The Influence of Ecological Engineering on Waterbird Diversity in Different Habitats within the Xianghai Nature Reserve
Abstract
1. Introduction
2. Materials and Methods
2.1. Study Area
2.2. Bird Survey Methods
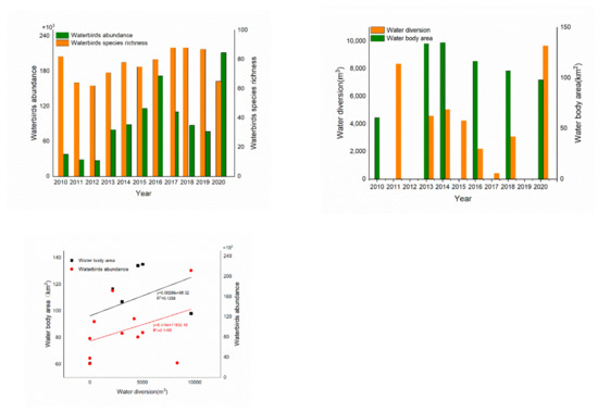
2.3. Habitat Landscape in Remote Sensing Interpretation
2.4. Data Analysis
3. Results
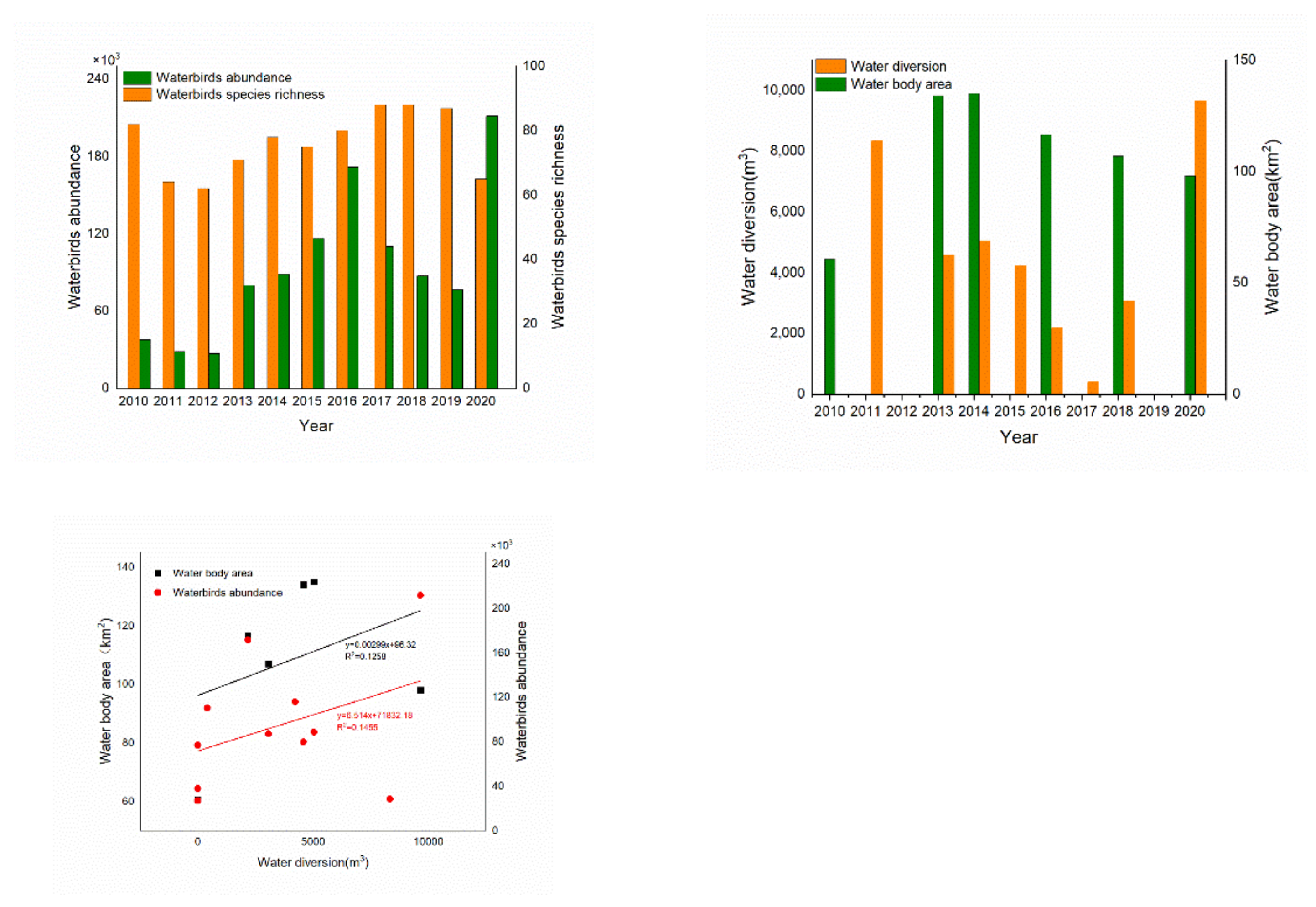
3.1. Waterbird Species and Numbers
3.1.1. Species and Population Changes in Regional Waterbirds
3.1.2. Changes in Waterbird Species and Numbers in Different Habitats
3.2. Rare Waterbirds
Changes in Rare Waterbird Species and Numbers in the Region
3.3. Waterbird Diversity
3.3.1. Changes in Waterbird Diversity in Different Habitats
3.3.2. Changes in Diversity for Different Types of Waterbirds
4. Discussion
4.1. Waterbird Species and Numbers
4.2. Changes in Numbers of Rare Species
4.3. Changes in Waterbird Diversity
5. Conclusions
Supplementary Materials
Author Contributions
Funding
Institutional Review Board Statement
Informed Consent Statement
Data Availability Statement
Conflicts of Interest
References
- Ma, Z.J. Managing Wetland Habitats for Waterbirds: An International Perspective. Wetlands 2010, 30, 15–27. [Google Scholar] [CrossRef]
- Gregory, R.D.; van Strien, A. Wild Bird Indicators: Using Composite Population Trends of Birds as Measures of Environmental Health. Ornithol. Sci. 2010, 9, 3–22. [Google Scholar] [CrossRef]
- Birgita, D.H.; Peter, M.; Paul, M.; Richard, H.L. Long-term declines in multiple waterbird species in a tidal embayment, south-east Australia. Austral. Ecol. 2015, 40, 515–527. [Google Scholar]
- Mu, T.; Cai, S.X.; Peng, H.B.; Hassell, C.J.; Boyle, A.; Zhang, Z.W.; Piersma, T.; Wilcove, D.S. Evaluating staging habitat quality to advance the conservation of a declining migratory shorebird, Red Knot Calidris canutus. J. Appl. Ecol. 2022, 59, 2084–2093. [Google Scholar] [CrossRef]
- He, C.G.; Ishikawa, T.; Sheng, L.X.; Irie, M. Study on the hydrological conditions for the conservation of the nesting habitat of the Red-crowned Crane in Xianghai Wetlands, China. Hydrol. Process. 2009, 23, 612–622. [Google Scholar] [CrossRef]
- Zhang, Y.H.; Deng, W.; Zhang, S.W. The spatial structure of the Red-crown crane’s habitat in Xianghai National Nature Resreve based on RS and GIS techniques. Acta Ecol. Sin. 2006, 11, 3725–3731. [Google Scholar]
- Qing, H.; Wang, S.; Cui, H.Y. Analysis on the characteristics of climate change in western Jilin Province in 1951–2019. Anhui Agric. Sci. Bull. 2021, 18, 177–179. [Google Scholar]
