Abstract
Over the last decades, a novel immunological function was established for the sodium–glucose co-transporter 1 (SGLT1), a protein involved in sugar absorption in the small intestine. High-glucose dosage and pharmacological concentrations of a C-glucoside analog showed a protective role in in vitro and in vivo models of severe inflammation states; experimental evidence suggests the engagement of SGLT1 in these processes. The mechanism of action underlying the protection is still unclear. To enhance our understanding of the molecular mechanisms responsible for this protection, we have developed a synthesis for the preparation of hydrogen isotope-labeled versions of the C-glucoside hit compound. Specifically, we report the synthesis of the deuterium-labeled derivative, which can be utilized for mass spectrometry-based research to examine the compound’s metabolic pathway, distribution, and cellular/tissue localization. The synthetic method developed can be extended to produce the tritiated analog, serving as a radioactive tracer.
1. Introduction
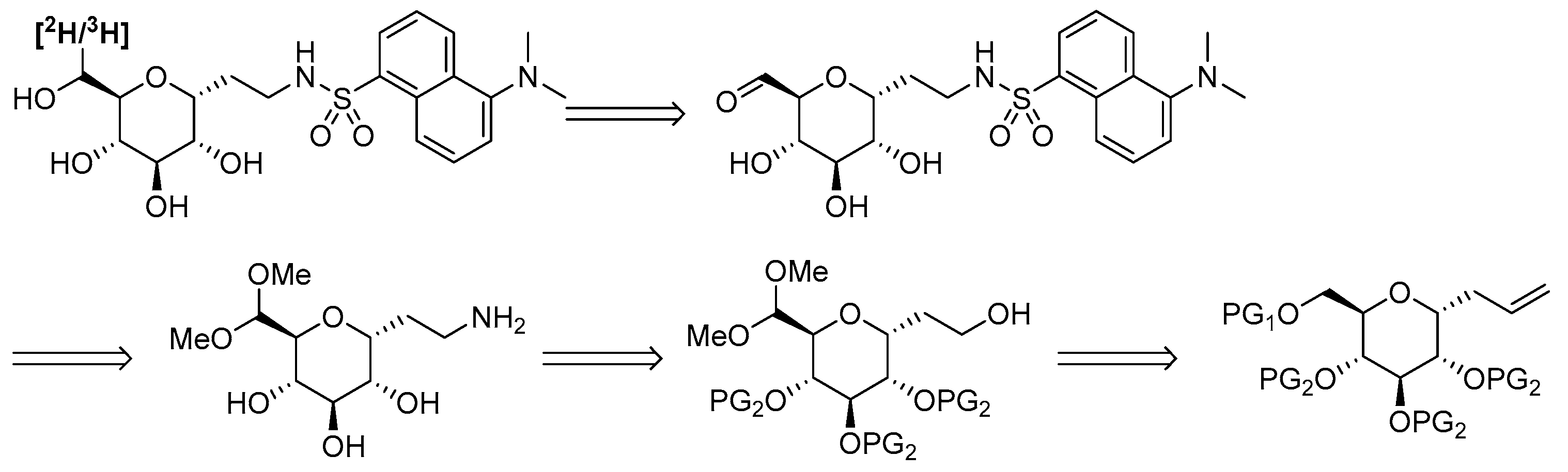
Sodium–glucose co-transporter 1 (SGLT1) is a key transport protein responsible for the absorption of glucose and galactose in the mammalian intestine [1,2,3,4]. It acts by unidirectionally translocating two sodium ions along with one molecule of glucose or galactose across the apical membrane of intestinal epithelial cells, which constitute the brush border membrane of the small intestine. In addition to its crucial physiological function, evidenced by the development of numerous sugar-derived compounds that inhibit sugar absorption and act as anti-diabetic drugs [5,6] or compounds that are able to treat cardiovascular disorders [7], an immunological role for this transporter has been established over the last few decades [8,9,10]. Several studies and experimental evidence suggest the involvement and activation of SGLT1 in glucose-mediated protection in both in vivo and in vitro models of inflammation caused by various insults, such as Lipopolysaccharides (LPS) [10], acetaminophen, D-glucosamine, and alpha-amanitin [11]. High glucose concentrations (5 g/L in vitro and 2.5 g/kg in vivo) completely inhibit the inflammatory response, which appears to be correlated with the engagement of SGLT1. The obvious drawback of this treatment, namely its impact on metabolism, has prompted us toward the development of glycomimetics that can act as glucose at pharmacological concentrations. Among a library of synthesized glucose derivatives, we found that C-glucoside 1 (Figure 1) exhibited the best protective and anti-inflammatory activity both in vivo and in vitro at significantly lower concentrations (5 µg/L in vitro and 25 µg/Kg in vivo) compared to d-glucose [12].
Figure 1.
Structure of C-glycoside 1 and its deuterated analog, object of this work.
C-glycosides are carbohydrate derivatives in which a carbon atom substitutes the anomeric oxygen [13]. This modification significantly enhances the chemical and metabolic stability of these compounds, thereby avoiding the side effects associated with high glucose concentration therapy. Glycoderivatives and glycomimetics have garnered growing interest in drug development, especially as anti-diabetic [5,14,15,16,17,18], anti-viral [19], anti-bacterial [20,21,22,23], anti-inflammatory, and antitumor agents [24,25,26,27]. Their ability to overcome the inherent limitations of natural carbohydrates as drugs, such as low stability under physiological conditions and limited drug-like properties, makes them appealing candidates in drug discovery and development [28,29,30,31,32,33].
Over the past decade, our research has focused on studying the protective role of compound 1 against several inflammatory conditions, such as chemotherapy-induced mucositis [34] and lung inflammation diseases [35]. Additionally, we have developed various chemical tools to investigate and clarify the mechanism of action of C-glucoside 1 and the molecular features underlying its function. Recently, we reported the preparation of gold nanoparticles (AuNPs) decorated with derivatives of d-glucose and C-glucoside 1 as chemical tools to explore and assess the multivalent activation of SGLT1 [36]. We also synthesized a small library of C-glucoside 1 to gain further insights into its mechanism of action and preliminary structure–activity relationships [37]. However, there are still several aspects that remain unclear, particularly regarding the nature and extent of the interaction of compound 1 with SGLT1 and the biological fate of the molecule. To address this, we have developed a multistep synthesis for the preparation of hydrogen isotope-labeled C-glycoside 1 derivatives. In this work [38], we report the successful synthesis of the deuterium-labeled derivative (Figure 1). The synthesis we have designed and developed can be adapted and extended to the preparation of the tritiated derivative, which would be useful for radioactivity-based experiments. These labeled chemical tools will aid in better understanding the binding of compound 1 with SGLT1, its pharmacokinetics/pharmacodynamics features, and its biological fate.
