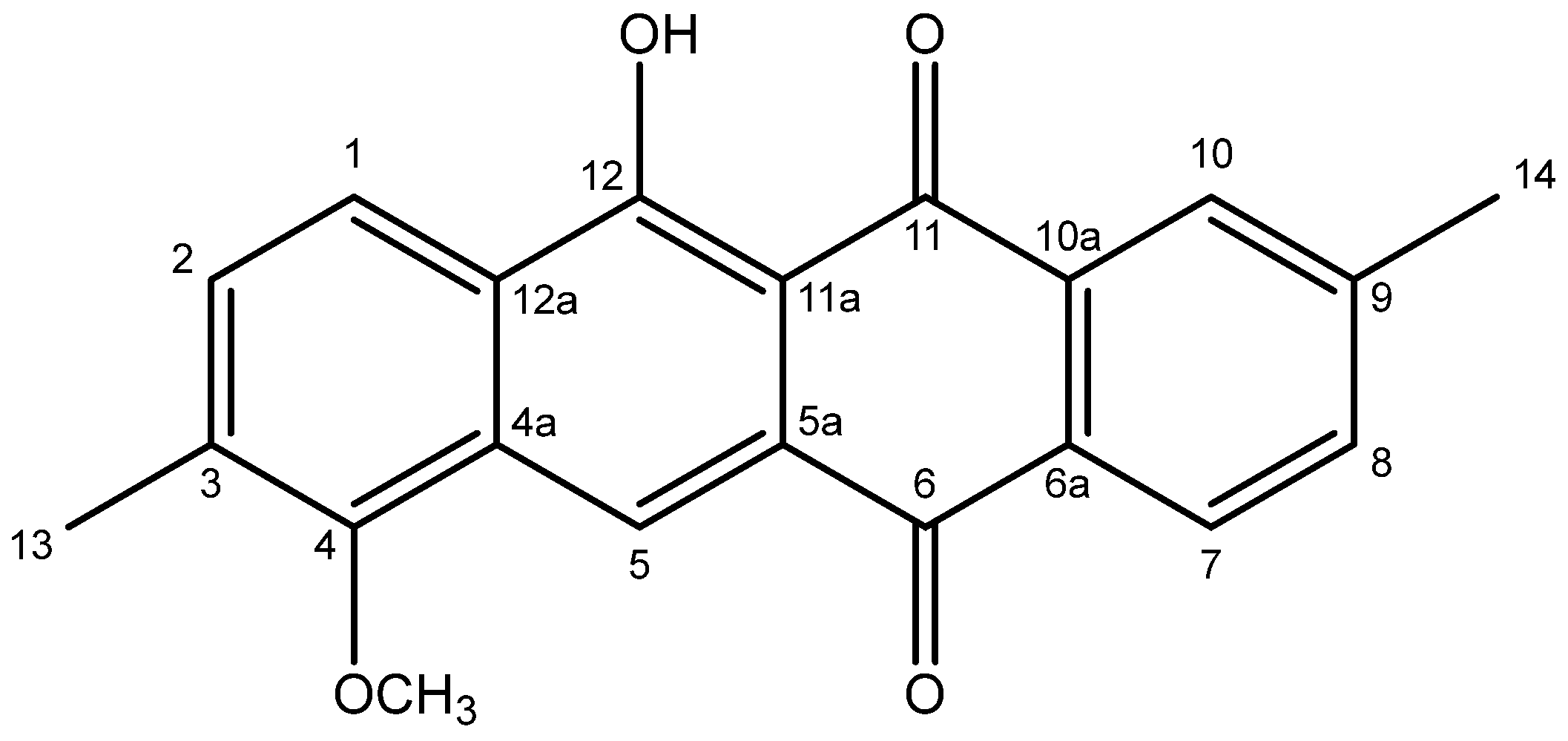
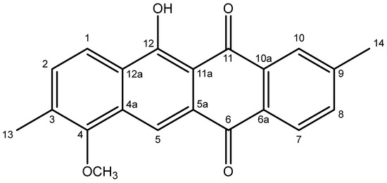
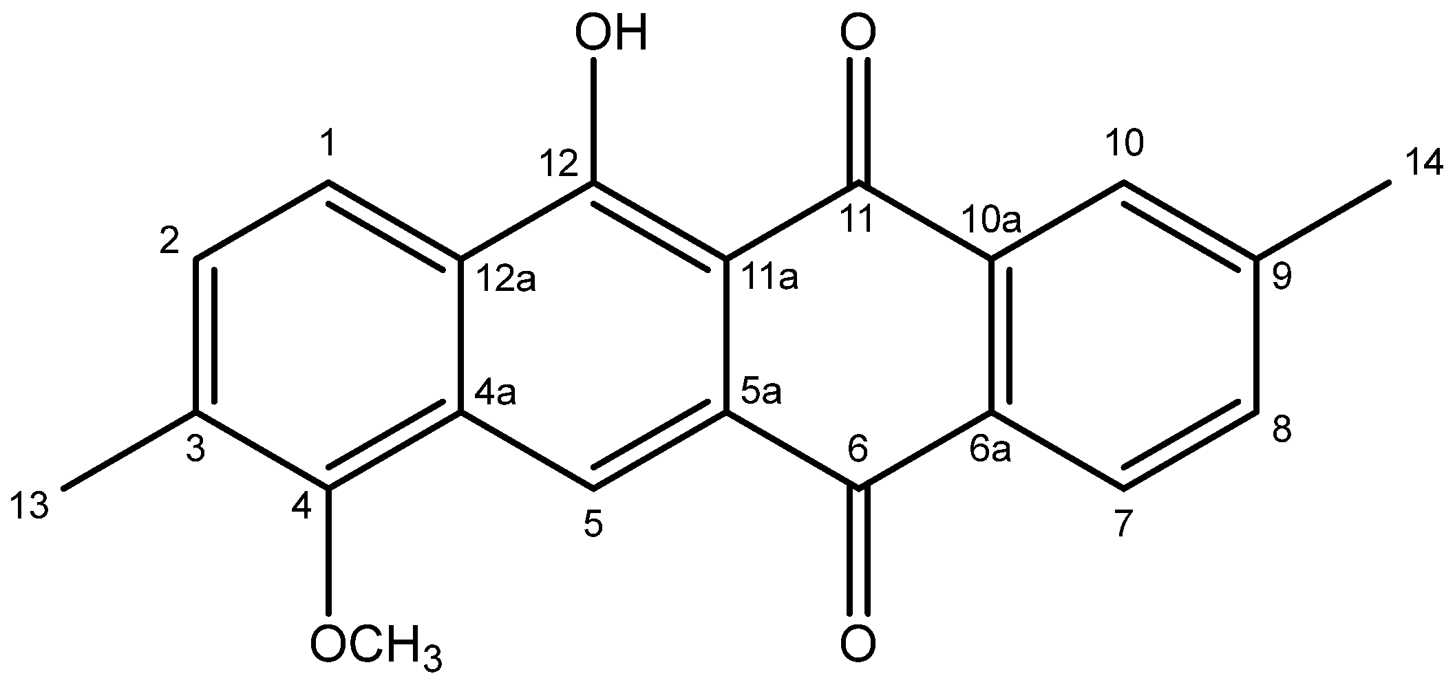
11-Hydroxy-7-Methoxy-2,8-Dimethyltetracene-5,12-Dione
Abstract
1. Introduction
2. Results and Discussion
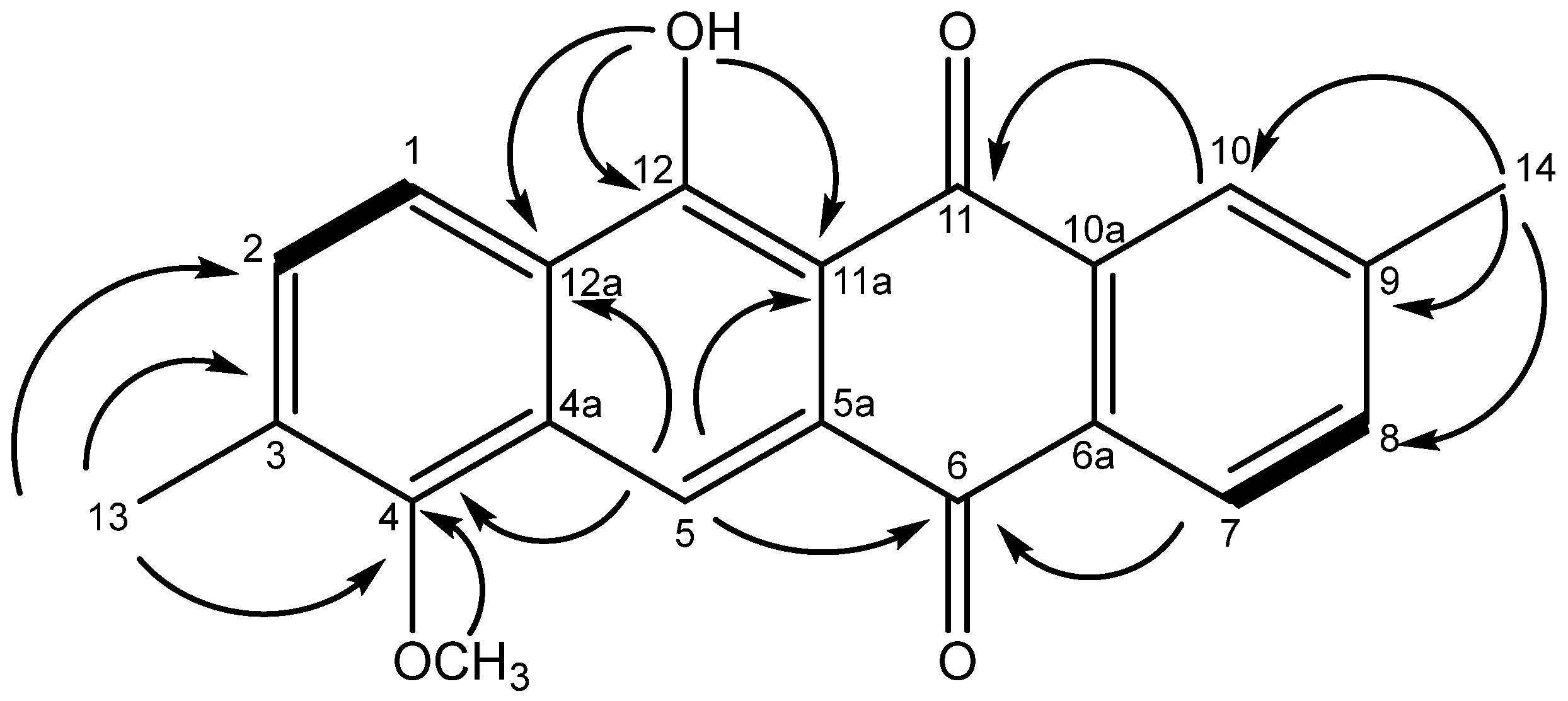
2.1. Spectroscopic Structural Elucidation
2.2. Crystal Structure
2.3. Antimicrobial Tests
3. Materials and Methods
3.1. Cultivation of Bacterial Strain and Isolation of Compound
3.2. Structural Elucidation
3.3. Antimicrobial Assay
3.4. X-ray Crystallography
4. Conclusions
Supplementary Materials
Author Contributions
Funding
Data Availability Statement
Acknowledgments
Conflicts of Interest
References
- Gomez-Silva, B.; Rainey, F.; Warren-Rhodes, K.; McKay, C.; Navarro-Gonzalez, R. Atacama Desert soil microbiology. Microbiol. Extrem. Soils 2008, 13, 117–132. [Google Scholar] [CrossRef]
- Rateb, M.E.; Houssen, W.E.; Arnold, M.; Abdelrahman, M.H.; Deng, H.; Harrison, W.T.A.; Okoro, C.K.; Asenjo, J.A.; Andrews, B.A.; Ferguson, G.; et al. Chaxamycins A-D, bioactive ansamycins from a hyper-arid desert Streptomyces sp. J. Nat. Prod. 2011, 74, 1491–1499. [Google Scholar] [CrossRef] [PubMed]
- Wichner, D.; Idris, H.; E Houssen, W.; McEwan, A.R.; Bull, A.T.; A Asenjo, J.; Goodfellow, M.; Jaspars, M.; Ebel, R.; E Rateb, M. Isolation and anti-HIV-1 integrase activity of lentzeosides A–F from extremotolerant Lentzea sp. H45, a strain isolated from a high-altitude Atacama Desert soil. J. Antibiot. 2017, 70, 448–453. [Google Scholar] [CrossRef][Green Version]
