Mixed-Ligand Copper(II) Complex with Ethyl (2-(Methylcarbamoyl)phenyl)carbamate and 3-Methylquinazoline-2,4(1H,3H)-dione
Abstract
1. Introduction
2. Results and Discussion
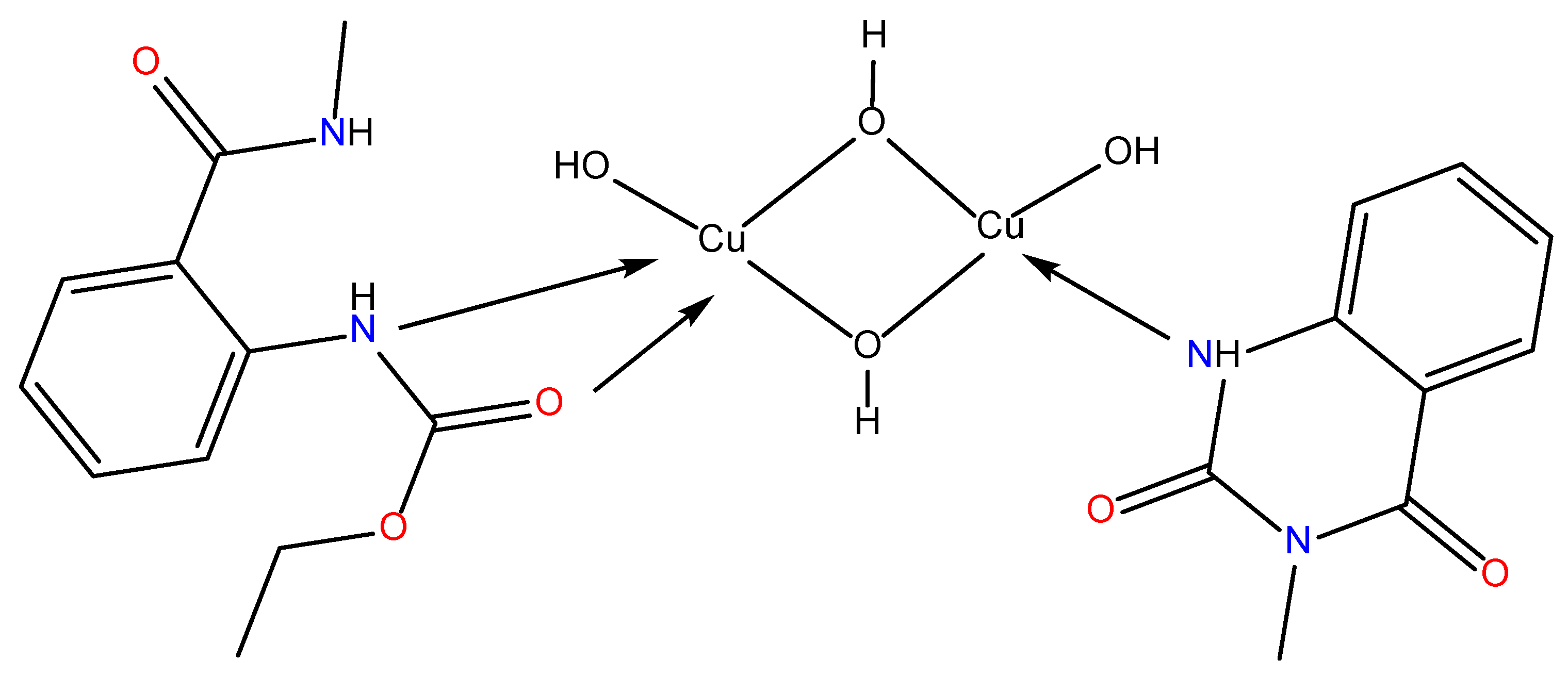
2.1. Synthesis of the Metal Complex
2.2. Spectral Data of the Cu(II) Complex
IR- and ATR-Spectra
2.3. NMR-Spectral Data
3. Materials and Methods
3.1. Spectral Data of the Free Ligand
3.2. Spectral Characteristics for the Cu(II) Complex
3.3. Synthesis of Cu(II) Complex of Ethyl (2-(Methylcarbamoyl)phenyl)carbamate (L1) and 3-Methylquinazoline-2,4(1H,3H)-dione (L2)–General Procedure
3.4. Spectra Measurements
4. Conclusions
Supplementary Materials
Author Contributions
Funding
Data Availability Statement
Acknowledgments
Conflicts of Interest
References
- Linder, M.C.; Hazegh-Azam, M. Copper biochemistry and molecular biology. Am. J. Clin. Nutr. 1996, 63, 797S–811S. [Google Scholar] [CrossRef]
- Khalid, H.; Hanif, M.; Hashmi, M.A.; Mahmood, T.; Ayub, K.; Monim-Ul-Mehboob, M. Copper complexes of bioactive ligands with superoxide dismutase activity. Mini Rev. Med. Chem. 2013, 13, 1944–1956. [Google Scholar] [CrossRef] [PubMed]
- Yang, S.; Li, Y.; Zhou, L.; Wang, X.; Liu, L.; Wu, M. Copper homeostasis and cuproptosis in atherosclerosis: Metabolism, mechanisms and potential therapeutic strategies. Cell Death Discov. 2024, 10, 25. [Google Scholar] [CrossRef]
- Bandmann, O.; Weiss, K.H.; Kaler, S.G. Wilson’s disease and other neurological copper disorders. Lancet Neurol. 2015, 14, 103–113. [Google Scholar] [CrossRef]
- Kaler, S.G. ATP7A-related copper transport diseases-emerging concepts and future trends. Nat. Rev. Neurol. 2011, 7, 15–29. [Google Scholar] [CrossRef]
- Wang, Y.; Li, D.; Xu, K.; Wang, G.; Zhang, F. Copper homeostasis and neurodegenerative diseases. Neural Regen. Res. 2025, 20, 3124–3143. [Google Scholar] [CrossRef] [PubMed]
- Chen, H.; Li, D.; Zhang, H.; Zhang, M.; Lin, Y.; He, H.; Liu, A.; Shen, S.; Wang, Y.; Han, Z. Mechanisms of copper metabolism and cuproptosis: Implications for liver diseases. Front. Immunol. 2025, 16, 1633711. [Google Scholar] [CrossRef]
- Pan, C.; Ji, Z.; Wang, Q.; Zhang, Z.; Wang, Z.; Li, C.; Lu, S.; Ge, P. Cuproptosis: Mechanisms, biological significance, and advances in disease treatment—A systematic review. CNS Neurosci. Ther. 2024, 30, e70039. [Google Scholar] [CrossRef] [PubMed]
- Denoyer, D.; Clatworthy, S.A.S.; Cater, M.A. Copper Complexes in Cancer Therapy. Met. Ions Life Sci. 2018, 18, books-9783110470734. [Google Scholar] [CrossRef] [PubMed]