2. Results
The use of hydrogen isotope-labeled compounds is a reliable approach for ADME, trafficking, and metabolic studies, widely exploited in medicinal and biological chemistry [39,40,41]. Deuterium-labeled compounds have applications in metabolic fate studies of biologically active compounds and in LC-MS standards for quantitative studies [39,42,43]. Tritium labeling can be considered the gold standard for metabolic and trafficking studies of drugs and bioactive molecules. The high specific sensitivity and activity of this nuclide, which can be easily monitored by scintillation experiments, make 3H-labeling a powerful tool extensively used in pharmaceutical sciences [39,44]. Given these potentialities, we decided to design and set up a synthesis of a C-glucoside 1 derivative to permanently introduce hydrogen isotopes. This approach aims to create chemical tools to study the metabolic fate and distribution of compound 1.
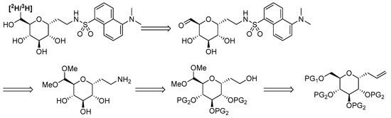
C-glycoside 1 (Figure 1) is a glucose analog bearing a dansyl residue attached to an α-C-ethyleneamine spacer at the anomeric position. We have developed different synthetic approaches for this compound and its closely related analogs, using both protecting group-based and chemoselective strategies [12,37,38]. To synthesize the hydrogen isotope-labeled derivative, we devised a multi-step synthesis plan to introduce the labeling atom at position C6 of the sugar region, as it is the most accessible and workable point of the molecule. The synthetic procedure was designed to incorporate the labeling in the final reaction step, minimizing the manipulation of the hydrogen-labeled reagent. Our strategy involves generating a precursor with an aldehyde at C6, which can easily undergo functionalization with hydrogen isotopes by reduction using deuterated or tritiated forms of sodium borohydride (NaBD4 or NaBT4). The synthetic scheme and reaction conditions were set up using NaBD4, an inexpensive and commercially available hydrogen isotope-labeling reagent. In this synthesis, a protecting group strategy was exploited. As illustrated in the retrosynthetic scheme (Scheme 1), the desired deprotected aldehyde precursor could be derived from the corresponding dimethylacetal, bearing a C-ethyleneamine handle, which can be chemoselectively condensed with the dansyl group. The latest intermediate could be easily obtained from the corresponding protected alcohol. Finally, the C6 acetal could be synthesized from the orthogonally protected C-allyl glucoside, relying on two orthogonal protecting groups on primary and secondary hydroxyl positions of the glucoside ring.
Scheme 1.
Retrosynthetic strategy; PG = protecting group.
Starting with 2,3,4,6-tetra-O-benzyl-α-C-allyl-d-glucopyranoside 2 [45,46], an acetolysis reaction was performed, affording the 6-O-acetyl derivative 3 (Scheme 2). The following Zemplèn deacetylation [47,48] afforded the deprotected primary alcohol 4, which was oxidized to aldehyde 5 with Dess–Martin periodinane [49]. The crude product was directly converted into the dimethylacetal derivative 6 according to a procedure described by Deleuze et al. [50]. Once the protected aldehyde was obtained, the synthetic attention was moved to the transformation of the allylic group, which was first subjected to an oxidative cleavage (OsO4, NaIO4), affording aldehyde 7, which was then reduced to alcohol 8. The obtained hydroxyl group was successively converted into the azido derivative 9 through a Mitzunobu-like reaction. Catalytic hydrogenation/hydrogenolysis on this compound allowed the removal of the benzyl ethers and the azide reduction, affording amine 10. The crude amine product was then reacted with dansyl chloride to generate the sulfonamide derivative 11.
Scheme 2.
Reagents and conditions: (a) Ac2O/TFA 4:1, 0 °C, 1.5 h, 88%; (b) MeONa, MeOH, r.t., 1 h, quant.; (c) Dess–Martin periodinane, CH2Cl2, r.t., 1.5 h; (d) CSA, MeOH, 50 °C, 2 h, 62% (two steps); (e) OsO4, NaIO4, H2O/THF/Acetone, r.t., 24 h; (f) NaBH4, CH2Cl2/EtOH, r.t., 2.5 h, 65% (two steps); (g) Ph3P, DIAD, (PhO)2PON3, THF dry, 0 °C to r.t., 2 h, 60%; (h) i. H2 atm., Pd(OH)2/C, tBuOH/EtOAc, r.t., 48 h; ii. Dansyl chloride, Et3N, MeOH, r.t., 2 h, 22% (two steps); (i) HCl, H2O, 24 h then NaOH, NaBD4, 2 h, 75%.
The following acid hydrolysis of the dimethylacetal performed on 11 restored the aldehyde group. The carbonyl derivative was then directly reduced using sodium borodeuteride to give the final target alcohol [2H]-1, the deuterated form of C-glycoside 1. ESI-MS mass analysis and 1H and 13C NMR experiments revealed the formation of the desired deuterated compound [2H]-1. The dimethylacetal intermediate 11 could be similarly used to generate the tritiated analog [3H]-1 with NaBT4.
3. Materials and Methods
3.1. General Remarks
All the commercial chemicals were purchased from Merck© (Darmstadt, Germany). All the chemicals were used without further purification. All the required anhydrous solvents were dried with molecular sieves for at least 24 h prior to use. Thin-layer chromatography (TLC) was performed on silica gel 60 F254 plates (Merck©, Darmstadt, Germany) with detection under UV light when possible or by charring with a solution of (NH4)6Mo7O24 (21 g), Ce(SO4)2 (1 g), and concentrated H2SO4 (31 mL) in water (500 mL); with an ethanol solution of ninhydrin; or with Purpald® reagent solution (500 mg in 50 mL NaOH 5%). Flash column chromatography was performed on silica gel 230–400 mesh (Merck©, Darmstadt, Germany) or using the Isolera Flash Chromatography System (Biotage Sweden AB™, Uppsala, Sweden). 1H and 13C NMR spectra were recorded at 25 °C, unless otherwise stated, with a Varian Mercury 400 MHz instrument (Varian Inc., Palo Alto, CA, USA) and with a Bruker© AvanceTM NEO 400 MHz (Billerica, MA, USA). Chemical shift assignments, reported in parts per million, were referenced to the corresponding solvent peaks. Mass spectra were recorded on an ABSciex 2000 QTRAP LC/MS/MS system with an ESI source (ABSciex©, Framingham, MA, USA) or with a Thermo© Finnigan LCQAdvantage equipped with an ESI source (Waltham, MA, USA).