- He, C.G.; Sheng, L.X.; Lang, H.Q.; Li, L.S.; Zou, L.F. Migration dynamics of Grus japonensis in recent years spring and conservation of its habitat in Xianghai Nature Reserve. J. Appl. Ecol. 2004, 15, 1523–1526. [Google Scholar]
- Li, D.L.; Chen, S.H.; Guan, L.; Lloyd, H.; Liuc, Y.L.; Lv, J.Z.; Zhang, Z.W. Patterns of waterbird community composition across a natural and restored wetland landscape mosaic, Yellow River Delta, China. Estuar. Coast. Shelf Sci. 2011, 91, 325–332. [Google Scholar] [CrossRef]
- Deng, G.M. A Checklist on the Classification and Distribution of the Birds of China, 3rd ed.; Science Press: Beijing, China, 2017. [Google Scholar]
- Jiang, Z.G.; Ji, L.Q. Avain-mammalian species diversity in nine representative sites in China. Biodivers. Sci. 1999, 7, 220–225. [Google Scholar]
- Zhang, Y.F.; Xu, Q.H.; Gao, S.P.; Li, D.M.; Wu, Y.F. Survey of bird diversity in Luanhekou wetland, Hebei Province. Sichuan J. Zool. 2010, 29, 244–248. [Google Scholar]
- Zhang, Y.Y.; Zhang, Z.W.; Dong, L.; Ding, P.; Ding, C.Q.; Ma, Z.J.; Deng, G.M. Assessment of red list of birds in China. Biodivers. Sci. 2016, 24, 568–579. [Google Scholar] [CrossRef]
- Oriane, W.; Mark, A.; Craig, R.; Rebecca, J. Waterbird Responses to Experimental Drawdown: Implications for the Multispecies Management of Wetland Mosaics. J. Appl. Ecol. 2002, 39, 987–1001. [Google Scholar]
- Sándor, F.; Katalin, H. Effects of water level on waterbird abundance and diversity along the middle section of the Danube River. Hydrobiologia 2012, 697, 15–21. [Google Scholar]
- Chang, Z.; Yu, J.Y.; Guang, M.Z.; Jie, L.; Sheng, L.G.; Lu, H.; Shan, S.H.; Hai, P.W.; Yuan, Z.; Hong, X.A.; et al. Influence of hydrological regime and climatic factor on waterbird abundance in Dongting Lake Wetland, China: Implications for biological conservation. Ecol. Eng. 2016, 90, 473–481. [Google Scholar]
- Zhang, S.Q.; Zhang, P.Y.; Pan, B.H.; Zou, Y.A.; Xie, Y.H.; Zhu, F.; Chen, X.S.; Li, F.; Deng, Z.M.; Zhang, H.; et al. Wetland restoration in the East Dongting Lake effectively increased waterbird diversity by improving habitat quality. Glob. Ecol. Conserv. 2021, 27, 15–35. [Google Scholar] [CrossRef]
- Ma, Y.M.; Guo, C.M.; Wang, Y.; Li, J.P.; Tang, X.L.; Chen, L.W. Remote sensing monitoring on area dynamic change of major water bodies in western jinlin province. Bull. Soil Water Conserv. 2018, 38, 249–255. [Google Scholar]
- Ding, C.; Liu, J.P.; Ma, M.Y.; Ma, C.D.; Liu, Y.B. Plant species diversity of meadow-marsh ecosystem in Xianghai. Wetl. Sci. 2017, 15, 552–555. [Google Scholar]
