Bis(2,2,6,6-tetramethyl-1-(λ1-oxidaneyl)piperidin-4-yl) 3,3′-((2-hydroxyethyl)azanediyl)dipropionate
Abstract
1. Introduction
2. Results and Discussion
3. Materials and Methods
3.1. General Consideration
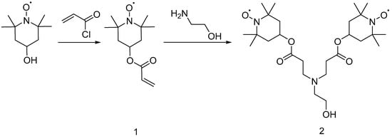
3.2. Synthesis of TEMPO-Acrylate 1
3.3. Synthesis of Bis(2,2,6,6-tetramethyl-1-(λ1-oxidaneyl)piperidin-4-yl 3,3′-((2-hydroxyethyl)azanediyl)dipropionate 2
Supplementary Materials
Author Contributions
Funding
Data Availability Statement
Acknowledgments
Conflicts of Interest
References
- Vereshchagin, A.A.; Lukyanov, D.A.; Kulikov, I.R.; Panjwani, N.A.; Alekseeva, E.A.; Behrends, J.; Levin, O.V. The Fast and the Capacious: A [Ni (Salen)]-TEMPO Redox-Conducting Polymer for Organic Batteries. Batter. Supercaps 2021, 4, 336–346. [Google Scholar] [CrossRef]
- Casado, N.; Hernandez, G.; Veloso, A.; Devaraj, S.; Mecerreyes, D.; Armand, M. PEDOT radical polymer with synergetic redox and electrical properties. ACS Macro Lett. 2016, 5, 59–64. [Google Scholar] [CrossRef]
- Karlsson, C.; Suga, T.; Nishide, H. Quantifying TEMPO redox polymer charge transport toward the organic radical battery. ACS Appl. Mater. Interfaces 2017, 9, 10692–10698. [Google Scholar] [CrossRef]
- Oyaizu, K.; Tatsuhira, H.; Nishide, H. Facile charge transport and storage by a TEMPO-populated redox mediating polymer integrated with polyaniline as electrical conducting path. Polym. J. 2015, 47, 212–219. [Google Scholar] [CrossRef]
- Feng, Y.; Suga, T.; Nishide, H.; Ohki, Y.; Chen, G.; Li, S. How to Install TEMPO in Dielectric Polymers—Their Rational Design toward Energy-Storable Materials. Macromol. Rapid Commun. 2019, 40, 1800734. [Google Scholar] [CrossRef]
- Schwartz, P.O.; Pejic, M.; Wachtler, M.; Bäuerle, P. Synthesis and characterization of electroactive PEDOT-TEMPO polymers as potential cathode materials in rechargeable batteries. Synth. Met. 2018, 243, 51–57. [Google Scholar] [CrossRef]
- Goujon, N.; Casado, N.; Patil, N.; Marcilla, R.; Mecerreyes, D. Organic batteries based on just redox polymers. Prog. Polym. Sci. 2021, 122, 101449. [Google Scholar] [CrossRef]
- Kulikov, I.; Panjwani, N.A.; Vereshchagin, A.A.; Spallek, D.; Lukianov, D.A.; Alekseeva, E.V.; Levin, O.V.; Behrends, J. Spins at work: Probing charging and discharging of organic radical batteries by electron paramagnetic resonance spectroscopy. Energy Environ. Sci. 2022, 15, 3275–3290. [Google Scholar] [CrossRef]
- Alfei, S. Cationic Materials for Gene Therapy: A Look Back to the Birth and Development of 2, 2-Bis-(hydroxymethyl) Propanoic Acid-Based Dendrimer Scaffolds. Int. J. Mol. Sci. 2023, 24, 16006. [Google Scholar] [CrossRef]
- Zakrzewski, J.; Huras, B. Reactions of nitroxides 15. Cinnamates bearing a nitroxyl moiety synthesized using a Mizoroki–Heck cross-coupling reaction. Beilstein J. Org. Chem. 2015, 11, 1155–1162. [Google Scholar] [CrossRef] [PubMed]

Disclaimer/Publisher’s Note: The statements, opinions and data contained in all publications are solely those of the individual author(s) and contributor(s) and not of MDPI and/or the editor(s). MDPI and/or the editor(s) disclaim responsibility for any injury to people or property resulting from any ideas, methods, instructions or products referred to in the content. |
© 2024 by the authors. Licensee MDPI, Basel, Switzerland. This article is an open access article distributed under the terms and conditions of the Creative Commons Attribution (CC BY) license (https://creativecommons.org/licenses/by/4.0/).
Share and Cite
Kustin, R.P.; Levin, O.V.; Filippova, S.S.; Alekseeva, E.V. Bis(2,2,6,6-tetramethyl-1-(λ1-oxidaneyl)piperidin-4-yl) 3,3′-((2-hydroxyethyl)azanediyl)dipropionate. Molbank 2024, 2024, M1788. https://doi.org/10.3390/M1788
Kustin RP, Levin OV, Filippova SS, Alekseeva EV. Bis(2,2,6,6-tetramethyl-1-(λ1-oxidaneyl)piperidin-4-yl) 3,3′-((2-hydroxyethyl)azanediyl)dipropionate. Molbank. 2024; 2024(1):M1788. https://doi.org/10.3390/M1788
Chicago/Turabian StyleKustin, Roman P., Oleg V. Levin, Sofia S. Filippova, and Elena V. Alekseeva. 2024. "Bis(2,2,6,6-tetramethyl-1-(λ1-oxidaneyl)piperidin-4-yl) 3,3′-((2-hydroxyethyl)azanediyl)dipropionate" Molbank 2024, no. 1: M1788. https://doi.org/10.3390/M1788
APA StyleKustin, R. P., Levin, O. V., Filippova, S. S., & Alekseeva, E. V. (2024). Bis(2,2,6,6-tetramethyl-1-(λ1-oxidaneyl)piperidin-4-yl) 3,3′-((2-hydroxyethyl)azanediyl)dipropionate. Molbank, 2024(1), M1788. https://doi.org/10.3390/M1788

