approach. Entomol. Exp. Appl. 2016, 158, 54–59. [Google Scholar] [CrossRef]
 - Rutowski, R.L. The evolution of male mate-locating behavior in butterflies. Am. Nat. 1991, 138, 1121–1139. [Google Scholar] [CrossRef]
 - Davies-Colley, R.J.; Payne, G.W.; van Elswijk, M. Microclimate gradients across a forest edge. N. Z. J. Ecol. 2000, 24, 111–121. [Google Scholar]
 - Bernaschini, M.L.; Valladares, G.; Salvo, A. Edge effects on insect–plant food webs: Assessing the influence of geographical orientation and microclimatic conditions. Ecol. Entomol. 2020, 45, 806–820. [Google Scholar] [CrossRef]
 - Meiners, S.J.; Handel, S.N.; Pickett, S.T.A. Tree seedling establishment under insect herbivory: Edge effects and interannual variation. Plant Ecol. 2000, 151, 161–170. [Google Scholar] [CrossRef]
 - Bossart, J.; Opuni-Frimpong, E. Distance from edge determines fruit-feeding butterfly community diversity in Afrotropical forest fragments. Environ. Entomol. 2009, 38, 43–52. [Google Scholar] [CrossRef]
 - Kemp, D.J. Visual mate-searching behaviour in the evening brown butterfly, Melanitis leda (L.) (Lepidoptera: Nymphalidae). Aust. J. Entomol. 2002, 41, 300–305. [Google Scholar] [CrossRef]
 - Valtonen, A.; Molleman, F.; Chapman, C.A.; Carey, J.R.; Ayres, M.P.; Roininen, H. Tropical phenology: Bi-annual rhythms and interannual variation in an Afrotropical butterfly assemblage. Ecosphere 2013, 4, 36. [Google Scholar] [CrossRef]
 - Grøtan, V.; Lande, R.; Engen, S.; Saether, B.E.; DeVries, P.J. Seasonal cycles of species diversity and similarity in a tropical butterfly community. J. Anim. Ecol. 2012, 81, 714–723. [Google Scholar] [CrossRef]
 - Kunte, K. The Wildlife (Protection) Act and conservation prioritization of butterflies of the Western Ghats, southwestern India. Curr. Sci. 2008, 94, 729–735. [Google Scholar]
 - Hamer, K.C.; Hill, J.K.; Lace, L.A.; Langan, A.M. Ecological and biogeographical effects of forest disturbance on tropical butterflies of Sumba, Indonesia. J. Biogeogr. 1997, 24, 67–75. [Google Scholar] [CrossRef]
 - Lucci Freitas, A.V.; Agra Iserhard, C.; Pereira Santos, J.; Oliveira CarreiraI, J.Y.; Bandini Ribeiro, D.; Alves Melo, D.H.; Batista Rosa, A.H.; Marini-Filho, O.J.; Mattos Accacio, G.; Uehara-Prado, M. Studies with butterfly bait traps: An overview. Rev. Colomb. Entomol. 2014, 40, 203–212. [Google Scholar]
 - Devries, P.J.; Hamm, C.A.; Fordyce, J.A. A Standardized Sampling Protocol for Fruit-Feeding Butterflies (Nymphalidae). In Core Standardized Methods for Rapid Biological Field Assessment; Larsen, T.H., Ed.; Conservation International: Arlington, VA, USA, 2016; pp. 139–148. [Google Scholar]
 - Naik, D.; Rao, R.; Kunte, K.; Mustak, M.S. Ecological monitoring and indicator taxa: Butterfly communities in heterogeneous landscapes of the Western Ghats and Malabar coast, India. J. Insect Conserv. 2022, 26, 107–119. [Google Scholar] [CrossRef]
