Genome Sequence of Brevundimonas sp., an Arsenic Resistant Soil Bacterium
Abstract
:1. Introduction
2. Materials and Methods
2.1. Soil Sampling and Bacteria Isolation
2.2. Arsenic Resistance
2.3. Molecular Identification of Bacteria
2.4. Growth Conditions and Genomic DNA Preparation for Sequencing
2.5. Genome Sequencing and Assembly
2.6. As-Resistance Related Genes Expression Assay
2.7. Data Analyses
3. Results
3.1. Bacteria Identification and As-Resistance
3.2. Genome Properties
3.3. Insights from the Genome Sequence
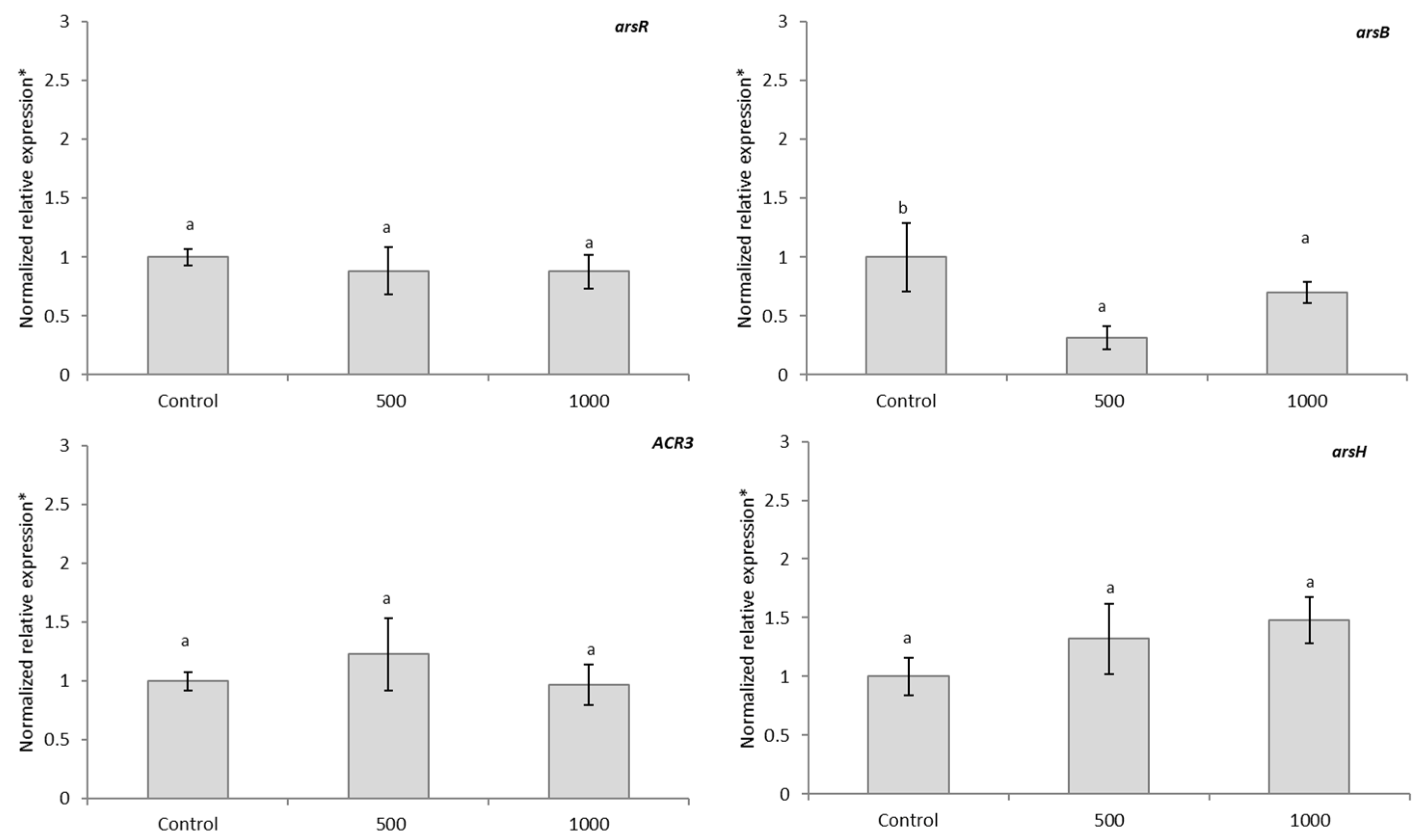
3.4. Real-Time PCR
4. Discussion
5. Conclusions
Supplementary Materials
Author Contributions
Funding
Institutional Review Board Statement
Informed Consent Statement
Data Availability Statement
Conflicts of Interest
References
- Kumar, S.; Dubey, R.S.; Tripathi, R.D.; Chakrabarty, D.; Trivedi, P.K. Omics and biotechnology of arsenic stress and detoxification in plants: Current updates and prospective. Environ. Int. 2015, 74, 221–230. [Google Scholar] [CrossRef]
- Mandal, B.K.; Suzuki, K.T. Arsenic round the world: A review. Talanta 2002, 58, 201–235. [Google Scholar] [CrossRef]
- Duruibe, J.O.; Ogwuegbu, M.; Egwurugwu, J. Heavy metal pollution and human biotoxic effects. Int. J. Phys. Sci. 2007, 2, 112–118. [Google Scholar]
- Gamboa-Loira, B.; Cebrian, M.E.; Franco-Marina, F.; Lopez-Carrillo, L. Arsenic metabolism and cancer risk: A meta-analysis. Environ. Res. 2017, 156, 551–558. [Google Scholar] [CrossRef]
- Garelick, H.; Jones, H.; Dybowska, A.; Valsami-Jones, E. Arsenic pollution sources. In Reviews of Environmental Contamination Volume 197; Springer: Berlin/Heidelberg, Germany, 2009; pp. 17–60. [Google Scholar]
- Chandrakar, V.; Naithani, S.C.; Keshavkant, S. Arsenic-induced metabolic disturbances and their mitigation mechanisms in crop plants: A review. Biologia 2016, 71, 367–377. [Google Scholar] [CrossRef]
- Finnegan, P.; Chen, W. Arsenic toxicity: The effects on plant metabolism. Front. Physiol. 2012, 3, 182. [Google Scholar] [CrossRef] [Green Version]
- Gusman, G.S.; Oliveira, J.A.; Farnese, F.S.; Cambraia, J. Arsenate and arsenite: The toxic effects on photosynthesis and growth of lettuce plants. Acta Physiol. Plant. 2013, 35, 1201–1209. [Google Scholar] [CrossRef]
- Huestis, J.; Zhou, X.; Chen, L.; Feng, C.; Hudson, L.G.; Liu, K.J. Kinetics and thermodynamics of zinc (II) and arsenic (III) binding to XPA and PARP-1 zinc finger peptides. J. Inorg. Biochem. 2016, 163, 45–52. [Google Scholar] [CrossRef] [Green Version]
- Fayiga, A.O.; Saha, U.K. Arsenic hyperaccumulating fern: Implications for remediation of arsenic contaminated soils. Geoderma 2016, 284, 132–143. [Google Scholar] [CrossRef]
