Synthesis of 2-(2-((5″-(4-Cyanophenyl)-3,4′,4″-trioctyl[2,2′:5′,2″-terthiophen]-5-yl)methylene)-3-oxo-2,3-dihydro-1H-inden-1-ylidene)malononitrile
Abstract
1. Introduction
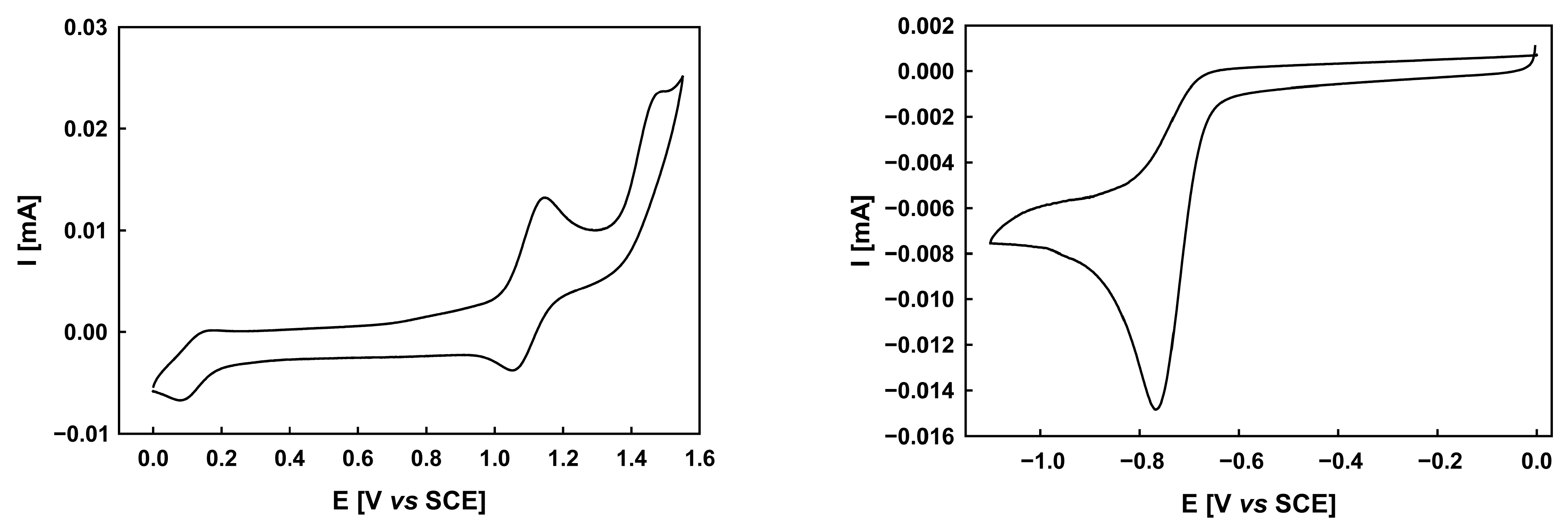
2. Results and Discussion
3. Materials and Methods
3.1. General Experimental Details
3.2. Synthetic Procedures
3.2.1. Synthesis of 3,4′-Dioctyl-[2,2′-bithiophene]-5-carbaldehyde (4)
3.2.2. Synthesis of 3,4′,4″-Trioctyl-[2,2′,2″-terthiophene]-5-carbaldehyde (6)
3.2.3. Synthesis of 4-(5″-Formyl-3′,3″,4-trioctyl-[2,2′:5′,2″-terthiophen]-5-yl)benzonitrile (9)
3.2.4. Synthesis of 2-(2-((5″-(4-Cyanophenyl)-3,4′,4″-trioctyl-[2,2′:5′,2″-terthiophen]-5-yl)methylene)-3-oxo-2,3-dihydro-1H-inden-1-ylidene) Malononitrile (11)
4. Conclusions
Supplementary Materials
Author Contributions
Funding
Data Availability Statement
Conflicts of Interest
Abbreviations
| OSCs | Organic Solar Cells |
| A–D–A | Acceptor–Donor–Acceptor |
| PCE | Power Conversion Efficiency |
| HOMO | Highest Occupied Molecular Orbital |
| LUMO | Lowest Unoccupied Molecular Orbital |
| UV–vis | Ultraviolet–visible |
| CV | Cyclic Voltammetry |
| MS | Mass Spectrometry |
| NMR | Nuclear Magnetic Resonance |
| HPLC | High-Performance Liquid Chromatography |
| ICT | Intramolecular Charge Transfer |
| PC61BM | Phenyl-C61-butyric acid methyl ester |
| dppf | 1,1′-Bis(diphenylphosphino)ferrocene |
| THF | Tetrahydrofuran |
References
- Yi, J.; Zhang, G.W.; Yu, H.; He, Y. Advantages, Challenges and Molecular Design of Different Material Types Used in Organic Solar Cells. Nat. Rev. Mater. 2024, 9, 46–62. [Google Scholar] [CrossRef]
- Lewis, N.S.; Nocera, D.G. Powering the Planet: Chemical Challenges in Solar Energy Utilization. Proc. Natl. Acad. Sci. USA 2006, 103, 15729–15735. [Google Scholar] [CrossRef] [PubMed]
- Li, G.; Zhu, R.; Yang, Y. Polymer Solar Cells. Nat. Photonics 2012, 6, 153–161. [Google Scholar] [CrossRef]
- Lin, Y.; Wang, J.; Zhang, Z.G. An electron acceptor challenging fullerene for efficient polymer solar cells. Adv. Mater. 2015, 27, 1170–1174. [Google Scholar] [CrossRef] [PubMed]
- Chen, J.; Cao, Y. Development of novel conjugated donor polymers for high-efficiency bulk-heterojunction photovoltaic devices. Acc. Chem. Res. 2009, 42, 1709–1718. [Google Scholar] [CrossRef] [PubMed]
- Li, Y. Molecular design of photovoltaic materials for polymer solar cells: Toward suitable electronic energy levels and broad absorption. Acc. Chem. Res. 2012, 45, 723–733. [Google Scholar] [CrossRef] [PubMed]
- Zhang, L.; Colella, N.S.; Cherniawski, B.P.; Mannsfeld, S.C.B.; Briseno, A.L. Oligothiophene Semiconductors: Synthesis, Characterization, and Applications for Organic Devices. ACS Appl. Mater. Interfaces 2014, 6, 5327–5343. [Google Scholar] [CrossRef] [PubMed]