3.2. Synthetic Procedures
3.2.1. 2,3,4-Tri-O-benzyl-6-O-acetyl-C-allyl-α-d-glucopyranoside 3
A mixture of Ac2O/TFA 4:1 (70 mL), prepared at 0 °C under argon atmosphere, was added via a double-tip needle to a round bottom flask containing 2 g (3.55 mmol) of 2,3,4,6-tetra-O-benzyl-α-d-glucopyranose. The solution was stirred vigorously at 0 °C and the reaction was followed by TLC (Petroleum Ether, PE/AcOEt 8.5:1.5). After 1.5 h, no more starting compound was present and the solution was poured into ice water and stirred for 10 min. The aqueous solution was extracted with AcOEt (3x) and the organic phase was then washed once with a sodium hydrogen carbonate saturated solution and twice with distilled water. After anhydrification, filtration, and concentration of the remaining organic layer, the crude was purified by FC (PE/EtOAc 9:1), affording compound 3 (1.61 g, 3.12 mmol, 88% yield).
1H NMR (400 MHz, CDCl3) δ 7.43–7.24 (m, 15H, CH Ar), 5.79 (ddt, J = 17.2, 10.2, 6.9 Hz, 1H, H2′), 5.18–5.05 (m, 2H, H3′a,b), 4.98 (d, J = 10.8 Hz, 1H, CH2Ph), 4.89 (d, J = 10.7 Hz, 1H, CH2Ph), 4.83 (d, J = 10.8 Hz, 1H, CH2Ph), 4.72 (d, J = 11.6 Hz, 1H, CH2Ph), 4.65 (d, J = 11.6 Hz, 1H, CH2Ph), 4.57 (d, J = 10.8 Hz, 1H, CH2Ph), 4.24 (d, J = 3.5 Hz, 2H, H6a,b), 4.11 (dt, J = 9.3, 5.9 Hz, 1H, H1, H1), 3.85 (t, J = 9.0 Hz, 1H, H3), 3.76 (dd, J = 9.4, 5.8 Hz, 1H, H2), 3.70 (dt, J = 9.8, 3.5 Hz, 1H, H5), 3.48 (dd, J = 9.8, 8.7 Hz, 1H, H4), 2.50 (t, J = 8.2 Hz, 2H, H1′a,b), 2.04 (s, 3H, CH3CO).
13C NMR (101 MHz, CDCl3) δ 170.92 (CH3CO), 138.59 (Cq Ar), 138.15 (Cq Ar), 137.83 (Cq Ar), 134.40 (C2′), 128.80, 128.65, 128.59, 128.58, 128.49, 128.29, 128.11, 128.05, 128.00, 127.95, 127.85 (C Ar x 15), 117.24 (C3′), 82.37 (C3), 80.04 (C2), 77.89 (C4), 75.65 (CH2Ph), 75.21 (CH2Ph), 73.68 (C1), 73.23 (CH2Ph), 69.68 (C5), 63.62 (C6), 29.89 (C1′), 21.00 (CH3CO).
C32H36O6; calcd. mass: 516.63; MS-ESI: m/z 517.64 [M+H]+.
3.2.2. 2,3,4-Tri-O-benzyl-C-allyl-α-d-glucopyranoside 4
Compound 3 (1335 mg, 2.58 mmol) was subjected to deacetylation using the standard procedure described in the literature. Briefly, the acetyl ester derivative was dissolved in 10 mL of a CH2Cl2/MeOH mixture, and 2.6 mL of a sodium methoxide solution (1 M) was added. The reaction was stirred at r.t. and followed by TLC (PE/EtOAc 8:2). After 1 h the solution was neutralized with the addition of IRA-120H+ resin, which was then filtered and the organic solution was concentrated, to afford alcohol 4 in a pure form (quant. yield).
1H NMR (400 MHz, CDCl3) δ 7.41–7.19 (m, 15H, CH Ar), 5.75 (ddt, J = 17.1, 10.1, 6.9 Hz, 1H, H2′), 5.14–5.03 (m, 2H, H3′a,b), 4.93 (d, J = 11.0 Hz, 1H, CH2Ph), 4.87–4.76 (m, 2H, CH2Ph), 4.69 (d, J = 11.6 Hz, 1H, CH2Ph), 4.65–4.57 (m, 2H, CH2Ph), 4.04 (dt, J = 8.9, 6.0 Hz, 1H, H1), 3.80 (t, J = 8.5 Hz, 1H, H3), 3.77–3.66 (m, 2H, H2, H6a), 3.66–3.58 (m, 1H, H5), 3.56–3.44 (m, 2H, H6b, H4), 2.47 (m, 2H, H1′a,b), 1.88 (bs, 1H, OH).
13C NMR (101 MHz, CDCl3) δ 138.72, 138.22, 138.11 (Cq Ar), 134.59 (C2′), 128.63, 128.57, 128.53, 128.20, 128.04, 128.00, 127.96, 127.91, 127.76 (C Ar), 117.35 (C3′), 82.31 (C3), 80.20 (C2), 78.13 (C4), 75.56 (CH2Ph), 75.26 (CH2Ph), 73.71 (C1), 73.27 (CH2Ph), 71.65 (C5, 62.36 (C6), 30.06 (C1′).
C30H34O5; calcd. mass: 474.6; MS-ESI: m/z 475.5 [M+H]+, 497.6 [M+Na]+.
3.2.3. 2,3,4-Tri-O-benzyl-6-oxo-C-allyl-α-d-glucopyranoside 5
Alcohol 4 (830 mg, 1.75 mmol) was dissolved in CH2Cl2 (15 mL), and 2.6 mmol (1.5 equiv) of Dess–Martin periodinane was added. The reaction was stirred at r.t. and followed by TLC (PE/EtOAc 8:2). After 1.5 h, TLC indicated the absence of the starting material and the formation of a new spot with a higher Rf. The reaction is then quenched by the addition of 15 mL of satd. solution of NaHCO3 and 15 mL of 10% aqueous sodium thiosulphate, and the reaction was vigorously stirred for 10 min. The mixture was partitioned between aqueous and organic phases, and the first was extracted (3×) with CH2Cl2. The combined organic phases were dried over sodium sulfate and concentrated. The crude residue was analyzed by 1H-NMR (δ 9.73 ppm, CDCl3) to check the presence of the aldehydic signal and immediately used for the next reaction (see Supporting Information).
