Racemic-Benzimidazolyl Pentafluorobenzyl Sulfoxide
Abstract
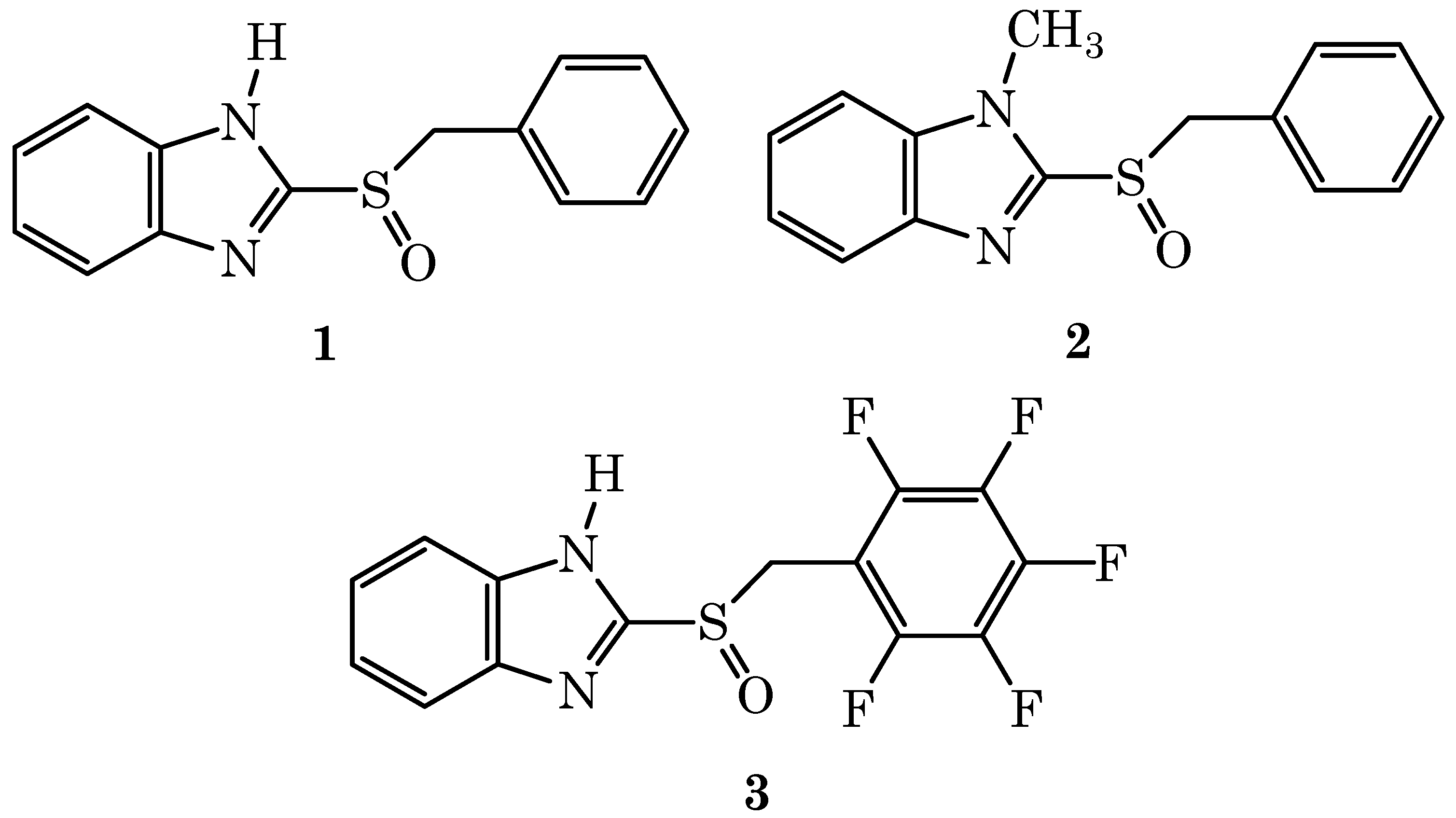
1. Introduction
2. Results
3. Materials and Methods
3.1. X-Ray Diffraction Experiments
3.2. Molecular Pairwise and Lattice Energy Calculations
Supplementary Materials
Author Contributions
Funding
Data Availability Statement
Acknowledgments
Conflicts of Interest
Appendix A
| Empirical formula | C14H7F5N2OS |
| Formula weight | 346.28 |
| Temperature | 219(2) K |
| Wavelength | 1.54178 Å |
| Crystal system | Monoclinic |
| Space group | P 21/c |
| Unit cell dimensions | a = 12.5487(4) Å α = 90°. |
| b = 15.4989(5) Å β = 96.315(2)°. | |
| c = 13.6074(5) Å γ = 90°. | |
| Volume | 2630.46(15) Å3 |
| Z, Z’ | 4, 2 |
| Density (calculated) | 1.749 Mg/m3 |
| Absorption coefficient | 2.851 mm−1 |
| F(000) | 1392 |
| Crystal size | 0.600 × 0.400 × 0.400 mm3 |
| Theta range for data collection | 3.544 to 68.424°. |
| Index ranges | −15 ≤ h ≤ 15, −17 ≤ k ≤ 18, −16 ≤ l ≤ 16 |
| Reflections collected | 78,242 |
| Independent reflections | 4825 [R(int) = 0.0626] |
| Completeness to theta = 67.679° | 100.0% |
| Absorption correction | Semi-empirical from equivalents |
| Refinement method | Full-matrix least-squares on F2 |
| Data/restraints/parameters | 4825/0/417 |
| Goodness-of-fit on F2 | 1.082 |
| Final R indices [I > 2sigma(I)] | R1 = 0.0351, wR2 = 0.0921 |
| R indices (all data) | R1 = 0.0389, wR2 = 0.0949 |
| Extinction coefficient | n/a |
| Largest diff. peak and hole | 0.538 and 0.374 e.Å−3 |
References
- Heravi, M.M.; Zadsirjan, V. Prescribed drugs containing heterocycles: An overview. RSC Adv. 2020, 10, 44247–44311. [Google Scholar] [CrossRef]
- Siwach, A.; Verma, P.K. Synthesis and therapeutic potential of imidazole containing compounds. BMC Chem. 2021, 15, 12. [Google Scholar] [CrossRef]
- Satija, G.; Sharma, B.; Madan, A.; Iqubal, A.; Shaquiquzzaman, M.; Akhter, M.; Parvez, S.; Khan, M.A.; Alam, M.M. Benzimidazole based derivatives as anticancer agents: Structure activity relationship analysis for various target. J. Heterocycl. Chem. 2022, 59, 22–66. [Google Scholar] [CrossRef]
- Jain, K.S.; Shah, A.K.; Bariwal, J.; Shelke, S.M.; Kale, A.P.; Jagtap, J.R.; Bhosale, A.V. Recent advances in proton pump inhibitors and management of acid-peptic disorders. Biorg. Med. Chem. 2007, 15, 1181–1205. [Google Scholar] [CrossRef] [PubMed]
- Wojaczyńska, E.; Wojaczyński, J. Sulfoxides in medicine. Curr. Opin. Chem. Biol. 2023, 76, 102340. [Google Scholar] [CrossRef] [PubMed]