- Basu, A.; Mahata, J.; Gupta, S.; Giri, A. Genetic toxicology of a paradoxical human carcinogen, arsenic: A review. Mutat. Res. Rev. Mutat. Res. 2001, 488, 171–194. [Google Scholar] [CrossRef]
- Jedynak, L.; Kowalska, J.; Leporowska, A. Arsenic uptake and phytochelatin synthesis by plants from two arsenic-contaminated sites in Poland. Pol. J. Environ. Stud. 2012, 21, 1629–1633. [Google Scholar]
- Rafiq, M.; Shahid, M.; Abbas, G.; Shamshad, S.; Khalid, S.; Niazi, N.K.; Dumat, C. Comparative effect of calcium and EDTA on arsenic uptake and physiological attributes of Pisum sativum. Int. J. Phytoremediat. 2017, 19, 662–669. [Google Scholar] [CrossRef] [PubMed]
- Shahid, M.; Dumat, C.; Khalid, S.; Schreck, E.; Xiong, T.; Niazi, N.K. Foliar heavy metal uptake, toxicity and detoxification in plants: A comparison of foliar and root metal uptake. J. Hazard. Mater. 2017, 325, 36–58. [Google Scholar] [CrossRef] [PubMed] [Green Version]
- Singh, P.K.; Indoliya, Y.; Chauhan, A.S.; Singh, S.P.; Singh, A.P.; Dwivedi, S.; Tripathi, R.D.; Chakrabarty, D. Nitric oxide mediated transcriptional modulation enhances plant adaptive responses to arsenic stress. Sci. Rep. 2017, 7, 3592. [Google Scholar] [CrossRef] [PubMed]
- Talukdar, D. Arsenic-induced changes in growth and antioxidant metabolism of fenugreek. Russ. J. Plant Physiol. 2013, 60, 652–660. [Google Scholar] [CrossRef]
- Qin, J.; Rosen, B.P.; Zhang, Y.; Wang, G.; Franke, S.; Rensing, C. Arsenic detoxification and evolution of trimethylarsine gas by a microbial arsenite S-adenosylmethionine methyltransferase. Proc. Natl. Acad. Sci. USA 2006, 103, 2075–2080. [Google Scholar] [CrossRef] [Green Version]
- Borch, T.; Kretzschmar, R.; Kappler, A.; Cappellen, P.V.; Ginder-Vogel, M.; Voegelin, A.; Campbell, K. Biogeochemical redox processes and their impact on contaminant dynamics. Environ. Sci. Technol. 2009, 44, 15–23. [Google Scholar] [CrossRef]
- Lim, K.; Shukor, M.; Wasoh, H. Physical, chemical, and biological methods for the removal of arsenic compounds. BioMed Res. Int. 2014, 2014, 503784. [Google Scholar] [CrossRef] [Green Version]
- Das, S.; Jean, J.-S.; Kar, S.; Chou, M.-L.; Chen, C.-Y. Screening of plant growth-promoting traits in arsenic-resistant bacteria isolated from agricultural soil and their potential implication for arsenic bioremediation. J. Hazard. Mater. 2014, 272, 112–120. [Google Scholar] [CrossRef]
- Satyapal, G.K.; Mishra, S.K.; Srivastava, A.; Ranjan, R.K.; Prakash, K.; Haque, R.; Kumar, N. Possible bioremediation of arsenic toxicity by isolating indigenous bacteria from the middle Gangetic plain of Bihar, India. Biotechnol. Rep. 2018, 17, 117–125. [Google Scholar] [CrossRef]