3.2.4. 2,3,4-Tri-O-benzyl-6-deoxy-6,6-dimethoxy-C-allyl-α-d-glucopyranoside 6
The crude aldehyde 5 (912 mg) was dissolved in dry MeOH (20 mL), and 405 mg of camphor sulphonic acid (1.75 mmol, 1 equiv. relative to alcohol 4) was added. The reaction was heated and stirred at 50 °C until TLC (PE/EtOAc 8:2) showed no more starting aldehyde. After 2 h, the reaction was cooled to r.t. and 10 mL of NaHCO3 satd. solution and 20 mL of water were added. The solution was then extracted with EtOAc (3x). The organic layer was separated, dried, and the product was purified by FC (PE/AcOEt 9:1 to 8.5:1.5). A total of 564 mg of dimethylacetal derivative 6 (1.09 mmol, 62% yield over two steps) was obtained.
1H NMR (400 MHz, CDCl3) δ 7.39–7.21 (m, 15H, CH Ar), 5.83 (ddt, J = 17.1, 10.1, 6.9 Hz, 1H, H2′), 5.21–5.02 (m, 2H, H3′a,b), 4.88 (d, J = 11.1 Hz, 1H, CH2Ph), 4.82 (d, J = 11.0 Hz, 1H, CH2Ph), 4.77 (d, J = 11.1 Hz, 1H, CH2Ph), 4.68 (d, J = 11.7 Hz, 1H, CH2Ph), 4.64 (d, J = 11.0 Hz, 1H, CH2Ph), 4.60 (d, J = 11.6 Hz, 1H, CH2Ph), 4.52 (d, J = 2.5 Hz, 1H, H6), 4.13 (dt, J = 10.3, 5.0 Hz, 1H, H1), 3.80 (t, J = 8.4 Hz, 1H, H3), 3.75–3.65 (m, 2H, H2, H5), 3.62 (t, J = 8.5 Hz, 1H, H4), 3.40 (s, 3H, CH3O-), 3.37 (s, 3H, CH3O-), 2.60–2.40 (m, 2H, H1′a,b).
13C NMR (101 MHz, CDCl3) δ 138.73 (Cq Ar), 138.35 (Cq Ar), 138.28 (Cq Ar), 134.87 (C2′), 128.58, 128.52, 128.51, 128.23, 128.00, 127.95, 127.90, 127.74 (C Ar), 117.14 (C3′), 102.28 (C6), 81.39 (C3), 79.29 (C2), 77.97 (C4), 75.20 (CH2Ph), 74.79 (CH2Ph), 73.58 (C1), 73.08 (CH2Ph), 71.85 (C5), 55.32 (CH3O-), 55.05 (CH3O-), 30.51 (C1′).
C32H38O6; calcd. mass: 518.65; MS-ESI: m/z 519.70 [M+H]+.
3.2.5. 2-(2,3,4-Tri-O-benzyl-6-deoxy-6,6-dimethoxy-α-d-glucopyranosyl)-ethanal 7
Compound 6 (560 mg, 1.08 mmol) was dissolved in a H2O/THF/Acetone solution (4.5:4.5:3 mL). NaIO4 (5.4 mmol, 5 equiv) was added and the suspension was stirred at r.t. for 30 min. Then, 0.054 eq of OsO4 (solution in tBuOH) was dropped in the reaction that was vigorously stirred for at r.t., following the formation of the product by TLC (PE/AcOEt 6:4). After 24 h, the reaction was concentrated, the aqueous residue was extracted with AcOEt (3x), and the organic phase back-extracted twice with water and brine. The organic solution was dried over Na2SO4 and concentrated in vacuo, affording crude aldehyde 7 (601 mg), which was used directly for the next reaction without purification. 1H-NMR of a sample of the crude revealed the absence of the allylic bond and the formation of the aldehyde group (δ 9.71 ppm, see Supporting Information).
3.2.6. 2-(2,3,4-Tri-O-benzyl-6-deoxy-6,6-dimethoxy-α-d-glucopyranosyl)-ethanol 8
To a solution of crude compound 7 in CH2Cl2/EtOH (10 + 5 mL), 4.32 mmol (4 equiv, relative to compound 6) of NaBH4 was added. The reaction was stirred at r.t. and followed by TLC (PE/AcOEt 7:3). After 2.5 h, the solvent was evaporated, and the residue was resuspended in a solution of saturated Na2CO3 and stirred for 20 min. The product was extracted from the aqueous phase with EtOAc (3x), and the organic phase was dried, concentrated, and purified by FC (eluent PE/EtOAc 5:5). A total of 365 mg (0.698 mmol) of compound 8 was obtained (65% yield over two steps).
1H NMR (400 MHz, CDCl3) δ 7.41–7.24 (m, 15H, CH Ar), 4.83–4.75 (m, 2H, CH2Ph), 4.72–4.66 (m, 2H, CH2Ph), 4.66–4.59 (m, 2H, CH2Ph, C6), 4.59–4.52 (m, 1H, CH2Ph), 4.23–4.12 (m, 1H, H1), 3.90–3.72 (m, 4H, H3, H4, H5, H2′a), 3.63–3.53 (m, 2H, H2, H2′b), 3.42 (s, 3H, CH3O-), 3.38 (s, 3H, CH3O-), 2.16–2.03 (m, 1H, H1′a), 1.79–1.65 (m, 1H, H1′b).
13C NMR (101 MHz, CDCl3) δ 138.41, 138.31, 138.08 (Cq Ar), 128.56, 128.55, 128.54, 128.18, 128.12, 128.02, 127.99, 127.95, 127.92, 127.89, 127.85 (C Ar), 102.14 (C6), 79.97 (C3), 78.42 (C2), 76.80 (C4), 74.71 (CH2Ph), 74.19 (CH2Ph), 73.48 (C1), 73.16 (CH2Ph), 72.25 (C5), 61.48 (C2′), 56.67 (CH3O-), 54.54 (CH3O-), 28.72 (C1′).