 - Kunte, K.J. Seasonal patterns in butterfly abundance and species diversity in four tropical habitats in northern Western Ghats. J. Biosci. 1997, 22, 593–603. [Google Scholar] [CrossRef]
 - Mittermeier, R.A.; Gil, P.; Hoffman, M.; Pilgrim, J.; Brooks, T.; Mittermeier, C.; Lamoreux, J.; Da Fonseca, G.; Saligmann, P. Hotspots Revisited: Earth’s Biologically Richest and Most Endangered Terrestrial Ecoregions Cemex; Conservation International: Mexico City, Mexico, 2004; Volume 392. [Google Scholar]
 - Champion, H.G.; Seth, S.K. A Revised Survey of the Forest Types of India; Manager of Publications: Delhi, India, 1968. [Google Scholar]
 - Udvardy, M.D.; Udvardy, M. A Classification of the Biogeographical Provinces of the World; International Union for Conservation of Nature and Natural Resources Morges: Morges, Switzerland, 1975; Volume 8. [Google Scholar]
 - Norris, M.J. The feeding-habits of the adult Lepidoptera Heteroneura. Trans. R. Entomol. Soc. Lond. 1936, 85, 61–90. [Google Scholar] [CrossRef]
 - Molleman, F.; Grunsven, R.; Liefting, M.; Zwaan, B.; Brakefield, P. Is male puddling behaviour of tropical butterflies targeted at sodium for nuptial gifts or activity? Biol. J. Linn. Soc. 2005, 86, 345–361. [Google Scholar] [CrossRef]
 - Molleman, F. Puddling: From natural history to understanding how it affects fitness. Entomol. Exp. Appl. 2010, 134, 107–113. [Google Scholar] [CrossRef]
 - Runkle, J.R. Guidelines and Sample Protocol for Sampling Forest Gaps; US Department of Agriculture, Forest Service, Pacific Northwest Research Station: Washington, DC, USA, 1992; Volume 283.
 - Rydon, A. Notes on the use of butterfly traps in East Africa. J. Lepid. Soc. 1964, 18, 51–58. [Google Scholar]
 - Evans, W.H. Identification of Indian Butterflies; Bombay Natural History Society: Bombay, India, 1932. [Google Scholar]
 - Wynter-Blyth, M.A. Butterflies of the Indian Region; Bombay Natural History Society: Mumbai, India, 1957. [Google Scholar]
 - Kunte, K. India, a Lifescape: Butterflies of Peninsular India; Universities Press: Hyderabad, India, 2000. [Google Scholar]
 - Magurran, A.E. Ecological Diversity and Its Measurement; Princeton University Press: Princeton, NJ, USA, 1988. [Google Scholar]
 - Heck Jr, K.L.; van Belle, G.; Simberloff, D. Explicit calculation of the rarefaction diversity measurement and the determination of sufficient sample size. Ecology 1975, 56, 1459–1461. [Google Scholar] [CrossRef]
 - Schulze, C.H.; Linsenmair, K.E.; Fiedler, K. Understorey versus canopy: Patterns of vertical stratification and diversity among Lepidoptera in a Bornean rain forest. Plant Ecol. 2001, 153, 133–152. [Google Scholar] [CrossRef]
 - Cordeiro, N. Geographical consistency in vertical stratification preferences of butterfly species in eastern Africa. Afr. Entomol. 2017, 25, 550–553. [Google Scholar] [CrossRef]
 - Aduse-Poku, K.; Molleman, F.; Oduro, W.; Oppong, S.K.; Lohman, D.J.; Etienne, R.S. Relative contribution of neutral and deterministic processes in shaping fruit-feeding butterfly assemblages in Afrotropical forests. Ecol. Evol. 2018, 8, 296–308. [Google Scholar] [CrossRef]