- Vo, T.T.; Peng, T.Y.; Nguyen, T.H.; Bui, T.N.; Wang, C.S.; Lee, W.J.; Chen, Y.L.; Wu, Y.C.; Lee, I.T. The crosstalk between copper-induced oxidative stress and cuproptosis: A novel potential anticancer paradigm. Cell Commun. Signal 2024, 22, 353. [Google Scholar] [CrossRef]
- McCormick, R.; Buckley, E.; Donnelly, P.J.; Gilpin, V.; McMath, R.; Smith, R.B.; Papakonstantinou, P.; Davis, J. Anthranilic Acid: A Versatile Monomer for the Design of Functional Conducting Polymer Composites. J. Compos. Sci. 2024, 8, 208. [Google Scholar] [CrossRef]
- Rio, G.F.; Silva, B.V.; Martinez, S.T.; Pinto, A.C. Anthranilic acids from isatin: An efficient, versatile and environmentally friendly method. An. Acad. Bras. Cienc. 2015, 87, 1525–1529. [Google Scholar] [CrossRef]
- Prasher, P.; Sharma, M. Medicinal Chemistry of Anthranilic Acid Derivatives: A Mini Review. Drug Dev. Res. 2021, 82, 945–958. [Google Scholar] [CrossRef]
- Ganeshpurkar, A.; Gutti, G.; Singh, S.K. Chapter 1—RNA-Dependent RNA Polymerases and Their Emerging Roles in Antiviral Therapy. In Viral Polymerases Structures, Functions and Roles as Antiviral Drug Targets; Academic Press: Cambridge, MA, USA, 2019; pp. 1–42. [Google Scholar] [CrossRef]
- Nasr, T.M.; Aboshanab, A.M.; Abouzid, K.A.M.; Zaghary, W.A. Hands-on Synthetic Approaches and Biological Activities of Anthranilic Acid Derivatives: A Mini-Review. Egypt. J. Chem. 2023, 66, 329–343. [Google Scholar] [CrossRef]
- Nawaz, M.; Abbasi, M.W.; Tariq, M.; Graham, J.P.; Al-Hagri, A.-R.S.; Elkarim, A.A.; Mohamed, M.E.; Nissapatorn, V.; Taha, M.; Hisaindee, S. Synthesis of Metal Anthranilate Complexes: Catalytic and Antipathogenic Studies. BMC Chem. 2022, 16, 21. [Google Scholar] [CrossRef]
- Srivastava, V.K. Synthesis, characterization, and biological studies of some biometal complexes. Futur. J. Pharm. Sci. 2021, 7, 51. [Google Scholar] [CrossRef]
- Mahdi, S.H.; Karem, L.K.A. Synthesis, Spectral and Biochemical Studies of New Complexes of Mixed Ligand Schiff Base and Anthranilic Acid. Orient. J. Chem. 2018, 34, 1565–1572. [Google Scholar] [CrossRef]
- Abu-Dief, A.M.; Shehata, M.R.; Hassan, A.E.; Alharbi, S.K.; Alzahrani, A.Y.A.; Abo-Dief, H.M.; Ragab, M.S. Exploring, anthranilic azomethine complexes: From synthesis, spectroscopic, solution and theoretical studies to DNA interaction and biomedical prospects. J. Mol. Str. 2025, 1341, 142571. [Google Scholar] [CrossRef]
- Mehta, B.H.; More, P.S. Synthesis, Characterization and X-Ray Diffraction Studies of Co(II), Ni(II), Cu(II) and Zn(II) Complexes with Schiff Base Derived from 5-nitrosalicylaldehyde and Anthranilic Acid. Asian J. Chem. 2007, 19, 3581–3587. [Google Scholar]
- Marinova, P.; Hristov, M. Synthesis and Biological Activity of Novel Complexes with Anthranilic Acid and Its Analogues. Appl. Sci. 2023, 13, 9426. [Google Scholar] [CrossRef]