C31H38O7; calcd. mass: 522.64; MS-ESI: m/z 523.66 [M+H]+.
3.2.7. 1-C-(2′-azidoethyl)-2,3,4-tri-O-benzyl-6-deoxy-6,6-dimethoxy-α-d-glucopyranoside 9
Ph3P (1.957 mmol, 3 equiv) was added to a solution of alcohol 8 (341 mg, 0.652 mmol) in dry THF (3.23 mL). The solution was cooled to 0 °C and DIAD (1.957 mmol, 3 equiv) was added dropwise. After the formation of a white precipitate, (PhO)2PON3 (2.088 mmol, 3.2 equiv) was added and the reaction was stirred at r.t., following the disappearance of the starting material by TLC (PE/EtOAc 7:3). After 2 h, the solvent was evaporated and the crude was loaded on silica gel, performing a FC (eluent PE/EtOAc 9:1 to 6:4), which afforded the desired product 9 (209 mg, 0.38 mmol) with 60% yield.
1H NMR (400 MHz, CDCl3) δ 7.37–7.24 (m, 15H, CH Ar), 4.82–4.75 (m, 2H, CH2Ph), 4.74–4.61 (m, 3H, CH2Ph), 4.60–4.52 (m, 2H, CH2Ph, H6), 4.13–4.04 (m, 1H, H1), 3.75 (t, J = 7.7 Hz, 1H, H3), 3.70–3.56 (m, 3H, H2, H4, H5), 3.50–3.30 (m, 8H, CH3O- x 6, H2′a,b), 2.09–1.94 (m, 1H, H1′a), 1.91–1.79 (m, 1H, H1′b).
13C NMR (101 MHz, CDCl3) δ 138.49, 138.33, 138.07 (Cq Ar), 128.59, 128.57, 128.56, 128.15, 128.03, 127.94, 127.91, 127.84 (C Ar), 102.11 (C6), 80.27 (C3), 78.43 (C2), 77.01 (C4), 74.86 (CH2Ph), 74.40 (CH2Ph), 73.12 (CH2Ph), 72.58 (C1), 70.57 (C5), 55.74 (CH3O-), 54.97 (CH3O-), 48.06 (C2′), 29.84 (C1′).
C31H37N3O6; calcd. mass: 547.65; MS-ESI: m/z 548.66 [M+H]+.
3.2.8. 1-C-[(1′-ethylen-(N,N-dimethylamino)-N-naphthalensulfonamidyl]-6-deoxy-6,6-dimethoxy-α-d-glucopyranoside 10
Compound 9 (209 mg, 0.38 mmol) was dissolved in a mixture of tBuOH/EtOAc (5 + 5 mL) and the solution was degassed under vacuum. In total, 20% by weight of 10% Pd/C was added, and the reaction was stirred vigorously at r.t. under hydrogen atmosphere. After 48 h, the catalyst was removed by filtration through a pad of celite and the filtrate was concentrated. Crude amine was dissolved in MeOH. Et3N (0.76 mmol, 2 equiv related to compound 9) and 0.57 mmol (1.5 equiv) of dansyl chloride were added to the reaction that was stirred at r.t. and followed by TLC (CH2Cl2/MeOH/NH3 (aq) 5:5:1 and EtOAc/MeOH 9:1). After 2 h, the solvent was removed and the product purified by FC (eluent AcOEt/MeOH 9.5:0.5), obtaining 39.7 mg (0.082 mmol, 22% yield over two steps) of compound 10.
1H NMR (400 MHz, MeOD) δ 8.56 (d, J = 8.5 Hz, 1H, CH Ar), 8.36 (d, J = 8.7 Hz, 1H, CH Ar), 8.21 (dd, J = 7.3, 1.2 Hz, 1H, CH Ar), 7.70–7.48 (m, 2H, CH Ar), 7.27 (d, J = 7.6 Hz, 1H, CH Ar), 4.64 (d, J = 3.8 Hz, 1H, H6), 3.78 (dt, J = 10.9, 4.1 Hz, 1H, H1), 3.48–3.36 (m, 10H, CH3OCH- x 6, H2, H3, H4, H5), 2.96 (t, J = 6.9 Hz, 2H, H2′), 2.88 (s, 6H, (CH3)2N-), 1.81–1.59 (m, 2H, H1′).
13C NMR (101 MHz, MeOD) δ 153.00 (C Ar), 136.61 (C Ar), 131.02 (C Ar), 130.97 (C Ar), 130.75 (C Ar), 130.10 (C Ar), 128.91 (C Ar), 124.09 (C Ar), 120.25 (C Ar), 116.22 (C Ar), 104.00 (C6), 74.52 (C5), 74.19 (C1), 73.71 (C3), 71.98 (C4), 71.24 (C2), 56.17 (CH3OCH-), 55.04 (CH3OCH-), 45.58 ((CH3)2N-), 41.40 (C2′), 26.88 (C1′).
C22H32N2O8S; calcd. mass: 484.56; ESI-MS: m/z 485.3 [M+H]+, 507.4 [M+Na]+.
3.2.9. 6-[2H]-1-C-[(1′-ethylen-(N,N-dimethylamino)-N-naphthalensulfonamidyl]-α-d-glucopyranoside [2H]-1
Compound 11 (15 mg, 0.031 mmol) was dissolved in 3 mL of distilled water; HCl 2 M was added to the solution until pH 1 and stirred at r.t. for 24 h. The reaction was followed by TLC (EtOAc/MeOH 9:1), which indicated the formation of a new product with a lower Rf with respect to starting compound, which turned violet upon staining and charring the TLC using a Purpald® reagent solution (500 mg in 50 mL NaOH 5%). The pH of the solution was then adjusted to 6 by adding few drops of NaOH 4 M. NaBD4 (0.009 mmol, 4 equiv) was added to the solution and stirred at r.t. for 1 h. TLC (EtOAc/MeOH 9:1) indicated the complete transformation of the aldehyde intermediate into a more polar compound. The mixture was then evaporated, and the solid residue was taken up in MeOH, filtered, and evaporated. In total, 10 mg of compound [2H]-1 were obtained (75% yield).