 - Rodrigues, E.N.L.; Mendonça, M.D.S.; Costa-Schmidt, L.E. Spider diversity responds strongly to edge effects but weakly to vegetation structure in riparian forests of Southern Brazil. Arthropod-Plant Interact. 2014, 8, 123–133. [Google Scholar] [CrossRef]
 - Padhye, A.; Dahanukar, N.; Paingankar, M.; Deshpande, M.; Deshpande, D. Season and landscape wise distribution of butterflies in Tamhini, northern Western Ghats, India. Zoos’ Print J. 2006, 21, 2175–2181. [Google Scholar] [CrossRef]
 - Arun, P. Seasonality of swallowtail butterfly community (Lepidoptera: Papilionidae) of Siruvani forest, Western Ghats, Southern India. In Proceedings of the Seminar on Wonderful World of Insects, Thane, India, 3 December 2008; pp. 66–71. [Google Scholar]
 - Wolda, H. Fluctuations in abundance of tropical insects. Am. Nat. 1978, 112, 1017–1045. [Google Scholar] [CrossRef]
 - Novotny, V.; Basset, Y. Seasonality of sap sucking insects (Auchenorrhyncha, Hemiptera) feeding on Ficus (Moraceae) in a lowland rain forest in New Guinea. Oecologia 1998, 9, 514–522. [Google Scholar] [CrossRef] [PubMed]
 - Tangah, J.; Hill, J.; Hamer, K.; Dawood, M. Vertical distribution of fruit-feeding butterflies in Sabah, Borneo. Sepilok Bull. 2004, 1, 17–27. [Google Scholar]
 - de Brito Freire Jr, G.; Ribeiro, D.B.; de Carvalho Santos, A.; Silva, T.; Dias, J.P.; Rodrigues, H.P.; Diniz, I.R. Horizontal and vertical variation in the structure of fruit-feeding butterfly (Nymphalidae) assemblages in the Brazilian Cerrado. Insect Conserv. Divers. 2022, 15, 226–235. [Google Scholar] [CrossRef]
 - Araujo, P.F.; Freitas, A.V.L.; Gonçalves, G.A.d.S.; Ribeiro, D.B. Vertical stratification on a small scale: The distribution of fruit-feeding butterflies in a semi-deciduous Atlantic forest in Brazil. Stud. Neotrop. Fauna Environ. 2021, 56, 10–39. [Google Scholar] [CrossRef]
 - Mohamed, R.; Rosmidi, F.H.; Adanan, N.A.; Ahmad, A.; Abdullah, M.T. Vertical stratification of fruit-feeding butterflies in Tasik Kenyir. In Greater Kenyir Landscapes; Springer Nature: Cham, Switzerland, 2019; pp. 131–142. [Google Scholar]
 - Ribeiro, D.B.; Williams, M.R.; Specht, A.; Freitas, A.V.L. Vertical and temporal variability in the probability of detection of fruit-feeding butterflies and moths (Lepidoptera) in tropical forest. Austral Entomol. 2016, 55, 112–120. [Google Scholar] [CrossRef]
 - Fermon, H.; Waltert, M.; Muhlenberg, M. Movement and vertical stratification of fruit-feeding butterflies in a managed West African rainforest. J. Insect Conserv. 2003, 7, 7–19. [Google Scholar] [CrossRef]
 - Aduse-Poku, K.; William, O.; Oppong, S.K.; Larsen, T.; Ofori-Boateng, C.; Molleman, F. Spatial and temporal variation in butterfly biodiversity in a West African forest: Lessons for establishing efficient rapid monitoring programmes. Afr. J. Ecol. 2012, 50, 326–334. [Google Scholar] [CrossRef]
 