- Singh, N.; Gupta, S.; Marwa, N.; Pandey, V.; Verma, P.C.; Rathaur, S.; Singh, N. Arsenic mediated modifications in Bacillus aryabhattai and their biotechnological applications for arsenic bioremediation. Chemosphere 2016, 164, 524–534. [Google Scholar] [CrossRef] [PubMed]
- Suhadolnik, M.L.; Salgado, A.P.; Scholte, L.L.; Bleicher, L.; Costa, P.S.; Reis, M.P.; Dias, M.F.; Ávila, M.P.; Barbosa, F.A.; Chartone-Souza, E. Novel arsenic-transforming bacteria and the diversity of their arsenic-related genes and enzymes arising from arsenic-polluted freshwater sediment. Sci. Rep. 2017, 7, 11231. [Google Scholar] [CrossRef] [PubMed]
- Rosen, B.P. Families of arsenic transporters. Trends Microbiol. 1999, 7, 207–212. [Google Scholar] [CrossRef]
- Silver, S.; Phung, L.T. Genes and enzymes involved in bacterial oxidation and reduction of inorganic arsenic. Appl. Environ. Microbiol. 2005, 71, 599–608. [Google Scholar] [CrossRef] [PubMed] [Green Version]
- Rosen, B.P. Biochemistry of arsenic detoxification. FEBS Lett. 2002, 529, 86–92. [Google Scholar] [CrossRef] [Green Version]
- Kumar, V.; Gera, R. Isolation of a multi-trait plant growth promoting Brevundimonas sp. and its effect on the growth of Bt-cotton. 3 Biotech 2014, 4, 97–101. [Google Scholar] [CrossRef] [Green Version]
- Ji, B.; Chen, W.; Zhu, L.; Yang, K. Isolation of aluminum-tolerant bacteria capable of nitrogen removal in activated sludge. Mar. Pollut. Bull. 2016, 106, 31–34. [Google Scholar] [CrossRef]
- Singh, N.; Marwa, N.; Mishra, J.; Verma, P.C.; Rathaur, S.; Singh, N. Brevundimonas diminuta mediated alleviation of arsenic toxicity and plant growth promotion in Oryza sativa L. Ecotoxicol. Environ. Saf. 2016, 125, 25–34. [Google Scholar] [CrossRef]
- Ginocchio, R. Effects of a copper smelter on a grassland community in the Puchuncavı Valley, Chile. Chemosphere 2000, 41, 15–23. [Google Scholar] [CrossRef]
- Soto, J.; Ortiz, J.; Herrera, H.; Fuentes, A.; Almonacid, L.; Charles, T.C.; Arriagada, C. Enhanced arsenic tolerance in Triticum aestivum inoculated with arsenic-resistant and plant growth promoter microorganisms from a heavy metal-polluted soil. Microorganisms 2019, 7, 348. [Google Scholar] [CrossRef] [Green Version]
- Banerjee, S.; Datta, S.; Chattyopadhyay, D.; Sarkar, P. Arsenic accumulating and transforming bacteria isolated from contaminated soil for potential use in bioremediation. J. Environ. Sci. Health Part A 2011, 46, 1736–1747. [Google Scholar] [CrossRef]
- Alanjary, M.; Steinke, K.; Ziemert, N. AutoMLST: An automated web server for generating multi-locus species trees highlighting natural product potential. Nucleic Acids Res. 2019, 47, W276–W282. [Google Scholar] [CrossRef] [PubMed] [Green Version]