1H NMR (400 MHz, MeOD) δ 8.50 (d, J = 8.5 Hz, 1H CH Ar), 8.32 (t, J = 7.6 Hz, 1H CH Ar), 8.15 (d, J = 6.1 Hz, 1H CH Ar), 7.54 (t, J = 8.0 Hz, 2H CH Ar), 7.21 (d, J = 7.5 Hz, 1H CH Ar), 3.89–3.68 (m, 1H, H1), 3.61–3.44 (m, 2H, H2, H3), 3.41–3.33 (m, 1H, H4), 3.19–3.07 (m, 2H, H5, H6), 2.98–2.88 (m, 1H, H2′a), 2.83 (s, 7H, (CH3)2N-, H2′b), 1.77 (d, J = 7.8 Hz, 2H, H1′).
13C NMR (101 MHz, CDCl3) δ 153.12 (C Ar), 136.87 (C Ar), 131.21 (C Ar), 131.10 (C Ar), 130.98 (C Ar), 130.17 (C Ar), 129.03 (C Ar), 124.28 (C Ar), 120.52 (C Ar), 116.33 (C Ar), 76.54 (C3), 75.85 (C5), 74.42 (C1), 73.06 (C4), 68.64 (C2), 49.85 (C6), 45.81 ((CH3)2N-), 41.19 (C2′), 26.53 (C1′).
C20H27DN2O7S; calcd. mass: 441.52 ESI-MS: m/z 442.70 [M+H]+, 464.60 [M+Na]+, 905.01 [2M+Na]+.
4. Conclusions
The synthesis of the hydrogen isotope-labeled derivative of compound 1 was successfully accomplished. This process involved several steps to generate the key intermediate 11, which was then converted into the deuterated derivative of the C-glucoside 1 through a two-step reaction, using the cost-effective and easy-to-handle reducing reagent NaBD4. The same procedure can be applied to produce the tritiated form, which is useful for radioactivity-based measurements, utilizing the tritiated form of the reducing agent. Both hydrogen isotope-labeled compounds serve as valuable chemical tools for drug discovery and development investigations of C-glucoside 1. They are particularly useful for enhancing our understanding of the mechanism of action of this compound, including its cellular/tissue localization, absorption, distribution, and metabolic fate.
Supplementary Materials
NMR spectra of synthesized compounds (3–10) and [2H]-1.
Author Contributions
Conceptualization, G.D. and B.L.F.; methodology, G.D. and B.L.F.; investigation, G.D. and B.L.F.; writing—original draft preparation, G.D.; writing—review and editing, G.D. and B.L.F. All authors have read and agreed to the published version of the manuscript.
Funding
This research received no external funding.
Data Availability Statement
Data are contained within this article or in the Supplementary Materials.
Acknowledgments
We acknowledge Laura Loconte and Marco Schiavoni (University of Milan) for ESI-MS analyses.
Conflicts of Interest
The authors declare no conflicts of interest.
References
- Wright, E.M.; Hirayama, B.A.; Loo, D.F. Active Sugar Transport in Health and Disease. J. Intern. Med. 2007, 261, 32–43. [Google Scholar] [CrossRef] [PubMed]
- Koepsell, H. Glucose Transporters in the Small Intestine in Health and Disease. Pflugers Arch. 2020, 472, 1207–1248. [Google Scholar] [CrossRef] [PubMed]
- Gorboulev, V.; Schürmann, A.; Vallon, V.; Kipp, H.; Jaschke, A.; Klessen, D.; Friedrich, A.; Scherneck, S.; Rieg, T.; Cunard, R.; et al. Na+-Glucose Cotransporter SGLT1 Is Pivotal for Intestinal Glucose Absorption and Glucose-Dependent Incretin Secretion. Diabetes 2012, 61, 187–196. [Google Scholar] [CrossRef] [PubMed]
- Wright, E.M.; Loo, D.D.F.; Hirayama, B.A.; Turk, E. Surprising Versatility of Na+-Glucose Cotransporters: SLC5. Physiology 2004, 19, 370–376. [Google Scholar] [CrossRef]
- Koepsell, H. The Na+-D-Glucose Cotransporters SGLT1 and SGLT2 Are Targets for the Treatment of Diabetes and Cancer. Pharmacol. Ther. 2017, 170, 148–165. [Google Scholar] [CrossRef]
- Tsimihodimos, V.; Filippas-Ntekouan, S.; Elisaf, M. SGLT1 Inhibition: Pros and Cons. Eur. J. Pharmacol. 2018, 838, 153–156. [Google Scholar] [CrossRef]
- Zhao, M.; Li, N.; Zhou, H. SGLT1: A Potential Drug Target for Cardiovascular Disease. Drug Des. Dev. Ther. 2023, 17, 2011–2023. [Google Scholar] [CrossRef]
- Yu, L.C.H.; Turner, J.R.; Buret, A.G. LPS/CD14 Activation Triggers SGLT-1-Mediated Glucose Uptake and Cell Rescue in Intestinal Epithelial Cells via Early Apoptotic Signals Upstream of Caspase-3. Exp. Cell Res. 2006, 312, 3276–3286. [Google Scholar] [CrossRef]
- Yu, L.C.H.; Flynn, A.N.; Turner, J.R.; Buret, A.G. SGLT-1-mediated Glucose Uptake Protects Intestinal Epithelial Cells against LPS-induced Apoptosis and Barrier Defects: A Novel Cellular Rescue Mechanism? FASEB J. 2005, 19, 1822–1835. [Google Scholar] [CrossRef]
- Palazzo, M.; Gariboldi, S.; Zanobbio, L.; Selleri, S.; Dusio, G.F.; Mauro, V.; Rossini, A.; Balsari, A.; Rumio, C. Sodium-Dependent Glucose Transporter-1 as a Novel Immunological Player in the Intestinal Mucosa. J. Immunol. 2008, 181, 3126–3136. [Google Scholar] [CrossRef]
- Zanobbio, L.; Palazzo, M.; Gariboldi, S.; Dusio, G.F.; Cardani, D.; Mauro, V.; Marcucci, F.; Balsari, A.; Rumio, C. Intestinal Glucose Uptake Protects Liver from Lipopolysaccharide and D-Galactosamine, Acetaminophen, and Alpha-Amanitin in Mice. Am. J. Pathol. 2009, 175, 1066–1076. [Google Scholar] [CrossRef]
