Ecotoxicological Evaluation of Dye Degradation and Photodegradation by Peracetic Acid with Sodium Carbonate
Abstract
1. Introduction
2. Materials and Methods
2.1. Dye Degradation Assay
2.2. Bioassays Using G. tigrina
2.2.1. Acute Test with G. tigrina
2.2.2. Chronic Tests with G. tigrina
3. Results
3.1. Dye Degradation
3.2. Ecotoxicological Tests
3.2.1. Acute Test with G. tigrina
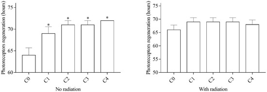
3.2.2. Chronic Tests with G. tigrina
4. Discussion
5. Conclusions
Author Contributions
Funding
Institutional Review Board Statement
Data Availability Statement
Acknowledgments
Conflicts of Interest
References
- Varjani, S.; Rakholiya, P.; Shindhal, T.; Shah, A.V.; Ngo, H.H. Trends in dye industry effluent treatment and recovery of value added products. J. Water Process Eng. 2021, 39, 101734. [Google Scholar] [CrossRef]
- Bougdour, N.; Tiskatine, R.; Bakas, I.; Assabbane, A. Photocatalytic Degradation of industrial textile wastewater using S2O82−/Fe2+ process. Rev. Mater. Today Proc. 2019, 22, 69–72. [Google Scholar] [CrossRef]
- Ramirez, J.H.; Vicente, M.A.; Madeira, L.M. Heterogeneous photo-Fenton oxidation with pillared clay-based catalysts for wastewater treatment: A review. Appl. Catal. B Environ. 2010, 98, 10–26. [Google Scholar] [CrossRef]
- Li, M.; Qiang, Z.; Pulgarin, C.; Kiwi, J. Accelerated methylene blue (MB) degradation by Fenton reagent exposed to UV or VUV/UV light in an innovative micro photo-reactor. Appl. Catal. B Environ. 2016, 187, 83–89. [Google Scholar] [CrossRef]
- Ismail, G.A.; Sakai, H. Review on effect of different type of dyes on advanced oxidation processes (AOPs) for textile color removal. Chemosphere 2022, 291, 132906. [Google Scholar] [CrossRef] [PubMed]
- Wang, Y.; An, P.; Li, S.; Zhou, L. The Oxidation Mechanism and Kinetics of 2′-Deoxyguanosine by Carbonate Radical Anion. Chem. Phys. Lett. 2020, 739, 136982. [Google Scholar] [CrossRef]
- Gao, J.; Duan, X.; O’shea, K.; Dionysiou, D.D. Degradation and transformation of bisphenol A in UV/Sodium percarbonate: Dual role of carbonate radical anion. Water Res. 2020, 171, 115394. [Google Scholar] [CrossRef] [PubMed]
- Vieira, M.M.; Dornelas, A.S.P.; Carlos, T.D.; Pallini, A.; Gravato, C.; Pereira, D.H.; Sarmento, R.A.; Cavallini, G.S. When treatment increases the contaminant’s ecotoxicity: A study of the Fenton process in the degradation of methylene blue. Chemosphere 2021, 283, 131117. [Google Scholar] [CrossRef] [PubMed]
- Dornelas, A.S.; Ferreira, J.S.J.; Silva, L.C.R.; Saraiva, A.S.; Saraiva, A.S.; Cavallini, G.S.; Gravato, C.A.S.; Soares, A.M.V.M.; Sarmento, R.S. The sexual reproduction of the nontarget planarian Girardia tigrina is afected by ecologically relevant concentrations of difenoconazole: New sensitive tools in ecotoxicology. Environ. Sci. Pollut. Res. 2022, 29, 27095–27103. [Google Scholar] [CrossRef] [PubMed]
- Macêdo, L.P.R.; Dornelas, A.S.P.; Vieira, M.M.; Ferreira, J.S.J.; Sarmento, R.A.; Cavallini, G.S. Comparative ecotoxicological evaluation of peracetic acid and the active chlorine of calcium hypochlorite: Use of Dugesia tigrina as a bioindicator of environmental pollution. Chemosphere 2019, 233, 273–281. [Google Scholar] [CrossRef] [PubMed]
