Perfluoro-3-ethyl-1,2,3,10b-tetrahydrofluoranthene
Abstract
1. Introduction
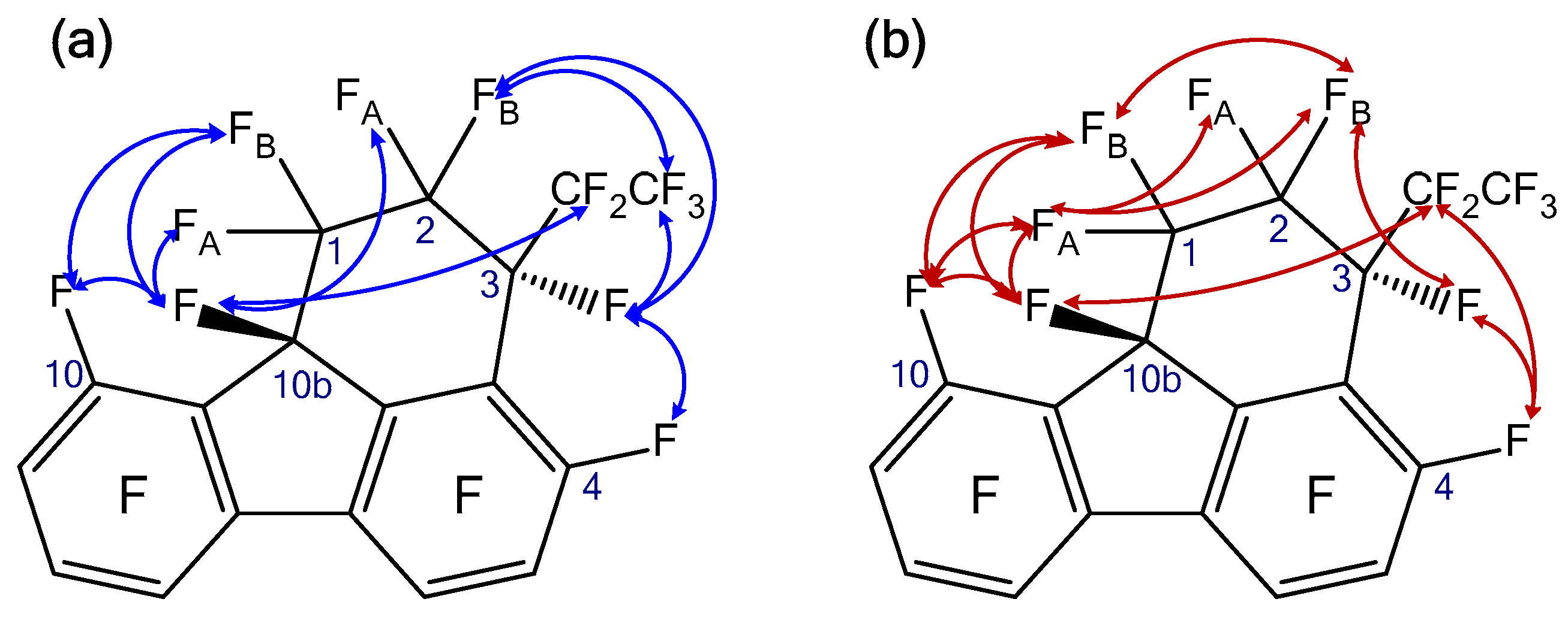
2. Results and Discussion
3. Materials and Methods
3.1. General Information
3.2. Synthesis of Perfluoro-3-ethyl-1,2,3,10b-tetrahydrofluoranthene
Supplementary Materials
Author Contributions
Funding
Data Availability Statement
Acknowledgments
Conflicts of Interest
References
- Kirsch, P. Modern Fluoroorganic Chemistry. In Synthesis, Reactivity, Applications; Wiley-VCH: Weinheim, Germany, 2013. [Google Scholar]
- Purser, S.; Moore, P.R.; Swallow, S.; Gouverneur, V. Fluorine in medicinal chemistry. Chem. Soc. Rev. 2008, 37, 320–330. [Google Scholar] [CrossRef] [PubMed]
- Politanskaya, L.V.; Selivanova, G.A.; Panteleeva, E.V.; Tretyakov, E.V.; Platonov, V.E.; Nikul’shin, P.V.; Vinogradov, A.S.; Zonov, Y.V.; Karpov, V.M.; Mezhenkova, T.V.; et al. Organofluorine chemistry: Promising growth areas and challenges. Russ. Chem. Rev. 2019, 88, 425–569. [Google Scholar] [CrossRef]
- Hiyama, T. Organofluorine Compounds; Yamamoto, H., Ed.; Springer: Berlin/Heidelberg, Germany, 2000; ISBN 978-3-642-08596-3. [Google Scholar]
- Reddy, V.P. Organofluorine Chemistry Synthesis and Applications; Elsevier: Amsterdam, The Netherlands, 2020; ISBN 9780128132869. [Google Scholar]
- Babudri, F.; Farinola, G.M.; Naso, F.; Ragni, R. Fluorinated organic materials for electronic and optoelectronic applications: The role of the fluorine atom. Chem. Commun. 2007, 1003–1022. [Google Scholar] [CrossRef] [PubMed]
- Han, J.; Remete, A.M.; Dobson, L.S.; Kiss, L.; Izawa, K.; Moriwaki, H.; Soloshonok, V.A.; O’Hagan, D. Next generation organofluorine containing blockbuster drugs. J. Fluor. Chem. 2020, 239, 109639. [Google Scholar] [CrossRef]
- Kothapalli, Y.; Jones, R.A.; Chu, C.K.; Singh, U.S. Synthesis of Fluorinated Nucleosides/Nucleotides and Their Antiviral Properties. Molecules 2024, 29, 2390. [Google Scholar] [CrossRef] [PubMed]
- O’Hagan, D. The Emergence and Properties of Selectively Fluorinated ‘Janus’ Cyclohexanes. Chem. Rec. 2023, 23, e202300027. [Google Scholar] [CrossRef] [PubMed]
- Keshtov, M.L.; Konstantinov, I.O.; Krayushkin, M.M.; Kuklin, S.A.; Masoud, S.M.; Osipov, S.N.; Khokhlov, A.R. New electron-accepting quinoxalinothiadiazole-containing heterocycles as promising building blocks for organic optoelectronic devices. Dokl. Chem. 2016, 468, 202–207. [Google Scholar] [CrossRef]