- Kumar, S.; Stecher, G.; Li, M.; Knyaz, C.; Tamura, K. MEGA X: Molecular evolutionary genetics analysis across computing platforms. Mol. Biol. Evol. 2018, 35, 1547–1549. [Google Scholar] [CrossRef]
- Bankevich, A.; Nurk, S.; Antipov, D.; Gurevich, A.A.; Dvorkin, M.; Kulikov, A.S.; Lesin, V.M.; Nikolenko, S.I.; Pham, S.; Prjibelski, A.D. SPAdes: A new genome assembly algorithm and its applications to single-cell sequencing. J. Comput. Biol. 2012, 19, 455–477. [Google Scholar] [CrossRef] [PubMed] [Green Version]
- Guizelini, D.; Raittz, R.T.; Cruz, L.M.; Souza, E.M.; Steffens, M.B.; Pedrosa, F.O. GFinisher: A new strategy to refine and finish bacterial genome assemblies. Sci. Rep. 2016, 6, 34963. [Google Scholar] [CrossRef] [Green Version]
- Li, D.; Liu, C.-M.; Luo, R.; Sadakane, K.; Lam, T.-W. MEGAHIT: An ultra-fast single-node solution for large and complex metagenomics assembly via succinct de Bruijn graph. Bioinformatics 2015, 31, 1674–1676. [Google Scholar] [CrossRef] [Green Version]
- Jackman, S.D.; Vandervalk, B.P.; Mohamadi, H.; Chu, J.; Yeo, S.; Hammond, S.A.; Jahesh, G.; Khan, H.; Coombe, L.; Warren, R.L. ABySS 2.0: Resource-efficient assembly of large genomes using a Bloom filter. Genome Res. 2017, 27, 768–777. [Google Scholar] [CrossRef] [Green Version]
- Aziz, R.K.; Bartels, D.; Best, A.A.; DeJongh, M.; Disz, T.; Edwards, R.A.; Formsma, K.; Gerdes, S.; Glass, E.M.; Kubal, M. The RAST Server: Rapid annotations using subsystems technology. BMC Genom. 2008, 9, 75. [Google Scholar] [CrossRef] [Green Version]
- Hyatt, D.; Chen, G.-L.; LoCascio, P.F.; Land, M.L.; Larimer, F.W.; Hauser, L.J. Prodigal: Prokaryotic gene recognition and translation initiation site identification. BMC Bioinform. 2010, 11, 119. [Google Scholar] [CrossRef] [Green Version]
- Simão, F.A.; Waterhouse, R.M.; Ioannidis, P.; Kriventseva, E.V.; Zdobnov, E.M. BUSCO: Assessing genome assembly and annotation completeness with single-copy orthologs. Bioinformatics 2015, 31, 3210–3212. [Google Scholar] [CrossRef] [Green Version]
- Jullien, N. AmplifX 1.7.0; CNRS Aix-Marseille University: Marseille, France, 2013. [Google Scholar]
- Vandesompele, J.; De Preter, K.; Pattyn, F.; Poppe, B.; Van Roy, N.; De Paepe, A.; Speleman, F. Accurate normalization of real-time quantitative RT-PCR data by geometric averaging of multiple internal control genes. Genome Biol. 2002, 3, 1–12. [Google Scholar] [CrossRef] [PubMed] [Green Version]
- Andersen, C.L.; Jensen, J.L.; Ørntoft, T.F. Normalization of real-time quantitative reverse transcription-PCR data: A model-based variance estimation approach to identify genes suited for normalization, applied to bladder and colon cancer data sets. Cancer Res. 2004, 64, 5245–5250. [Google Scholar] [CrossRef] [Green Version]