- La Ferla, B.; Spinosa, V.; D’Orazio, G.; Palazzo, M.; Balsari, A.; Foppoli, A.A.; Rumio, C.; Nicotra, F. Dansyl C-Glucoside as a Novel Agent Against Endotoxic Shock. ChemMedChem 2010, 5, 1677–1680. [Google Scholar] [CrossRef] [PubMed]
- Airoldi, C.; Palmioli, A. Synthesis of C- and S-Glycosides. In Comprehensive Glycoscience; Elsevier: Amsterdam, The Netherlands, 2021; pp. 160–199. [Google Scholar]
- Kuroda, S.; Kobashi, Y.; Oi, T.; Amada, H.; Okumura-Kitajima, L.; Io, F.; Yamamto, K.; Kakinuma, H. Discovery of a Potent, Low-Absorbable Sodium-Dependent Glucose Cotransporter 1 (SGLT1) Inhibitor (TP0438836) for the Treatment of Type 2 Diabetes. Bioorg. Med. Chem. Lett. 2018, 28, 3534–3539. [Google Scholar] [CrossRef] [PubMed]
- Cui, H.; Luo, X.; Chen, M.; Lu, J.; Liu, J.J. Investigational Agents Targeting SGLT1 and SGLT2 in the Treatment of Type 2 Diabetes Mellitus. Curr. Drug Targets 2023, 24, 648–661. [Google Scholar] [CrossRef] [PubMed]
- Deswal, N.; Takkar, P.; Kaur, L.; Ojha, H.; Kumar, R. Synthesis and Bio-Evaluation of Newer Dihydropyridines and Tetrahydropyridines Based Glycomimetic Azasugars. Bioorg. Chem. 2024, 145, 107224. [Google Scholar] [CrossRef]
- Decroocq, C.; Rodríguez-Lucena, D.; Russo, V.; Mena Barragán, T.; Ortiz Mellet, C.; Compain, P. The Multivalent Effect in Glycosidase Inhibition: Probing the Influence of Architectural Parameters with Cyclodextrin-based Iminosugar Click Clusters. Chem.—A Eur. J. 2011, 17, 13825–13831. [Google Scholar] [CrossRef]
- D’Orazio, G.; Martorana, A.M.; Filippi, G.; Polissi, A.; De Gioia, L.; Ferla, B. La N-Spirofused Bicyclic Derivatives of 1-Deoxynojirimycin: Synthesis and Preliminary Biological Evaluation. ChemistrySelect 2016, 1, 2444–2447. [Google Scholar] [CrossRef]
- Thépaut, M.; Luczkowiak, J.; Vivès, C.; Labiod, N.; Bally, I.; Lasala, F.; Grimoire, Y.; Fenel, D.; Sattin, S.; Thielens, N.; et al. DC/L-SIGN Recognition of Spike Glycoprotein Promotes SARS-CoV-2 Trans-Infection and Can Be Inhibited by a Glycomimetic Antagonist. PLoS Pathog. 2021, 17, e1009576. [Google Scholar] [CrossRef]
- Sommer, R.; Wagner, S.; Rox, K.; Varrot, A.; Hauck, D.; Wamhoff, E.-C.; Schreiber, J.; Ryckmans, T.; Brunner, T.; Rademacher, C.; et al. Glycomimetic, Orally Bioavailable LecB Inhibitors Block Biofilm Formation of Pseudomonas Aeruginosa. J. Am. Chem. Soc. 2018, 140, 2537–2545. [Google Scholar] [CrossRef]
- Antonini, G.; Bernardi, A.; Gillon, E.; Dal Corso, A.; Civera, M.; Belvisi, L.; Varrot, A.; Mazzotta, S. Achieving High Affinity for a Bacterial Lectin with Reversible Covalent Ligands. J. Med. Chem. 2024, 67, 19546–19560. [Google Scholar] [CrossRef]
- Cecioni, S.; Imberty, A.; Vidal, S. Glycomimetics versus Multivalent Glycoconjugates for the Design of High Affinity Lectin Ligands. Chem. Rev. 2015, 115, 525–561. [Google Scholar] [CrossRef]
- Leusmann, S.; Ménová, P.; Shanin, E.; Titz, A.; Rademacher, C. Glycomimetics for the Inhibition and Modulation of Lectins. Chem. Soc. Rev. 2023, 52, 3663–3740. [Google Scholar] [CrossRef] [PubMed]
- D’Orazio, G.; Parisi, G.; Policano, C.; Mechelli, R.; Codacci Pisanelli, G.; Pitaro, M.; Ristori, G.; Salvetti, M.; Nicotra, F.; La Ferla, B. Arsenical C-Glucoside Derivatives with Promising Antitumor Activity. Eur. J. Org. Chem. 2015, 2015, 4620–4623. [Google Scholar] [CrossRef]
- Paiotta, A.; D’Orazio, G.; Palorini, R.; Ricciardiello, F.; Zoia, L.; Votta, G.; De Gioia, L.; Chiaradonna, F.; La Ferla, B. Design, Synthesis, and Preliminary Biological Evaluation of GlcNAc-6P Analogues for the Modulation of Phosphoacetylglucosamine Mutase 1 (AGM1/PGM3). Eur. J. Org. Chem. 2018, 2018, 1946–1952. [Google Scholar] [CrossRef]
- Zhang, G.; Ye, X. Synthetic Glycans and Glycomimetics: A Promising Alternative to Natural Polysaccharides. Chem.—A Eur. J. 2018, 24, 6696–6704. [Google Scholar] [CrossRef] [PubMed]
- Büll, C.; Boltje, T.J.; van Dinther, E.A.W.; Peters, T.; de Graaf, A.M.A.; Leusen, J.H.W.; Kreutz, M.; Figdor, C.G.; den Brok, M.H.; Adema, G.J. Targeted Delivery of a Sialic Acid-Blocking Glycomimetic to Cancer Cells Inhibits Metastatic Spread. ACS Nano 2015, 9, 733–745. [Google Scholar] [CrossRef]
- Fernández-Tejada, A.; Cañada, F.J.; Jiménez-Barbero, J. Recent Developments in Synthetic Carbohydrate-Based Diagnostics, Vaccines, and Therapeutics. Chem.—A Eur. J. 2015, 21, 10616–10628. [Google Scholar] [CrossRef]
- Hevey, R. Strategies for the Development of Glycomimetic Drug Candidates. Pharmaceuticals 2019, 12, 55. [Google Scholar] [CrossRef]
- Tamburrini, A.; Colombo, C.; Bernardi, A. Design and Synthesis of Glycomimetics: Recent Advances. Med. Res. Rev. 2020, 40, 495–531. [Google Scholar] [CrossRef]