- Surur, A.S.; Schulig, L.; Link, A. Interconnection of sulfides and sulfoxides in medicinal chemistry. Arch Pharm Chem. Life Sci. 2019, 352, e1800248. [Google Scholar] [CrossRef]
- Yu, J. Advancements in Asymmetric Synthesis of Esomeprazole and Chiral Sulfoxide Drugs: A Comprehensive Review and Future Perspectives. E3S Web Conf. 2024, 553, 04014. [Google Scholar] [CrossRef]
- Cotton, H.; Elebring, T.; Larsson, M.; Li, L.; Sorensen, H.; von Unge, S. Asymmetric synthesis of esomeprazole. Tetrahedron Asymm. 2000, 11, 3819–3825. [Google Scholar] [CrossRef]
- Seenivasaperumal, M.; Federsel, H.-J.; Ertan, A.; Szabó, K. Factors influencing the selectivity in asymmetric oxidation of sulfides attached to nitrogen containing heterocycles. Chem. Commun. 2007, 2187–2189. [Google Scholar] [CrossRef]
- Pitchen, P.; Duñach, E.; Deshmukh, M.N.; Kagan, H.B. An Efficient Asymmetric Oxidation of Sulfides to Sulfoxides. J. Am. Chem. Soc. 1984, 106, 8188–8193. [Google Scholar] [CrossRef]
- Zhao, S.H.; Samuel, O.; Kagan, H.B. Asymmetric oxidation of sulfides mediated by chiral titanium complexes: Mechanistic and synthetic aspects. Tetrahedron 1987, 43, 5135–5144. [Google Scholar] [CrossRef]
- Hein, J.E.; Cao, B.H.; van der Meijden, M.W.; Leeman, M.; Kellogg, R.M. Resolution of Omeprazole Using Coupled Preferential Crystallization: Efficient Separation of a Nonracemizable Conglomerate Salt under Near-Equilibrium Conditions. Org. Proc. Res. Dev. 2013, 17, 946–950. [Google Scholar] [CrossRef]
- Coquerel, G. Preferential Crystallization. In Novel Optical Resolution Technologies; Sakai, K., Hirayama, N., Tamura, R., Eds.; Topics in Current Chemistry; Springer: Berlin/Heidelberg, Germany, 2006; Volume 269, pp. 1–51. [Google Scholar] [CrossRef]
- Viedma, C.; Coquerel, G.; Cintas, P. Crystallization of Chiral Molecules. In Handbook of Crystal Growth; Nishinaga, T., Ed.; Elsevier: Amsterdam, The Netherlands, 2015; pp. 951–1002. [Google Scholar] [CrossRef]
- Pellissier, H. Recent developments in enantioselective titanium-catalyzed transformations. Coord. Chem. Rev. 2022, 463, 214537. [Google Scholar] [CrossRef]
- Capozzi, M.A.M.; Frascaro, V.; Pescitelli, G.; Cardellicchio, C. New insights into the titanium-mediated enantioselective oxidation of fluorinated aryl benzyl sulfides and aryl phenacyl sulfides. Tetrahedron 2019, 75, 2406–2412. [Google Scholar] [CrossRef]
- Capozzi, M.A.M.; Alvarez-Larena, A.; Piniella Febrer, J.F.; Cardellicchio, C. Investigation on the titanium-mediated catalytic enantioselective oxidation of aryl benzyl sulfides containing heterocyclic groups. RSC Adv. 2024, 14, 35105–35113. [Google Scholar] [CrossRef]