- Ohkubo, K.; Sakamoto, Y.; Suzuki, T.; Tsuzuki, T.; Kumaki, D.; Tokito, S. Synthesis, structure, and transport property of perfluorinated oligofluorenes. Chem.-A Eur. J. 2008, 14, 4472–4474. [Google Scholar] [CrossRef] [PubMed]
- Inagi, S.; Yamaguchi, T.; Hayashi, S.; Koseki, K.; Fuchigami, T. Electropolymerization of 9,9-difluorofluorene in BF3-OEt2 toward a photostable n-type material. Electrochem. Commun. 2010, 12, 661–663. [Google Scholar] [CrossRef]
- Ma, G.; Zhao, H.; Wang, J.; Le, Y.; Jiang, H.; Deng, H.; Hao, J.; Wan, W. Studies of fluorine auxochrome in C9-fluorenyl anthracenes on optoelectronic property for blue electroluminescent materials. Dye. Pigment. 2018, 158, 420–427. [Google Scholar] [CrossRef]
- Calderazzo, F.; Masi, F.; Pampaloni, G.; Passarelli, V.; Santi, R.; Sommazzi, A.; Spera, S.; Tumminia, F. Perfluorofluorenyl anions and their use as co-catalysts in the zirconocene-promoted polymerization of olefins. J. Organomet. Chem. 2005, 690, 4886–4898. [Google Scholar] [CrossRef]
- Marks, T.J.; Chen, Y.-X. Organo-Lewis Acids of Enhanced Utility, Uses Thereof, and Products Based Thereon. U.S. Patent 6291695B1, 18 September 2001. [Google Scholar]
- Sommazi, A.; Masi, F.; Borsotti, G.; Proto, A.; Santi, R. Activating Composition of Metallocene Complexes in the Catalysis of (Co)Polymerization Processes of Olefins. U.S. Patent 6596891B1, 22 July 2003. [Google Scholar]
- Link, J.O.; Taylor, J.G.; Xu, L.; Mitchell, M.; Guo, H.; Liu, H.; Kato, D.; Kirschberg, T.; Sun, J.; Squires, N.; et al. Discovery of Ledipasvir (GS-5885): A Potent, Once-Daily Oral NS5A Inhibitor for the Treatment of Hepatitis C Virus Infection. J. Med. Chem. 2014, 57, 2033–2046. [Google Scholar] [CrossRef] [PubMed]
- Filler, R.; Fiebig, A.E.; Pelister, M.Y. Fluorocarbanion Chemistry. Octafluorofluorene and Companions. J. Org. Chem. 1980, 45, 1290–1295. [Google Scholar] [CrossRef]
- Pozdnyakovich, Y.V.; Shteingarts, V.D. Fluorine-containing carbocations. XVII. Generation and some reactions of polyfluorinated fluorenyl cations. J. Org. Chem. USSR 1978, 14, 559–565, (English Translation). [Google Scholar] [CrossRef]
- Marchetti, F.; Masi, F.; Pampaloni, G.; Passarelli, V.; Sommazzi, A.; Spera, S. Synthesis, variable temperature NMR investigations and solid state characterization of novel octafluorofluorene compounds. J. Fluor. Chem. 2009, 130, 341–347. [Google Scholar] [CrossRef]
- Mezhenkova, T.V.; Karpov, V.M.; Zonov, Y.V. Formation of polyfluorofluorenes in the reactions of perfluoro-1,1-diphenylalkanes with antimony pentafluoride. J. Fluor. Chem. 2018, 207, 59–66. [Google Scholar] [CrossRef]