- Tsoneva, S.; Milusheva, M.; Burdzhiev, N.; Marinova, P.; Varbanova, E.; Tumbarski, Y.; Mihaylova, R.; Cherneva, E.; Nikolova, S. Antimicrobial Activity of Ethyl (2-(Methylcarbamoyl)phenyl)carbamate and Its Mixed Ligand Ni(II) and Co(II) Complexes. Inorganics 2025, 13, 267. [Google Scholar] [CrossRef]
- Bakhtiar, R.; Ochiai, E.-I. Pharmacological applications of inorganic complexes. Gen. Pharmacol. Vasc. Syst. 1999, 32, 525–540. [Google Scholar] [CrossRef] [PubMed]
- Marzano, C.; Pellei, M.; Tisato, F.; Santini, C. Copper complexes as anticancer agents. Anticancer. Agents Med. Chem. 2009, 9, 185–211. [Google Scholar] [CrossRef]
- Albaladejo-Fuentes, V.; Romero-Pérez, A.I.; Álvarez, A.; Platero-Prats, A.E. Copper Coordination Complexes for Energy-Relevant Applications. Energies 2020, 13, 2198. [Google Scholar] [CrossRef]
- Wenzel, J.; Malz, S.; Rau, S.; Yersin, H. TADF: Enabling Luminescent Copper(I) Coordination Compounds for Light-Emitting Electrochemical Cells. J. Mater. Chem. C 2022, 10, 709–722. [Google Scholar] [CrossRef]
- Ullah, S.; Sirajuddin, M.; Ullah, Z.; Mushtaq, A.; Naz, S.; Zubair, M.; Haider, A.; Ali, S.; Kubicki, M.; Wani, T.A.; et al. Synthesis, Structural Elucidation and Pharmacological Applications of Cu(II) Heteroleptic Carboxylates. Pharmaceuticals 2023, 16, 693. [Google Scholar] [CrossRef]
- Bhattacharyya, M.K.; Dutta, K.K.; Banik, S.; Gomila, R.M.; Barceló-Oliver, M.; Frontera, A. Supramolecular assembly in Cu(II) and Zn(II) compounds with pyridine and anthraquinone-1,5-disulfonate: Experimental and theoretical analysis. Inorg. Chim. Acta 2024, 567, 122042. [Google Scholar] [CrossRef]
- Golobič, A.; Kristl, M.; Podnar, T.M.; Jagličić, Z.; Dojer, B. Mixed-Ligand Copper(II) Complexes Derived from Pyridinecarbonitrile Precursors: Structural Features and Thermal Behavior. Inorganics 2025, 13, 287. [Google Scholar] [CrossRef]
- Azizian, J.; Mohammadi, A.A.; Karimi, A.R. An Efficient One-Pot Procedure for Preparation of 2,4(1H,3H)-Quinazolinediones and 2-Thioxoquinazolinone Derivatives Under Microwave Irradiation. Synth. Commun. Int. J. Rapid Commun. Synth. Org. Chem. 2003, 33, 415–420. [Google Scholar] [CrossRef]
- Ajibulu, K.E.; Okoronkwo, A.E.; Owolabi, J.B.; Oyetayo, V.O.; Adeyemi, E.O.; Pii, B.T. Metal Complexes of Schiff Base Derived from Ethylenediamine, Nitro and Chlorobenzaldehyde; Synthesis, Characterization, Biological and Toxicological Study. Appl. Sci. Res. Period. 2025, 3, 50–60. [Google Scholar] [CrossRef]
- Shirode, P.R. A study of mixed ligand complexes of anthranilic acidsemicarbazone and benzaldehyde with Co(II), Ni(II) and Cu(II). World J. Pharm. Res. 2018, 7, 1135–1143. [Google Scholar]