| Understory | Canopy | Gap | Edge | |
|---|---|---|---|---|
| # of traps | 6 | 6 | 6 | 6 | 
| # of trap days | 596 | 377 | 544 | 656 | 
| # of individuals caught | 738 | 112 | 847 | 1324 | 
| # ind./trap/day | 1.24 | 0.30 | 1.56 | 2.02 | 
| # of species | 15 | 9 | 24 | 32 | 
| Dominance D | 0.34 | 0.44 | 0.20 | 0.33 | 
| Shannon H | 1.45 | 1.18 | 1.92 | 1.50 | 
| Simpson 1-D | 0.65 | 0.56 | 0.80 | 0.66 | 
| Evenness eH/S | 0.28 | 0.36 | 0.28 | 0.14 | 
| Fisher alpha | 2.66 | 2.30 | 4.59 | 5.91 | 
| Species | Scientific Name | Rareness | Understory | Canopy | Gap | Edge | Total | Und. vs. Canopy | Gap vs. Canopy | Gap vs. Edge | |||
|---|---|---|---|---|---|---|---|---|---|---|---|---|---|
| Chi2 | p | Chi2 | p | Chi2 | p | ||||||||
| Common Evening Brown | Melanitis leda | Very common | 385 | 70 | 264 | 677 | 1396 | 315.0 | 0.0 | 112.7 | 0.0 | 181.3 | 0.0 | 
| Common Bushbrown | Mycalesis perseus | Very common | 178 | 4 | 194 | 337 | 713 | 174.0 | 0.0 | 182.3 | 0.0 | 38.5 | 0.0 | 
| Bamboo Treebrown | Lethe europa | Very common | 77 | 25 | 136 | 94 | 332 | 52.0 | 0.0 | 76.5 | 0.0 | 7.7 | 0.0 | 
| Whitebar Bushbrown | Mycalesis anaxias | Very common | 26 | 0 | 138 | 117 | 281 | 26.0 | 0.0 | 138.0 | 0.0 | 1.7 | 0.2 | 
| Dark Evening Brown | Melanitis phedima | Common | 30 | 1 | 15 | 0 | 46 | 29.0 | 0.0 | 12.3 | 0.0 | 15.0 | 0.0 | 
| Gladeye Bushbrown | Mycalesis patnia | Uncommon | 5 | 0 | 11 | 16 | 32 | 11.0 | 0.0 | 0.9 | 0.3 | ||
| Southern Duffer | Discophora lepida | Uncommon | 7 | 2 | 15 | 3 | 27 | 9.9 | 0.0 | 8.0 | 0.0 | ||
| Common Baron | Euthalia aconthea | Common | 8 | 5 | 7 | 7 | 27 | 3.0 | 0.1 | 0.3 | 0.6 | 0.0 | 1.0 | 
| Grey Count | Tanaecia lepidea | Common | 2 | 0 | 14 | 9 | 25 | 14.0 | 0.0 | 1.1 | 0.3 | ||
| Rustic | Cupha erymanthis | Uncommon | 7 | 0 | 6 | 8 | 21 | 0.3 | 0.6 | ||||
| Tamil Catseye | Zipaetis saitis | Uncommon | 4 | 0 | 6 | 9 | 19 | 0.6 | 0.4 | ||||
| Common Castor | Ariadne merione | Common | 2 | 0 | 12 | 5 | 19 | 12.0 | 0.0 | 2.9 | 0.1 | ||
| Great Eggfly | Hypolimnas bolina | Common | 2 | 0 | 7 | 7 | 16 | 0.0 | 1.0 | ||||
| Black Prince | Rohana parisatis | Rare | 2 | 1 | 6 | 5 | 14 | 0.1 | 0.8 | ||||
| Medus Brown | Orsotriaena medus | Rare | 0 | 0 | 3 | 4 | 7 | ||||||
| Chocolate Pansy | Junonia iphita | Uncommon | 0 | 0 | 0 | 6 | 6 | ||||||
| Cruiser | Vindula erota | Rare | 3 | 0 | 1 | 1 | 5 | ||||||
| Redspot Duke | Dophla evelina | Rare | 0 | 2 | 2 | 1 | 5 | ||||||
| Angled Castor | Ariadne ariadne | Rare | 0 | 0 | 2 | 3 | 5 | ||||||
| Tawny Rajah | Charaxes bernardus | Rare | 0 | 0 | 2 | 1 | 3 | ||||||
| Clipper | Parthenos sylvia | Rare | 0 | 0 | 2 | 1 | 3 | ||||||
| Common Palmfly | Elymnias hypermnestra | Uncommon | 0 | 0 | 1 | 1 | 2 | ||||||
| Common Leopard | Phalanta phalantha | Rare | 0 | 0 | 1 | 1 | 2 | ||||||
| Common Sailor | Neptis hylas | Rare | 0 | 0 | 0 | 2 | 2 | ||||||
| Danaid Eggfly | Junonia atlites | Rare | 0 | 0 | 1 | 1 | 2 | ||||||