- Schulz, D.; Beese, P.; Ohlendorf, B.; Erhard, A.; Zinecker, H.; Dorador, C.; Imhoff, J.F. Abenquines A–D: Aminoquinone derivatives produced by Streptomyces sp. strain DB634. J. Antibiot. 2011, 64, 763–768. [Google Scholar] [CrossRef]
- Maeda, A.; Nagai, H.; Yazawa, K.; Tanaka, Y.; Imai, T.; Mikami, Y.; Kuramochi, T.; Yamazaki, C. Three new reduced anthracycline related compounds from pathogenic Nocardia brasiliensis. J. Antibiot. 1994, 47, 976–981. [Google Scholar] [CrossRef]
- Zheng, X.; Jiang, J.; Liu, Y. Crystal structure of tetracene-5,12-dione, C18H10O2. Z. Für Krist.-New Cryst.Struct. 2023, 238, 717–718. [Google Scholar] [CrossRef]
- Spek, L. checkCIF validation ALERTS: What they mean and how to respond. Acta Crystallogr. E Crystallogr. Commun. 2020, 76, 1–11. [Google Scholar] [CrossRef] [PubMed]
- Astakala, R.V.; Preet, G.; Milne, B.F.; Tibyangye, J.; Razmilic, V.; Castro, J.F.; Asenjo, J.A.; Andrews, B.; Ebel, R.; Jaspars, M. Mutactimycin AP, a new mutactimycin isolated from an actinobacteria from the Atacama Desert. Molecules 2022, 27, 7185. [Google Scholar] [CrossRef] [PubMed]
- Siddharth, S.; Vittal, R.R. Isolation, characterization, and structural elucidation of 4-methoxyacetanilide from marine actinobacteria Streptomyces sp. SCA29 and evaluation of its enzyme inhibitory, antibacterial, and cytotoxic potential. Arch. Microbiol. 2019, 201, 737–746. [Google Scholar] [CrossRef] [PubMed]