- Farka, D.; Ciganek, M.; Veselý, D.; Kalina, L.; Krajčovič, J. Epitaxial Guidance of Adamantyl-Substituted Polythiophenes by Self-Assembled Monolayers. ACS Omega 2024, 9, 38733–38742. [Google Scholar] [CrossRef] [PubMed]
- Beaujuge, P.M.; Fréchet, J.M.J. Molecular design and ordering effects in π-functional materials for transistor and solar cell applications. J. Am. Chem. Soc. 2011, 133, 20009–20029. [Google Scholar] [CrossRef] [PubMed]
- Zhang, F.; Wu, D.; Xu, Y.; Feng, X. Thiophene-based conjugated oligomers for organic solar cells. J. Mater. Chem. 2011, 21, 17590–17600. [Google Scholar] [CrossRef]
- Chen, L.; Wu, X.; Li, Z.; Niu, R.; Zhou, W.; Liu, K.; Sun, Y.; Shao, Z.; Yang, J.; Song, Y. D–π–A type conjugated indandione derivatives: Ultrafast broadband nonlinear absorption responses and transient dynamic. RSC Adv. 2022, 12, 8624–8631. [Google Scholar] [CrossRef] [PubMed]
- Terenti, N.; Giurgi, G.-I.; Szolga, L.; Stroia, I.; Terec, A.; Grosu, I.; Crișan, A.P. Effect of the Terminal Acceptor Unit on the Performance of Non-Fullerene Indacenodithiophene Acceptors in Organic Solar Cells. Molecules 2022, 27, 1229. [Google Scholar] [CrossRef] [PubMed]
- Terenti, N.; Giurgi, G.-I.; Crişan, A.P.; Anghel, C.; Bogdan, A.; Pop, A.; Stroia, I.; Terec, A.; Szolga, L.; Grosu, I.; et al. Structure–properties of small donor–acceptor molecules for homojunction single-material organic solar cells. J. Mater. Chem. C 2022, 10, 5716–5726. [Google Scholar] [CrossRef]
- Roncali, J. Synthetic principles for band gap control in linear π-conjugated systems. Chem. Rev. 1997, 97, 173–206. [Google Scholar] [CrossRef] [PubMed]
- Roncali, J.; Frère, P.; Blanchard, P.; de Bettignies, R.; Turbiez, M.; Roquet, S.; Leriche, P.; Nicolas, Y. Molecular and supramolecular engineering of k-conjugated systems for photovoltaic conversion. Thin Solid Film. 2006, 511, 567–575. [Google Scholar] [CrossRef]
- Demeter, D.; Allain, M.; Leriche, P.; Grosu, I.; Roncali, J. Synthesis and Electronic Properties of Terthienyls β-Substituted by (Thienyl)Cyanovinylene Groups. Tetrahedron Lett. 2010, 51, 4117–4120. [Google Scholar] [CrossRef]
- Roncali, J.; Leriche, P. Molecular materials for organic photovoltaics: Small molecules versus polymers. Acc. Chem. Res. 2005, 38, 289–296. [Google Scholar] [CrossRef]
- Roncali, J.; Grosu, I. The Dawn of Single Material Organic Solar Cells. Adv. Sci. 2019, 6, 1801026. [Google Scholar] [CrossRef] [PubMed]
- Liu, Y.; Wan, X.; Wang, F.; Zhou, J.; Long, G.; Tian, J.; Chen, Y. High-Performance Solar Cells using a Solution-Processed Small Molecule Containing Benzodithiophene Unit. Adv. Mater. 2011, 23, 5387–5391. [Google Scholar] [CrossRef] [PubMed]
- Cui, C.; Wu, Y.; Cheung, M.-S.; Ho, C.-L.; Dong, Q.; Lin, Z.; Li, Y.; Wong, W.-Y. Design, synthesis and in vitro and in vivo antitumour activity of 3-benzylideneindolin-2-one derivatives, a novel class of small-molecule inhibitors of the MDM2-p53 interaction. Eur. J. Med. Chem. 2014, 81, 277–288. [Google Scholar] [CrossRef]