- Carlos, T.D.; Bezerra, L.B.; Vieia, M.M.; Sarmento, R.S.; Pereira, D.H.; Cavallini, G.S. Fenton-type process using peracetic acid: Efficiency, reaction elucidations and ecotoxicity. J. Hazard. Mater. 2021, 403, 5. [Google Scholar] [CrossRef]
- das Neves, A.P.N.; Carlos, T.D.; Bezerra, L.B.; Alceno, W.D.; Sarmento, R.A.; de Souza, N.L.G.D.; Pereira, D.H.; Cavallini, G.S. Carbonate anion photolyzed by solar radiation or combined with peracetic acid to form reactive species for dye degradation. J. Photochem. Photobiol. A Chem. 2021, 420, 113511. [Google Scholar] [CrossRef]
- ASTM. Standard Practice for Conducting Acute Toxicity Tests with Fishes, Macroinvertebrates, and Amphibians. American Society for Testing and Materials; ASTM: Philadelphia, PA, USA, 1980; pp. E729–E780. [Google Scholar]
- Luna, L.A.V.; da Silva, T.H.G.; Nogueira, R.F.P.; Kummrow, F.; Umbuzeiro, G.A. Aquatic toxicity of dyes before and after photo-Fenton treatment. J. Hazard. Mater. 2014, 276, 332–338. [Google Scholar] [CrossRef]
- Zimmermann, B.M.; Peres, E.C.; Dotto, G.L.; Foletto, E.L. Decolorization and degradation of methylene blue by photo-Fenton reaction under visible light using na iron-rich clay as catalyst: CCD-RSM design and LC-MS technique. REGET 2020, 24, 27. [Google Scholar] [CrossRef]
- Pirotte, N.; Stevens, A.S.; Fraguas, S.; Plusquin, M.; van Roten, A.; van Belleghem, F.; Paesen, R.; Ameloot, M.; Cebrià, F.; Artois, T.; et al. Reactive oxygen species in planaria regeneration: An upstream necessity for correct patterning and brain formation. Oxidat. Med. Cell. Longev. 2015, 2015, 392476. [Google Scholar]



| Concentration (%) | C0/ASTM | C1 | C2 | C3 | C4 | C5 | C6 |
|---|---|---|---|---|---|---|---|
| No radiation | 0% | 2.5% | 5% | 7.5% | 10% | 12.5% | 15% |
| With radiation | 0% | 1.5% | 3.0% | 4.5% | 6.0% | 7.5% | 9.0% |
| Initial Concentrations | Concentrations after the Degradation Process | ||
|---|---|---|---|
| No Radiation (24 h) | With Radiation * (2 h) | ||
| Methylene blue | 16.0 μmol.L −1 | 0.13 μmol.L−1 | 0.06 μmol.L−1 |
| PAA | 1.3 mmol.L−1 | 0.017 mmol.L−1 | 0.019 mmol.L−1 |
| Carbonate | 3.5 mmol.L−1 | 2.511 mmol.L−1 | 2.229 mmol.L−1 |
| Bicarbonate | 0 | 0.222 mmol.L−1 | 0.220 mmol.L−1 |
| % dye removal | 99.18% | 99.62% | |
| Test Type | Exposure (h) | LC50 (%) * | Minimum and Maximum (%) |
|---|---|---|---|
| No radiation | 96 | 4.163 | 3.750–5.000 |
| With radiation | 96 | 6.434 | 6.091–6.789 |
| Methylene Blue | PAA | Carbonate | Bicarbonate | ||
|---|---|---|---|---|---|
| Control | C0 | 0 | 0 | 0 | 0 |
| No radiation | C1 | 0.19 nmol.L−1 | 26 µmol.L−1 | 0.20 µmol.L−1 | 2.32 µmol.L−1 |
| C2 | 0.27 nmol.L−1 | 0.36 µmol.L−1 | 0.28 µmol.L−1 | 3.25 µmol.L−1 | |
| C3 | 0.38 nmol.L−1 | 0.51 µmol.L−1 | 0.39 µmol.L−1 | 4.55 µmol.L−1 | |
| C4 | 0.54 nmol.L−1 | 0.71 µmol.L−1 | 0.55 µmol.L−1 | 6.37 µmol.L−1 | |