- Mezhenkova, T.V.; Komarov, V.V.; Karpov, V.M.; Beregovaya, I.V.; Zonov, Y.V. Synthesis of 1-(tetrafluorophenyl)perfluoro-1-phenylethanes and their cyclization into polyfluoro-9-methylfluorenes under the action of antimony pentafluoride. J. Fluor. Chem. 2020, 237, 109615. [Google Scholar] [CrossRef]
- Komarov, V.V.; Mezhenkova, T.V.; Karpov, V.M.; Zonov, Y.V.; Krasnov, V.I. Formation of polyfluoro-1-ethylfluorenes in the reaction of perfluoropropylbenzene with tetrafluorobenzenes in an SbF5 medium. J. Fluor. Chem. 2023, 271, 110186. [Google Scholar] [CrossRef]
- Mezhenkova, T.V.; Komarov, V.V.; Karpov, V.M.; Zonov, Y.V.; Gatilov, Y.V. Reaction of perfluorotetralin with 1,2,3,4-tetrafluorobenzene in SbF5 medium: The formation of polycyclic compounds with a new carbon framework. J. Fluor. Chem. 2021, 250, 109882. [Google Scholar] [CrossRef]
- Karpov, V.M.; Mezhenkova, T.V.; Platonov, V.E.; Yakobson, G.G. Interaction of perfluorobenzocycloalkenes with tetrafluoroethylene in the presence of SbF5. J. Fluor. Chem. 1985, 28, 121–137. [Google Scholar] [CrossRef]






Disclaimer/Publisher’s Note: The statements, opinions and data contained in all publications are solely those of the individual author(s) and contributor(s) and not of MDPI and/or the editor(s). MDPI and/or the editor(s) disclaim responsibility for any injury to people or property resulting from any ideas, methods, instructions or products referred to in the content. |
© 2024 by the authors. Licensee MDPI, Basel, Switzerland. This article is an open access article distributed under the terms and conditions of the Creative Commons Attribution (CC BY) license (https://creativecommons.org/licenses/by/4.0/).
Share and Cite
Komarov, V.V.; Krasnov, V.I.; Karpov, V.M.; Parkhomenko, D.A.; Mezhenkova, T.V. Perfluoro-3-ethyl-1,2,3,10b-tetrahydrofluoranthene. Molbank 2024, 2024, M1842. https://doi.org/10.3390/M1842
Komarov VV, Krasnov VI, Karpov VM, Parkhomenko DA, Mezhenkova TV. Perfluoro-3-ethyl-1,2,3,10b-tetrahydrofluoranthene. Molbank. 2024; 2024(3):M1842. https://doi.org/10.3390/M1842
Chicago/Turabian StyleKomarov, Vladislav V., Vyacheslav I. Krasnov, Victor M. Karpov, Dmitriy A. Parkhomenko, and Tatyana V. Mezhenkova. 2024. "Perfluoro-3-ethyl-1,2,3,10b-tetrahydrofluoranthene" Molbank 2024, no. 3: M1842. https://doi.org/10.3390/M1842
APA StyleKomarov, V. V., Krasnov, V. I., Karpov, V. M., Parkhomenko, D. A., & Mezhenkova, T. V. (2024). Perfluoro-3-ethyl-1,2,3,10b-tetrahydrofluoranthene. Molbank, 2024(3), M1842. https://doi.org/10.3390/M1842