- Zhang, L.; Chen, Q.; Li, L.; Ma, N.; Tian, J.; Sun, H.; Xu, Q.; Yang, Y.; Li, C. Synthesis of N-Unsubstituted and N3-Substituted. Quinazoline-2,4(1H,3H)-diones from o-Aminobenzamides and CO2 at Atmospheric Pressure and Room Temperature. Org. Lett. 2023, 25, 2471–2475. [Google Scholar] [CrossRef]
- Singh, G.; Gamboa, S.; Orio, M.; Dimitrios, A. Pantazis; Michael Roemelt, Magnetic exchange coupling in Cu dimers studied with modern multireference methods and broken-symmetry coupled cluster theory. Theor. Chem. Acc. 2021, 140, 139. [Google Scholar] [CrossRef]
- Shaikh, S.A.; Bhat, S.S.; Revankar, V.K.; Naveen, S.; Lokanath, N.K.; Kumbar, V. Dinuclear copper(II) complexes bridged with acetate and nitrate anions: Study of protein binding and in-vitro anticancer activity. Inorg. Chim. Acta 2024, 559, 121799. [Google Scholar] [CrossRef]
- Marinova, P.E.; Tsoneva, S.H.; Nikolova, S.A.; Ivanov, I.I. Novel complexes of n-substituted-4,5-dimethoxy-phenylethyl-2-arylketoamides with metal ions. Bulg. Chem. Commun. 2019, 51, 8–11. [Google Scholar]
- Akeredolu, O.; Adebusuyi, F.O.; Adebayo-Tayo, B.C.; Olalekan, T.E. Synthesis and Antimicrobial Activity of Nitrobenzaldehyde Schiff Base and Complexes. Nig. J. Chem. Res. 2025, 29, 062–072. [Google Scholar] [CrossRef]
- Jiemuratova, A.; Pardayev, U.; Bobojonov, J. Coordination Interaction Between Anthranilic Ligand And D-Element Salts During Crystal Formation: A Structural And Spectroscopic Approach. Mod. Sci. Res. 2025, 4, 199–201. [Google Scholar]
- Ahmed, A.A.; Musa, S.A.; Fugu, M.B.; Mohammed, A.I.; Adam, H.B.; Wakil, I.M. A Comprehensive Review on Anthranilic acid-derived Schiff bases and their Metal Chelates: Structures and Applications. Chem. Rev. Lett. 2023, 6, 350–389. [Google Scholar] [CrossRef]




| Compound | Solubility | Melting Point (°C) | Yield (%) | Color |
|---|---|---|---|---|
| L1 | soluble in DMSO and CHCl3 | 136–137 | 80 | colorless |
| Cu complex | Limited solubility in DMSO, insoluble in H2O, THF, CH3COCH3, EtOH, EtOAc and cyclohexane | 243–245 °C | 35 | bright blue |
| Assignment | L1 | L2 [23] | Cu(II) |
|---|---|---|---|
| ν(OH) | - | - | 3435 |
| ν(NH, -C(=O)-NH-CH3) | 3345 | 3345 | |
| ν(NH, -NH-C(=O)OCH2CH3) | 3258 | - | |
| ν(NH) | 3165 | 3188 | |
| ν(Csp2-H, -Ph) | 3072 | n/a | 3058 |
| ν(C=O) | 1739 | 1715 | 1717 |
| δ(NH) + ν(C=O), -C(=O)-NH-CH3) | 1664 | 1665 | |
| ν(C=O) | 1662 | ||
| δ(NH) + ν(C=O), -NH-C(=O)OCH2CH3) | 1633 | 1645 | |
| ν(M-N) | = | 563 | |
| ν(M-O) | = | 467 |
| Atom | δ (1H) ppm L1 | δ (1H) ppm L2 [33] | δ (1H) ppm Cu(II) |
|---|---|---|---|