- Naso, F.; Cardellicchio, C.; Capozzi, M.A.M.; Capitelli, F.; Bertolasi, V. Self-assemblies of chiral p-haloaryl sulfoxides through CH⋯O short contacts and halogen involving interactions. New J. Chem. 2006, 30, 1782–1789. [Google Scholar] [CrossRef]
- Fuller, A.F.; Aitken, R.A.; Ryan, B.M.; Slawin, A.M.Z.; Woollins, J.D. The X-Ray Structures of Sulfoxides. J. Chem. Cryst. 2009, 39, 407–415. [Google Scholar] [CrossRef]
- Capozzi, M.A.M.; Capitelli, F.; Cardellicchio, C. Structural Motifs in Enantiopure Halogenated Aryl Benzyl Sulfoxides: Effect of Fluorine Substitution. Cryst. Growth Des. 2014, 14, 5442–5451. [Google Scholar] [CrossRef]
- Capozzi, M.A.M.; Piniella Febrer, J.F.; Cardellicchio, C. Benzyl 2,4-dichlorophenyl sulfoxide. Molbank 2025, 2025, M2113. [Google Scholar] [CrossRef]
- Capozzi, M.A.M.; Alvarez-Larena, A.; Piniella Febrer, J.F.; Cardellicchio, C. Comparison between the crystal structures of racemic and enantiopure aryl benzyl sulfoxides. RSC Adv. 2025, 15, 37824–37832. [Google Scholar] [CrossRef]
- Loginova, I.V.; Rodygin, K.S.; Rubtsova, S.A.; Slepukhin, P.A.; Kuchin, A.V.; Polukeev, V.A. Oxidation of Polyfunctional Sulfides with Chlorine Dioxide. Russ. J. Org. Chem. 2011, 47, 124–130. [Google Scholar] [CrossRef]
- Ye, X.; Moeljadi, A.M.P.; Chin, K.F.; Hirao, H.; Zong, L.; Tan, C.-H. Enantioselective Sulfoxidation Catalyzed by a Bisguanidinium Diphosphatobisperoxotungstate Ion Pair. Angew. Chem. Int. Ed. Engl. 2016, 55, 7101–7105. [Google Scholar] [CrossRef] [PubMed]
- Walsh, M.P.; Barclay, J.A.; Begg, C.S.; Xuan, J.; Johnson, N.T.; Cole, J.C.; Kitching, M.O. Identifying a Hidden Conglomerate Chiral Pool in the CSD. JACS Au 2022, 2, 2235. [Google Scholar] [CrossRef] [PubMed]
- Walsh, M.P.; Barclay, J.A.; Begg, C.S.; Xuan, J.; Kitching, M.O. Conglomerate Crystallization in the Cambridge Structural Database (2020–2021). Cryst. Grow. Des. 2023, 23, 2837. [Google Scholar] [CrossRef]
- Spackman, P.R.; Turner, M.J.; McKinnon, J.J.; Wolff, S.K.; Grimwood, D.J.; Jayatilaka, D.; Spackman, M.A. CrystalExplorer: A program for Hirshfeld surface analysis, visualization and quantitative analysis of molecular crystals. J. Appl. Cryst. 2021, 54, 1006–1011. [Google Scholar] [CrossRef]
- Thomas, S.P.; Spackman, P.R.; Jayatilaka, D.; Spackman, M.A. Accurate Lattice Energies for Molecular Crystals from Experimental Crystal Structures. J. Chem. Theory Comput. 2018, 14, 1614–1623. [Google Scholar] [CrossRef]
- Pratt Brock, C.; Schweizer, W.B.; Dunitz, J.D. On the Validity of Wallach’s Rule: On the Density and Stability of Racemic Crystals Compared with Their Chiral Counterparts. J. Am. Chem. Soc. 1991, 113, 9811–9820. [Google Scholar] [CrossRef]