- Scharber, M.C.; Mühlbacher, D.; Koppe, M.; Denk, P.; Waldauf, C.; Heeger, A.J.; Brabec, C.J. Design Rules for Donors in Bulk-Heterojunction Solar Cells—Towards 10 % Energy-Conversion Efficiency. Adv. Mater. 2006, 18, 789–794. [Google Scholar] [CrossRef]
- Koster, L.J.A.; Mihailetchi, V.D.; Blom, P.W.M. Ultimate efficiency of polymer/fullerene bulk heterojunction solar cells. Appl. Phys. Lett. 2006, 88, 093511. [Google Scholar] [CrossRef]
- Thompson, B.C.; Kim, Y.-G.; Reynolds, J.R. Spectral Broadening in MEH-PPV:PCBM-Based Photovoltaic Devices via Blending with a Narrow Band Gap Cyanovinylene−Dioxythiophene Polymer. Macromolecules 2005, 38, 5359–5362. [Google Scholar] [CrossRef]



| Solvent | λmax s [nm] | λmax f [nm] | Egopt [ev] a | E1pa, E2pa [V] | Epc [V] | EHOMO [eV] b | ELUMO [eV] b | Eg [eV] c |
|---|---|---|---|---|---|---|---|---|
| Chloroform | 592 | 566 | 1.70 | 1.15, 1.48 | −0.77 | −5.68 | −4.03 | 1.65 |
| Tetrahydrofuran | 585 | |||||||
| Toluene | 570 | |||||||
| Acetone | 558 |
Disclaimer/Publisher’s Note: The statements, opinions and data contained in all publications are solely those of the individual author(s) and contributor(s) and not of MDPI and/or the editor(s). MDPI and/or the editor(s) disclaim responsibility for any injury to people or property resulting from any ideas, methods, instructions or products referred to in the content. |
© 2025 by the authors. Licensee MDPI, Basel, Switzerland. This article is an open access article distributed under the terms and conditions of the Creative Commons Attribution (CC BY) license (https://creativecommons.org/licenses/by/4.0/).
Share and Cite
Frîncu, A.M.; Căta, L.; Bălăceanu, D.; Grosu, I.; Crișan, A.P.; Terec, A. Synthesis of 2-(2-((5″-(4-Cyanophenyl)-3,4′,4″-trioctyl[2,2′:5′,2″-terthiophen]-5-yl)methylene)-3-oxo-2,3-dihydro-1H-inden-1-ylidene)malononitrile. Molbank 2025, 2025, M2038. https://doi.org/10.3390/M2038
Frîncu AM, Căta L, Bălăceanu D, Grosu I, Crișan AP, Terec A. Synthesis of 2-(2-((5″-(4-Cyanophenyl)-3,4′,4″-trioctyl[2,2′:5′,2″-terthiophen]-5-yl)methylene)-3-oxo-2,3-dihydro-1H-inden-1-ylidene)malononitrile. Molbank. 2025; 2025(3):M2038. https://doi.org/10.3390/M2038
Chicago/Turabian StyleFrîncu, Alexia M., Lidia Căta, David Bălăceanu, Ion Grosu, Andreea P. Crișan, and Anamaria Terec. 2025. "Synthesis of 2-(2-((5″-(4-Cyanophenyl)-3,4′,4″-trioctyl[2,2′:5′,2″-terthiophen]-5-yl)methylene)-3-oxo-2,3-dihydro-1H-inden-1-ylidene)malononitrile" Molbank 2025, no. 3: M2038. https://doi.org/10.3390/M2038
APA StyleFrîncu, A. M., Căta, L., Bălăceanu, D., Grosu, I., Crișan, A. P., & Terec, A. (2025). Synthesis of 2-(2-((5″-(4-Cyanophenyl)-3,4′,4″-trioctyl[2,2′:5′,2″-terthiophen]-5-yl)methylene)-3-oxo-2,3-dihydro-1H-inden-1-ylidene)malononitrile. Molbank, 2025(3), M2038. https://doi.org/10.3390/M2038