- Jia, Y.F.; Jiao, S.W.; Zhang, Y.M.; Zhou, Y.; Lei, G.C.; Liu, G.H. Diet Shift and Its Impact on Foraging Behavior of Siberian Crane (Grus Leucogeranus) in Poyang Lake. PLoS ONE 2013, 8, e65843. [Google Scholar] [CrossRef]
- Elafri, A.; Belhamra, M.; Houhamdi, M. Comparing habitat preferences of a set of waterbird species wintering in coastal wetlands of North Africa: Implication for management. Ekológia 2017, 36, 158–171. [Google Scholar] [CrossRef]
- Zhang, P.Y.; Zou, Y.A.; Xie, Y.H.; Zhang, H.; Liu, X.K.; Gao, D.L.; Yi, F.Y. Shifts in distribution of herbivorous geese relative to hydrological variation in East Dongting Lake wetland, China. Sci. Total Environ. 2018, 636, 30–38. [Google Scholar] [CrossRef] [PubMed]
- Chatterjee, A.; Adhikari, S.; Pal, S.; Mukhopadhyay, S.K. Foraging guild structure and niche characteristics of waterbirds wintering in selected sub-Himalayan wetlands of India. Ecol. Indic. 2020, 108, 105693. [Google Scholar] [CrossRef]
- Guan, L.; Lei, J.L.; Zuo, A.J.; Zhang, H.; Lei, G.C.; Wen, L. Optimizing the timing of water level recession for conservation of wintering geese in Dongting Lake, China. Ecol. Eng. 2016, 88, 90–98. [Google Scholar] [CrossRef]
- Chen, L.W.; Zhang, G.X.; Xu, Y.J.; Chen, S.B.; Wu, Y.F.; Gao, Z.T.; Yu, H.Y. Human Activities and Climate Variability Affecting Inland Water Surface Area in a High Latitude River Basin. Water 2020, 12, 382. [Google Scholar] [CrossRef]
- Romano, M.; Barberis, I.; Pagano, F.; Maidagan, J. Seasonal and interannual variation in waterbird abundance and species composition in the Melincue saline lake, Argentina. Eur. J. Wildl. Res. 2005, 51, 1–13. [Google Scholar] [CrossRef]
- Sun, Z.D.; Huang, Q.; Opp, C.; Hennig, T.; Marold, U. Impacts and Implications of Major Changes Caused by the Three Gorges Dam in the Middle Reaches of the Yangtze River, China. Water Resour. Manag. 2012, 26, 3367–3378. [Google Scholar] [CrossRef]
- Yu, Y.W.; Yi, F.J.; Lei, G.; Cai, L.; Guang, C.L.; Li, W.; Guan, H.L. Optimising hydrological conditions to sustain wintering waterbird populations in Poyang Lake National Natural Reserve: Implications for dam operations. Freshw. Biol. 2013, 58, 2366–2379. [Google Scholar]
- Wu, H.B.; Zheng, B.H. Wetland area identification and waterbird protection management in consideration of lake topography and water level change. Glob. Ecol. Conserv. 2020, 23, e01056. [Google Scholar] [CrossRef]
- Wang, C.; Liu, H.Y.; Li, Y.F.; Dong, B.; Qiu, C.Q.; Yang, J.L.; Zong, Y.; Chen, H.; Zhao, Y.Q.; Zhang, Y.A. Study on habitat suitability and environmental variable thresholds of rare waterbirds. Sci. Total Environ. 2021, 785, 147–316. [Google Scholar] [CrossRef]