- Fekih, I.B.; Zhang, C.; Li, Y.P.; Zhao, Y.; Alwathnani, H.A.; Saquib, Q.; Rensing, C.; Cervantes, C. Distribution of arsenic resistance genes in prokaryotes. Front. Microbiol. 2018, 9, 2473. [Google Scholar] [CrossRef] [PubMed]
- Bhullar, K.; Waglechner, N.; Pawlowski, A.; Koteva, K.; Banks, E.D.; Johnston, M.D.; Barton, H.A.; Wright, G.D. Antibiotic resistance is prevalent in an isolated cave microbiome. PLoS ONE 2012, 7, e34953. [Google Scholar]
- Achour, A.R.; Bauda, P.; Billard, P. Diversity of arsenite transporter genes from arsenic-resistant soil bacteria. Res. Microbiol. 2007, 158, 128–137. [Google Scholar] [CrossRef]
- Garbinski, L.D.; Rosen, B.P.; Chen, J. Pathways of arsenic uptake and efflux. Environ. Int. 2019, 126, 585–597. [Google Scholar] [CrossRef]
- Falgenhauer, L.; Ghosh, H.; Guerra, B.; Yao, Y.; Fritzenwanker, M.; Fischer, J.; Helmuth, R.; Imirzalioglu, C.; Chakraborty, T. Comparative genome analysis of IncHI2 VIM-1 carbapenemase-encoding plasmids of Escherichia coli and Salmonella enterica isolated from a livestock farm in Germany. Vet. Microbiol. 2017, 200, 114–117. [Google Scholar] [CrossRef]
- Páez-Espino, A.D.; Durante-Rodríguez, G.; de Lorenzo, V. Functional coexistence of twin arsenic resistance systems in Pseudomonas putida KT 2440. Environ. Microbiol. 2015, 17, 229–238. [Google Scholar] [CrossRef] [Green Version]
- Dopson, M.; Lindström, B.E.; Hallberg, K.B. Chromosomally encoded arsenical resistance of the moderately thermophilic acidophile Acidithiobacillus caldus. Extremophiles 2001, 5, 247–255. [Google Scholar] [CrossRef]
- De Groot, P.; Deane, S.M.; Rawlings, D.E. A transposon-located arsenic resistance mechanism from a strain of Acidithiobacillus caldus isolated from commercial, arsenopyrite biooxidation tanks. Hydrometallurgy 2003, 71, 115–123. [Google Scholar] [CrossRef]
- Ryan, D.; Colleran, E. Arsenical resistance in the IncHI2 plasmids. Plasmid 2002, 47, 234–240. [Google Scholar] [CrossRef]
- Zhou, T.; Radaev, S.; Rosen, B.P.; Gatti, D.L. Structure of the ArsA ATPase: The catalytic subunit of a heavy metal resistance pump. EMBO J. 2000, 19, 4838–4845. [Google Scholar] [CrossRef] [PubMed] [Green Version]
- Xu, C.; Shi, W.; Rosen, B.P. The chromosomal arsR gene of Escherichia coli encodes a trans-acting metalloregulatory protein. J. Biol. Chem. 1996, 271, 2427–2432. [Google Scholar] [CrossRef] [Green Version]
- Wu, J.; Rosen, B. Metalloregulated expression of the ars operon. J. Biol. Chem. 1993, 268, 52–58. [Google Scholar] [CrossRef]
- Blum, J.S.; Hernandez-Maldonado, J.; Redford, K.; Sing, C.; Bennett, S.C.; Saltikov, C.W.; Oremland, R.S. Arsenate-dependent growth is independent of an ArrA mechanism of arsenate respiration in the termite hindgut isolate Citrobacter sp. strain TSA-1. Can. J. Microbiol. 2018, 64, 619–627. [Google Scholar] [CrossRef] [PubMed] [Green Version]