- Sheldrick, G.M. SHELXT–Integrated space-group and crystal-structure determination. Acta Crystallogr. A Found. Adv. 2015, 71, 3–8. [Google Scholar] [CrossRef] [PubMed]
- Sheldrick, G.M. Crystal structure refinement with SHELXL. Acta Crystallogr. C Struct. Chem. 2015, 71, 3–8. [Google Scholar] [CrossRef] [PubMed]






| Position | δ13C(ppm) | δ 1H(ppm) (Multiplicity, J in Hz) | COSY (H→H) | HMBC (H→C) |
|---|---|---|---|---|
| 1 | 120.5 | 8.16 (d, 7.9) a | 2 | 3, 4a, 12 |
| 2 | 132.6 | 7.48 (d, 7.9) | 1 | 4, 12a, 13 |
| 3 | 133.2 | - | ||
| 4 | 156.0 | - | ||
| 4-OCH3 | 62.1 | 3.88 (s) | 4 | |
| 4a | 131.4 | - | ||
| 5 | 116.0 | 8.52 (s) | 4, 6, 11a, 12a | |
| 5a | 128.7 | - | ||
| 6 | 182.3 | - | ||
| 6a | 132.6 | - | ||
| 7 | 127.9 | 8.24 (d, 8.5) | 8 | 6, 9, 10a |
| 8 | 135.4 | 7.58 (d, 8.5) | 7 | 6a, 10, 14 (w) |
| 9 | 145.1 | - | ||
| 10 | 127.3 | 8.15 (s) a | 6a, 8, 11, 14 | |
| 10a | 134.0 | - | ||
| 11 | 188.0 | - | ||
| 11a | 109.5 | - | ||
| 12 | 163.7 | - | ||
| 12-OH | - | 14.50 (s) | 11a, 12, 12a | |
| 12a | 127.6 | - | ||
| 13 | 16.6 | 2.42 (s) | 2, 3, 4 | |
| 14 | 22.0 | 2.47 (s) | 8, 9, 10 |
Disclaimer/Publisher’s Note: The statements, opinions and data contained in all publications are solely those of the individual author(s) and contributor(s) and not of MDPI and/or the editor(s). MDPI and/or the editor(s) disclaim responsibility for any injury to people or property resulting from any ideas, methods, instructions or products referred to in the content. |