- Ernst, B.; Magnani, J.L. From Carbohydrate Leads to Glycomimetic Drugs. Nat. Rev. Drug Discov. 2009, 8, 661–677. [Google Scholar] [CrossRef]
- La Ferla, B.; D’Orazio, G. Pyranoid Spirosugars as Enzyme Inhibitors. Curr. Org. Synth. 2021, 18, 3–22. [Google Scholar] [CrossRef] [PubMed]
- D’Orazio, G.; Colombo, L.; Salmona, M.; La Ferla, B. Synthesis and Preliminary Biological Evaluation of Fluorescent Glycofused Tricyclic Derivatives of Amyloid Β-Peptide Ligands. Eur. J. Org. Chem. 2016, 2016, 1660–1664. [Google Scholar] [CrossRef]
- Cardani, D.; Sardi, C.; La Ferla, B.; D’Orazio, G.; Sommariva, M.; Marcucci, F.; Olivero, D.; Tagliabue, E.; Koepsell, H.; Nicotra, F.; et al. Sodium Glucose Cotransporter 1 Ligand BLF501 as a Novel Tool for Management of Gastrointestinal Mucositis. Mol. Cancer 2014, 13, 23. [Google Scholar] [CrossRef]
- Rumio, C.; Dusio, G.; Cardani, D.; La Ferla, B.; D’Orazio, G. Anti-Inflammatory Effects of SGLT1 Synthetic Ligand in In Vitro and In Vivo Models of Lung Diseases. Immuno 2024, 4, 502–520. [Google Scholar] [CrossRef]
- D’Orazio, G.; Marradi, M.; La Ferla, B. Dual-Targeting Gold Nanoparticles: Simultaneous Decoration with Ligands for Co-Transporters SGLT-1 and B0AT1. Appl. Sci. 2024, 14, 2248. [Google Scholar] [CrossRef]
- D’Orazio, G.; La Ferla, B. Synthesis of a Small Library of Glycoderivative Putative Ligands of SGLT1 and Preliminary Biological Evaluation. Molecules 2024, 29, 5067. [Google Scholar] [CrossRef]
- D’Orazio, G. Glycoderivatives: Drug Candidates and Molecular Tools. Ph.D. Thesis, University of Milano-Bicocca, Milan, Italy, 2013. [Google Scholar]
- Kopf, S.; Bourriquen, F.; Li, W.; Neumann, H.; Junge, K.; Beller, M. Recent Developments for the Deuterium and Tritium Labeling of Organic Molecules. Chem. Rev. 2022, 122, 6634–6718. [Google Scholar] [CrossRef]
- Kuang, Y.; Salem, N.; Corn, D.J.; Erokwu, B.; Tian, H.; Wang, F.; Lee, Z. Transport and Metabolism of Radiolabeled Choline in Hepatocellular Carcinoma. Mol. Pharm. 2010, 7, 2077–2092. [Google Scholar] [CrossRef]
- Zona, C.; La Ferla, B. Synthesis of Labeled Curcumin Derivatives as Tools for in Vitro Blood Brain Barrier Trafficking Studies. J. Label. Compd. Radiopharm. 2011, 54, 629–632. [Google Scholar] [CrossRef]
- Nagata, A.; Iijima, K.; Sakamoto, R.; Mizumoto, Y.; Iwaki, M.; Takiwaki, M.; Kikutani, Y.; Fukuzawa, S.; Odagi, M.; Tera, M.; et al. Synthesis of Deuterium-Labeled Vitamin D Metabolites as Internal Standards for LC-MS Analysis. Molecules 2022, 27, 2427. [Google Scholar] [CrossRef]
- Reimers, N.; Do, Q.; Zhang, R.; Guo, A.; Ostrander, R.; Shoji, A.; Vuong, C.; Xu, L. Tracking the Metabolic Fate of Exogenous Arachidonic Acid in Ferroptosis Using Dual-Isotope Labeling Lipidomics. J. Am. Soc. Mass Spectrom. 2023, 34, 2016–2024. [Google Scholar] [CrossRef] [PubMed]
- Teng, Y.; Yang, H.; Tian, Y. The Development and Application of Tritium-Labeled Compounds in Biomedical Research. Molecules 2024, 29, 4109. [Google Scholar] [CrossRef] [PubMed]
- Brenna, E.; Fuganti, C.; Grasselli, P.; Serra, S.; Zambotti, S. A Novel General Route for the Synthesis of C-Glycosyl Tyrosine Analogues. Chem.—A Eur. J. 2002, 8, 1872. [Google Scholar] [CrossRef]
- McGarvey, G.J.; LeClair, C.A.; Schmidtmann, B.A. Studies on the Stereoselective Synthesis of C-Allyl Glycosides. Org. Lett. 2008, 10, 4727–4730. [Google Scholar] [CrossRef] [PubMed]
- Wang, Z. Zemplén Deacetylation. In Comprehensive Organic Name Reactions and Reagents; Wiley: Hoboken, NJ, USA, 2010; pp. 3123–3128. [Google Scholar]
- Zemplén, G.; Kunz, A. Studien Über Amygdalin, IV: Synthese Des Natürlichen l-Amygdalins. Berichte Dtsch. Chem. Ges. (A B Ser.) 1924, 57, 1357–1359. [Google Scholar] [CrossRef]
- Dess, D.B.; Martin, J.C. Readily Accessible 12-I-5 Oxidant for the Conversion of Primary and Secondary Alcohols to Aldehydes and Ketones. J. Org. Chem. 1983, 48, 4155–4156. [Google Scholar] [CrossRef]
- Deleuze, A.; Sollogoub, M.; Blériot, Y.; Marrot, J.; Sinaÿ, P. Synthesis of Methoxy-Substituted Exocyclic (E)- and (Z)-Unsaturated Methyl Pyranosides and a Study of Their Reactivity towards Lewis Acids. Eur. J. Org. Chem. 2003, 2003, 2678–2683. [Google Scholar] [CrossRef]
Disclaimer/Publisher’s Note: The statements, opinions and data contained in all publications are solely those of the individual author(s) and contributor(s) and not of MDPI and/or the editor(s). MDPI and/or the editor(s) disclaim responsibility for any injury to people or property resulting from any ideas, methods, instructions or products referred to in the content. |
© 2025 by the authors. Licensee MDPI, Basel, Switzerland. This article is an open access article distributed under the terms and conditions of the Creative Commons Attribution (CC BY) license (https://creativecommons.org/licenses/by/4.0/).