- Dey, S.; Rosen, B.P. Dual mode of energy coupling by the oxyanion-translocating ArsB protein. J. Bacteriol. 1995, 177, 385–389. [Google Scholar] [CrossRef] [Green Version]
- Shen, Z.; Han, J.; Wang, Y.; Sahin, O.; Zhang, Q. The contribution of ArsB to arsenic resistance in Campylobacter jejuni. PLoS ONE 2013, 8, e58894. [Google Scholar] [CrossRef] [PubMed] [Green Version]
- Yang, H.-C.; Fu, H.-L.; Lin, Y.-F.; Rosen, B.P. Pathways of arsenic uptake and efflux. In Current Topics in Membranes; Elsevier: Amsterdam, The Netherlands, 2012; Volume 69, pp. 325–358. [Google Scholar]
- Castillo, R.; Saier, M.H. Functional promiscuity of homologues of the bacterial ArsA ATPases. Int. J. Microbiol. 2010, 2010, 187373. [Google Scholar] [CrossRef] [PubMed] [Green Version]




| Gene | Sequence 5′-3′ | Length (pb) |
|---|---|---|
| arsB | GGGCATGTATCTGGTGGTCT | 165 |
| AGGACAGTCGGCATGTTGTT | ||
| arsR | CGGTGACATCTCCAACCATC | 165 |
| TCCTTGAGCAGGAAGAGGAC | ||
| ACR3 | ATCAGCCGGAATACATGACC | 164 |
| CCAGGCATAAAGGCTGAAGA | ||
| arsH2 | CTTCCAGGAGTTCGACGG | 165 |
| CGGACCAGAATGGTGAAG | ||
| * rpoB | CATCTATCGCCTGTCGAAGTTCCA | 196 |
| GTCTTCGAAGTTGTAGCCGTTCCA | ||
| * gap | GACCATCGTCTACAAGGTCAACCA | 196 |
| GATCCTTGTGCATCGTATCCAG | ||
| * rho | AACATCGCCAAGTCGATCGAGA | 187 |
| GCTTGGCCTTTTCGATCACCAT |
| Value | Defense Subsystems |
|---|---|
| 7 | Colicin V and Bacteriocin Production Cluster |
| 21 | Copper homeostasis |
| 24 | Copper-zinc-cadmium resistance |
| 8 | Arsenic resistance |
| 2 | Coper homeostasis: copper tolerance |
| 4 | Resistance to fluoroquinolones |
| 5 | Beta-lactamase |
| 6 | Multidrug-resistance Efflux pump |
| 1 | Resistance to chromium compounds |
| Putative Gene | Annotation | Size (aa) | Accession Number |
|---|---|---|---|
| arsH | Arsenic resistance protein | 247 | TFW12232.1 |
| arsC | Arsenate reductase | 142 | TFW12233.1 |
| arsR | Transcriptional regulator | 112 | TFW12234.1 |
| arsB | Arsenic efflux pump protein | 427 | TFW12235.1 |
| arsR2 | Transcriptional regulator 2 | 111 | TFW11216.1 |
| arsC2 | Arsenate reductase 2 | 141 | TFW11215.1 |
| ACR3 | Arsenical resistance protein | 361 | TFW11214.1 |
| arsH2 | Arsenic resistance protein 2 | 250 | TFW11212.1 |
| arsC3 | Arsenate reductase 3 | 88 | TFW15101.1 |
| arsH3 | Arsenic resistance protein 3 | 252 | TFW13512.1 |
| Annotation | Size (aa) | Accession Number |
|---|---|---|
| Cobalt-zinc-cadmium resistance protein CzcA; Cation efflux system protein CusA | 1062 | TFW13601.1 |
| Cobalt/zinc/cadmium efflux RND transporter, membrane fusion protein, CzcB family | 420 | TFW13602.1 |