© 2024 by the authors. Licensee MDPI, Basel, Switzerland. This article is an open access article distributed under the terms and conditions of the Creative Commons Attribution (CC BY) license (https://creativecommons.org/licenses/by/4.0/).
Share and Cite
Astakala, R.V.; Preet, G.; Haj Hasan, A.; Desai, R.; Asenjo, J.A.; Andrews, B.; Harrison, W.T.A.; Ebel, R.; Jaspars, M. 11-Hydroxy-7-Methoxy-2,8-Dimethyltetracene-5,12-Dione. Molbank 2024, 2024, M1822. https://doi.org/10.3390/M1822
Astakala RV, Preet G, Haj Hasan A, Desai R, Asenjo JA, Andrews B, Harrison WTA, Ebel R, Jaspars M. 11-Hydroxy-7-Methoxy-2,8-Dimethyltetracene-5,12-Dione. Molbank. 2024; 2024(2):M1822. https://doi.org/10.3390/M1822
Chicago/Turabian StyleAstakala, Rishi Vachaspathy, Gagan Preet, Ahlam Haj Hasan, Ria Desai, Juan A. Asenjo, Barbara Andrews, William T. A. Harrison, Rainer Ebel, and Marcel Jaspars. 2024. "11-Hydroxy-7-Methoxy-2,8-Dimethyltetracene-5,12-Dione" Molbank 2024, no. 2: M1822. https://doi.org/10.3390/M1822
APA StyleAstakala, R. V., Preet, G., Haj Hasan, A., Desai, R., Asenjo, J. A., Andrews, B., Harrison, W. T. A., Ebel, R., & Jaspars, M. (2024). 11-Hydroxy-7-Methoxy-2,8-Dimethyltetracene-5,12-Dione. Molbank, 2024(2), M1822. https://doi.org/10.3390/M1822