- Liu, J.P.; Ma, C.D. The spatial variation in the patch stability of marshes in Xianghai between 1985 and 2015. Acta Ecol. Sin. 2017, 37, 1261–1269. [Google Scholar]
- Fan, J.; Wang, X.D.; Wu, W.; Chen, W.P.; Ma, Q.; Ma, Z.J. Function of restored wetlands for waterbird conservation in the Yellow Sea coast. Sci. Total Environ. 2021, 756, 144061. [Google Scholar] [CrossRef] [PubMed]
- Lang, Z.H.; Xu, M.X.; Gao, W.H. Water environment situation and protection measures for Xianghai wetland in Jilin Province. Yangtze River 2011, 42, 34–38. [Google Scholar]
- Cheng, W.; Gang, W.; Ling, J.D.; Hong, Y.L.; Yu, F.L.; Yi, Z.; Hao, C.; Bin, D.; Shi, C.L.; Yong, Q.Z. Diverse usage of waterbird habitats and spatial management in Yancheng coastal wetlands. Ecol. Indic. 2020, 117, 106–583. [Google Scholar]
- Chris, S.; Lewis, W. Winter Management of Californian Rice Fields for Waterbirds. J. Appl. Ecol. 1998, 35, 95–108. [Google Scholar]







Publisher’s Note: MDPI stays neutral with regard to jurisdictional claims in published maps and institutional affiliations. |
© 2022 by the authors. Licensee MDPI, Basel, Switzerland. This article is an open access article distributed under the terms and conditions of the Creative Commons Attribution (CC BY) license (https://creativecommons.org/licenses/by/4.0/).
Share and Cite
Li, D.; Zhu, S.; Gao, J.; Jiang, H.; Deng, G.; Sheng, L.; Cao, Y.; Li, L.; Lin, B. The Influence of Ecological Engineering on Waterbird Diversity in Different Habitats within the Xianghai Nature Reserve. Diversity 2022, 14, 1016. https://doi.org/10.3390/d14121016
Li D, Zhu S, Gao J, Jiang H, Deng G, Sheng L, Cao Y, Li L, Lin B. The Influence of Ecological Engineering on Waterbird Diversity in Different Habitats within the Xianghai Nature Reserve. Diversity. 2022; 14(12):1016. https://doi.org/10.3390/d14121016
Chicago/Turabian StyleLi, Dehao, Shiying Zhu, Jin Gao, Haibo Jiang, Guangyi Deng, Lianxi Sheng, Yingyue Cao, Lianshan Li, and Baoqing Lin. 2022. "The Influence of Ecological Engineering on Waterbird Diversity in Different Habitats within the Xianghai Nature Reserve" Diversity 14, no. 12: 1016. https://doi.org/10.3390/d14121016
APA StyleLi, D., Zhu, S., Gao, J., Jiang, H., Deng, G., Sheng, L., Cao, Y., Li, L., & Lin, B. (2022). The Influence of Ecological Engineering on Waterbird Diversity in Different Habitats within the Xianghai Nature Reserve. Diversity, 14(12), 1016. https://doi.org/10.3390/d14121016