| Heavy metal RND efflux outer membrane protein, CzcC family | 438 | TFW13603.1 |
| Lead, cadmium, zinc and mercury transporting ATPase (EC 3.6.3.3) (EC 3.6.3.5); Copper-translocating P-type ATPase (EC 3.6.3.4) | 782 | TFW13626.1 |
| Copper resistance protein B | 421 | TFW13627.1 |
| Copper resistance protein CopC | 135 | TFW13611.1 |
| Copper resistance protein D | 311 | TFW13620.1 |
| Copper resistance protein CopC | 120 | TFW13621.1 |
| Heavy metal RND efflux outer membrane protein, CzcC family | 452 | TFW13623.1 |
| Cobalt/zinc/cadmium efflux RND transporter, membrane fusion protein, CzcB family | 433 | TFW13624.1 |
| Copper resistance protein D | 311 | TFW13486.1 |
| Copper resistance protein CopC | 120 | TFW13487.1 |
| Heavy metal RND efflux outer membrane protein, CzcC family | 452 | TFW13489.1 |
| Cobalt/zinc/cadmium efflux RND transporter, membrane fusion protein, CzcB family | 433 | TFW13490.1 |
| Cobalt-zinc-cadmium resistance protein CzcA; Cation efflux system protein CusA | 1050 | TFW13491.1 |
| Lead, cadmium, zinc and mercury transporting ATPase (EC 3.6.3.3) (EC 3.6.3.5); Copper-translocating P-type ATPase (EC 3.6.3.4) | 718 | TFW13496.1 |
| Cobalt-zinc-cadmium resistance protein CzcA; Cation efflux system protein CusA | 1072 | TFW13501.1 |
| Cobalt/zinc/cadmium efflux RND transporter, membrane fusion protein, CzcB family | 402 | TFW13502.1 |
| Heavy metal RND efflux outer membrane protein, CzcC family | 417 | TFW13503.1 |
Publisher’s Note: MDPI stays neutral with regard to jurisdictional claims in published maps and institutional affiliations. |
© 2021 by the authors. Licensee MDPI, Basel, Switzerland. This article is an open access article distributed under the terms and conditions of the Creative Commons Attribution (CC BY) license (https://creativecommons.org/licenses/by/4.0/).
Share and Cite
Soto, J.; Charles, T.C.; Lynch, M.D.J.; Larama, G.; Herrera, H.; Arriagada, C. Genome Sequence of Brevundimonas sp., an Arsenic Resistant Soil Bacterium. Diversity 2021, 13, 344. https://doi.org/10.3390/d13080344
Soto J, Charles TC, Lynch MDJ, Larama G, Herrera H, Arriagada C. Genome Sequence of Brevundimonas sp., an Arsenic Resistant Soil Bacterium. Diversity. 2021; 13(8):344. https://doi.org/10.3390/d13080344
Chicago/Turabian StyleSoto, Javiera, Trevor C. Charles, Michael D. J. Lynch, Giovanni Larama, Hector Herrera, and César Arriagada. 2021. "Genome Sequence of Brevundimonas sp., an Arsenic Resistant Soil Bacterium" Diversity 13, no. 8: 344. https://doi.org/10.3390/d13080344
APA StyleSoto, J., Charles, T. C., Lynch, M. D. J., Larama, G., Herrera, H., & Arriagada, C. (2021). Genome Sequence of Brevundimonas sp., an Arsenic Resistant Soil Bacterium. Diversity, 13(8), 344. https://doi.org/10.3390/d13080344