- Thompson, A.L.; White, N.G. Hydrogen atoms in supramolecular chemistry: A structural perspective. Where are they, and why does it matter? Chem. Soc. Rev. 2023, 52, 6254–6269. [Google Scholar] [CrossRef]
- Bernstein, J.; Davis, R.E.; Shimoni, L.; Chang, N.-L. Patterns in Hydrogen Bonding: Functionality and Graph Set Analysis in Crystals. Angew. Chem. Int. Ed. Engl. 1995, 14, 1555–1573. [Google Scholar] [CrossRef]
- Beran, G.J.O. Frontiers of molecular crystal structure prediction for pharmaceuticals and functional organic materials. Chem. Sci. 2023, 14, 13290–13312. [Google Scholar] [CrossRef]
- Sheldrick, G.M. Crystal structure refinement with SHELXL. Acta Cryst. C 2015, 71, 3–8. [Google Scholar] [CrossRef]
- Krause, L.; Herbst-Irmer, R.; Sheldrick, G.M.; Stalke, D. Comparison of silver and molybdenum microfocus X-ray sources for single-crystal structure determination. J. Appl. Cryst. 2015, 48, 3–10. [Google Scholar] [CrossRef]



| Compound | Angle N1-H1N-N1 (°) | H1N⋯N1 (Å) | N1⋯N1 (Å) | H1N-N1 (Å) |
|---|---|---|---|---|
| (R)-1 | 162(5) | 2.07 | 2.885 | 0.84 |
| Angle N1-H1N-O1 (°) | H1N⋯O1 (Å) | N1⋯O1 (Å) | H1N-N1 (Å) | |
| (R)-3 | 173(4) | 2.05 | 2.820 | 0.77 |
| rac-3 | 166(1) | 2.01(2) | 2.810(2) | 0.82(2) |
Disclaimer/Publisher’s Note: The statements, opinions and data contained in all publications are solely those of the individual author(s) and contributor(s) and not of MDPI and/or the editor(s). MDPI and/or the editor(s) disclaim responsibility for any injury to people or property resulting from any ideas, methods, instructions or products referred to in the content. |
© 2026 by the authors. Licensee MDPI, Basel, Switzerland. This article is an open access article distributed under the terms and conditions of the Creative Commons Attribution (CC BY) license.
Share and Cite
Capozzi, M.A.M.; Cardellicchio, C. Racemic-Benzimidazolyl Pentafluorobenzyl Sulfoxide. Molbank 2026, 2026, M2161. https://doi.org/10.3390/M2161
Capozzi MAM, Cardellicchio C. Racemic-Benzimidazolyl Pentafluorobenzyl Sulfoxide. Molbank. 2026; 2026(2):M2161. https://doi.org/10.3390/M2161
Chicago/Turabian StyleCapozzi, Maria Annunziata M., and Cosimo Cardellicchio. 2026. "Racemic-Benzimidazolyl Pentafluorobenzyl Sulfoxide" Molbank 2026, no. 2: M2161. https://doi.org/10.3390/M2161
APA StyleCapozzi, M. A. M., & Cardellicchio, C. (2026). Racemic-Benzimidazolyl Pentafluorobenzyl Sulfoxide. Molbank, 2026(2), M2161. https://doi.org/10.3390/M2161