| restricted demon | Notocrypta curvifascia | Rare | 0 | 2 | 0 | 0 | 2 | ||||||
| Common Treebrown | Lethe rohria | Rare | 0 | 0 | 0 | 1 | 1 | ||||||
| Darkbanded Bushbrown | Mycalesis mineus | Rare | 0 | 0 | 0 | 1 | 1 | ||||||
| Small Leopard | Phalanta alcippe | Rare | 0 | 0 | 0 | 1 | 1 | ||||||
| Tamil Yeoman | Cirrochroa thais | Rare | 0 | 0 | 0 | 1 | 1 | ||||||
| Commander | Moduza procris | Rare | 0 | 0 | 1 | 0 | 1 | ||||||
| Peacock Pansy | Junonia almana | Rare | 0 | 0 | 0 | 1 | 1 | ||||||
| Total | 738 | 112 | 847 | 1321 | 3018 | ||||||||
| Continent | Biome | Location | ~ % Canopy Spec. | Reference | 
|---|---|---|---|---|
| America | Amazon | Ecuador | 55 | [3] | 
| Brazil | 48 | [7] | ||
| Central America | Costa Rica | 45 | [9] | |
| Atlantic Forest | Brazil | 41 | [11] | |
| Atlantic Forest | Brazil | 44 | [15] | |
| Cerrado gallery | Brazil | 18 | [50] | |
| Asia | Sundaland | Sulawesi | 40 | [50] | 
| Malaysia | 30 | [51] | ||
| Borneo | 39 | [52] | ||
| Borneo | 19 | [53] | ||
| Island | Siberut | 40 | [54] | |
| Western Ghats | India | 03 | This paper | |
| Africa | Central Africa | Côte D’Ivoire | 40 | [55] | 
| Ghana | 35 | [56] | ||
| Ghana | 40 | [57] | ||
| East Africa | Uganda | 14 | [58] | |
| Tanzania | 14 | [59] | 
Disclaimer/Publisher’s Note: The statements, opinions and data contained in all publications are solely those of the individual author(s) and contributor(s) and not of MDPI and/or the editor(s). MDPI and/or the editor(s) disclaim responsibility for any injury to people or property resulting from any ideas, methods, instructions or products referred to in the content.  | 
© 2022 by the authors. Licensee MDPI, Basel, Switzerland. This article is an open access article distributed under the terms and conditions of the Creative Commons Attribution (CC BY) license (https://creativecommons.org/licenses/by/4.0/).
Share and Cite
Das, K.S.A.; Radhamany, D.; Molleman, F. Community Structure in an Isolated Tropical Forest Biome: One Year of Fruit-Feeding Butterfly Trapping in Four Habitats in the Western Ghats, India. Diversity 2023, 15, 36. https://doi.org/10.3390/d15010036
Das KSA, Radhamany D, Molleman F. Community Structure in an Isolated Tropical Forest Biome: One Year of Fruit-Feeding Butterfly Trapping in Four Habitats in the Western Ghats, India. Diversity. 2023; 15(1):36. https://doi.org/10.3390/d15010036
Chicago/Turabian StyleDas, Karumampoyil Sakthidas Anoop, Dhanya Radhamany, and Freerk Molleman. 2023. "Community Structure in an Isolated Tropical Forest Biome: One Year of Fruit-Feeding Butterfly Trapping in Four Habitats in the Western Ghats, India" Diversity 15, no. 1: 36. https://doi.org/10.3390/d15010036
APA StyleDas, K. S. A., Radhamany, D., & Molleman, F. (2023). Community Structure in an Isolated Tropical Forest Biome: One Year of Fruit-Feeding Butterfly Trapping in Four Habitats in the Western Ghats, India. Diversity, 15(1), 36. https://doi.org/10.3390/d15010036
        