| NH(COO) | 10.96 (s) | 10.95 * | |
| NH | 11.43 (s) | 11.42 ** | |
| NHCH3 | 8.72 (q) | 8.71 * | |
| CH | 8.19 (dd) | 7.93 (d) | 8.18 * 7.92 ** |
| CH | 7.70 (dd) | 7.64–7.66 (m) | 7.70 * 7.64 ** |
| CH | 7.48 (ddd) | 7.17–7.21 (m) | 7.48 * 7.18 ** |
| CH | 7.08 (ddd) | 7.17–7.21 (m) | 7.08 * 7.18 ** |
| NHCH3 | 2.78 (d) | 3.26 (s) | 2.78 * 3.25 ** |
| CH2 | 4.12 (q) | 4.12 * | |
| CH3 | 1.23 (t) | 1.23 * |
| Atom | δ (13C) ppm L1 | δ (13C) ppm L2 [33] | δ (13C) ppm Cu(II) |
|---|---|---|---|
| NH(C=O) | 169.16 | 162.6 | 169.16 * 162.64 ** |
| NH(COO) | 153.37 | 150.8 | 153.43 * 150.82 ** |
| C | 139.67 | 139.8 | 139.62 * 139.76 ** |
| CH | 132.53 | 135.3 | 132.52 * 135.32 ** |
| CH | 128.40 | 127.7 | 128.40 * 127.72 ** |
| CH | 122.16 | 122.9 | 122.16 * 122.89 ** |
| C | 120.03 | 114.1 | 120.03 * 114.14 ** |
| CH | 119.05 | 115.5 | 119.06 * 115.52 ** |
| CH2CH3 | 61.04 | - | 61.04 * |
| NHCH3 | 26.68 | 27.5 | 26.69 * 27.46 ** |
| CH2CH3 | 14.85 | - | 14.86 * |
Disclaimer/Publisher’s Note: The statements, opinions and data contained in all publications are solely those of the individual author(s) and contributor(s) and not of MDPI and/or the editor(s). MDPI and/or the editor(s) disclaim responsibility for any injury to people or property resulting from any ideas, methods, instructions or products referred to in the content. |
© 2025 by the authors. Licensee MDPI, Basel, Switzerland. This article is an open access article distributed under the terms and conditions of the Creative Commons Attribution (CC BY) license (https://creativecommons.org/licenses/by/4.0/).
Share and Cite
Marinova, P.E.; Burdzhiev, N.; Varbanova, E.; Tsoneva, S.; Nikolova, S. Mixed-Ligand Copper(II) Complex with Ethyl (2-(Methylcarbamoyl)phenyl)carbamate and 3-Methylquinazoline-2,4(1H,3H)-dione. Molbank 2025, 2025, M2094. https://doi.org/10.3390/M2094
Marinova PE, Burdzhiev N, Varbanova E, Tsoneva S, Nikolova S. Mixed-Ligand Copper(II) Complex with Ethyl (2-(Methylcarbamoyl)phenyl)carbamate and 3-Methylquinazoline-2,4(1H,3H)-dione. Molbank. 2025; 2025(4):M2094. https://doi.org/10.3390/M2094
Chicago/Turabian StyleMarinova, Petya Emilova, Nikola Burdzhiev, Evelina Varbanova, Slava Tsoneva, and Stoyanka Nikolova. 2025. "Mixed-Ligand Copper(II) Complex with Ethyl (2-(Methylcarbamoyl)phenyl)carbamate and 3-Methylquinazoline-2,4(1H,3H)-dione" Molbank 2025, no. 4: M2094. https://doi.org/10.3390/M2094
APA StyleMarinova, P. E., Burdzhiev, N., Varbanova, E., Tsoneva, S., & Nikolova, S. (2025). Mixed-Ligand Copper(II) Complex with Ethyl (2-(Methylcarbamoyl)phenyl)carbamate and 3-Methylquinazoline-2,4(1H,3H)-dione. Molbank, 2025(4), M2094. https://doi.org/10.3390/M2094