| With radiation | C1 | 0.14 nmol.L−1 | 0.44 µmol.L−1 | 0.31 µmol.L−1 | 3.28 µmol.L−1 |
| C2 | 0.19 nmol.L−1 | 0.61 µmol.L−1 | 0.43 µmol.L−1 | 4.59 µmol.L−1 | |
| C3 | 0.27 nmol.L−1 | 0.86 µmol.L−1 | 0.61 µmol.L−1 | 6.43 µmol.L−1 | |
| C4 | 0.38 nmol.L−1 | 1.2 µmol.L−1 | 0.85 µmol.L−1 | 9.0 µmol.L−1 | |
| Physicochemical Parameters | ||||||
|---|---|---|---|---|---|---|
| pH | DO (mg.L−1) | Conductivity (µS.cm−2) | Temperature (°C) | TDS (mg.L−1) | ||
| No radiation | 0% | 7.34 | 6.1 | 626 | 27.4 | 0.29 |
| 2.5% | 7.19 | 4.7 | 601 | 27.6 | 0.28 | |
| 5% | 7.21 | 4.6 | 584 | 27.7 | 0.27 | |
| 7.5% | 7.13 | 4.6 | 589 | 27.6 | 0.27 | |
| 10% | 7.09 | 5.0 | 592 | 27.6 | 0.27 | |
| 12.5% | 7.05 | 4.8 | 593 | 27.5 | 0.27 | |
| 15% | 7.04 | 4.9 | 599 | 27.5 | 0.28 | |
| With radiation | 0% | 7.25 | 3.9 | 620 | 27.8 | 0.29 |
| 1.5% | 7.22 | 4.1 | 617 | 27.9 | 0.28 | |
| 3.0% | 7.20 | 4.1 | 614 | 27.8 | 0.28 | |
| 4.5% | 7.21 | 4.1 | 617 | 27.9 | 0.28 | |
| 6.0% | 7.23 | 4.5 | 613 | 27.9 | 0.28 | |
| 7.5% | 7.25 | 4.2 | 613 | 28.1 | 0.28 | |
| 9.0% | 7.30 | 4.5 | 607 | 28.0 | 0.28 | |
Publisher’s Note: MDPI stays neutral with regard to jurisdictional claims in published maps and institutional affiliations. |
© 2022 by the authors. Licensee MDPI, Basel, Switzerland. This article is an open access article distributed under the terms and conditions of the Creative Commons Attribution (CC BY) license (https://creativecommons.org/licenses/by/4.0/).
Share and Cite
Bezerra, L.B.; Carlos, T.D.; Dornelas, A.S.P.; Martins, W.S.; Pereira, M.A.B.; de Souza Nolberto, A.K.; dos Santos, G.R.; do Nascimento, I.R.; Fidelis, R.R.; de Souza, N.L.G.D.; et al. Ecotoxicological Evaluation of Dye Degradation and Photodegradation by Peracetic Acid with Sodium Carbonate. Diversity 2022, 14, 931. https://doi.org/10.3390/d14110931
Bezerra LB, Carlos TD, Dornelas ASP, Martins WS, Pereira MAB, de Souza Nolberto AK, dos Santos GR, do Nascimento IR, Fidelis RR, de Souza NLGD, et al. Ecotoxicological Evaluation of Dye Degradation and Photodegradation by Peracetic Acid with Sodium Carbonate. Diversity. 2022; 14(11):931. https://doi.org/10.3390/d14110931
Chicago/Turabian StyleBezerra, Leydiane Barbosa, Thayrine Dias Carlos, Aline Silvestre Pereira Dornelas, Warlyton Silva Martins, Miréia Aparecida Bezerra Pereira, Aline Karla de Souza Nolberto, Gil Rodrigues dos Santos, Ildon Rodrigues do Nascimento, Rodrigo Ribeiro Fidelis, Nelson Luis Gonçalves Dias de Souza, and et al. 2022. "Ecotoxicological Evaluation of Dye Degradation and Photodegradation by Peracetic Acid with Sodium Carbonate" Diversity 14, no. 11: 931. https://doi.org/10.3390/d14110931
APA StyleBezerra, L. B., Carlos, T. D., Dornelas, A. S. P., Martins, W. S., Pereira, M. A. B., de Souza Nolberto, A. K., dos Santos, G. R., do Nascimento, I. R., Fidelis, R. R., de Souza, N. L. G. D., Pereira, D. H., Sarmento, R. A., & Cavallini, G. S. (2022). Ecotoxicological Evaluation of Dye Degradation and Photodegradation by Peracetic Acid with Sodium Carbonate. Diversity, 14(11), 931. https://doi.org/10.3390/d14110931

