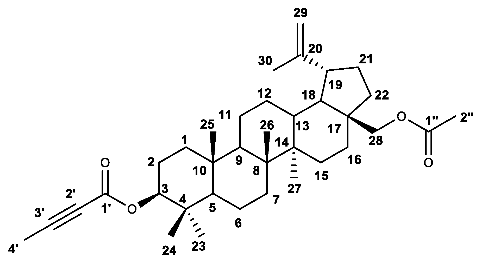
3-O-But-2-ynoyl-28-O′-acetylbetulin
Abstract
1. Introduction
2. Results and Discussion
2.1. Synthesis of 3-O-But-2-ynoyl-28-O′-acetylbetulin
2.2. Analysis of the Structure of the Compound 3
2.3. Physicochemical Characteristics and Selected ADMET Properties of Compound 2
3. Materials and Methods
3.1. Chemistry
3.2. Procedure for Obtaining 3-O-But-2-ynoyl-28-O′-acetylbetulin 2
3.3. Assessment of ADMET Properties and Drug-Likeness of the Tested Molecules
Supplementary Materials
Author Contributions
Funding
Data Availability Statement
Conflicts of Interest
References
- Drąg-Zalesinska, M.; Kulbacka, J.; Saczko, J.; Wysocka, T.; Zabel, M.; Surowiak, P.; Drąg, M. Esters of betulin and betulinic acid with amino acids have improved water solubility and are selectively cytotoxic toward cancer cells. Bioorg. Med. Chem. Lett. 2009, 15, 4814–4817. [Google Scholar] [CrossRef] [PubMed]
- Borkova, L.; Jasikova, L.; Rehulka, J.; Frisonsova, K.; Urban, M.; Frydrych, I.; Popa, I.; Hajduch, M.; Dickinson, N.J.; Dzubak, P.; et al. Synthesis of cytotoxic 2,2-difluoroderivatives of dihydrobetulinic acid and allobetulin and study of their impact on cancer cells. Eur. J. Med. Chem. 2015, 96, 482–490. [Google Scholar] [CrossRef] [PubMed]
- Pęcak, P.; Świtalska, M.; Chrobak, E.; Boryczka, G.; Bębenek, E. Betulin Acid Ester Derivatives Inhibit Cancer Cell Growth by Inducing Apoptosis through Caspase Cascade Activation: A Comprehensive In Vitro and In Silico Study. Int. J. Mol. Sci. 2023, 24, 196. [Google Scholar] [CrossRef] [PubMed]
- Bębenek, E.; Chrobak, E.; Marciniec, K.; Kadela-Tomanek, M.; Trynda, J.; Wietrzyk, J.; Boryczka, S. Biological Activity and In Silico Study of 3-Modified Derivatives of Betulin and Betulinic Aldehyde. Int. J. Mol. Sci. 2019, 20, 1372. [Google Scholar] [CrossRef] [PubMed]
- Gauthier, C.; Legault, J.; Lebrun, M.; Dufour, P.; Pichette, A. Glycosidation of lupane-type triterpenoids as potent in vitro cytotoxic agents. Bioorg. Med. Chem. 2006, 14, 6713–6725. [Google Scholar] [CrossRef] [PubMed]
- Salin, O.; Alakurtti, S.; Pohjala, L.; Siiskonen, A.; Maass, V.; Maass, M.; Yli-Kauhaluoma, J.; Vuorela, P. Inhibitory effect of the natural product betulin and its derivatives against the intracellular bacterium Chlamydia pneumoniae. Biochem. Pharmacol. 2010, 80, 1141–1151. [Google Scholar] [CrossRef] [PubMed]
- Pohjala, L.; Alakurtti, S.; Ahola, T.; Yli-Kauhaluoma, J.; Tammela, P. Betulin-derived compounds as inhibitors of alphavirus replication. J. Nat. Prod. 2009, 72, 1917–1926. [Google Scholar] [CrossRef] [PubMed]
- Pettit, G.R.; Melody, N.; Chapuis, J.-C. Antineoplastic Agents. 606. The Betulastatins. J. Nat. Prod. 2018, 81, 458–464. [Google Scholar] [CrossRef] [PubMed]
- Thibeault, D.; Gauthier, C.J.; Legault, J.; Bouchard, L.; Gagné, A. Pichette Synthesis and cytotoxicity of lupane-type triterpenoid glyceryl esters. Bioorg. Med. Chem. Lett. 2012, 22, 4735–4739. [Google Scholar] [CrossRef] [PubMed]
- Horwedel, C.; Tsogoeva, S.B.; Wei, S.; Efferth, T. Cytotoxicity of Artesunic Acid Homo- and Heterodimer Molecules toward Sensitive and Multidrug-Resistant CCRF-CEM Leukemia Cells. J. Med. Chem. 2010, 53, 4842–4848. [Google Scholar] [CrossRef] [PubMed]
- DrugBank Online. Available online: https://go.drugbank.com/structures/search/small_molecule_drugs/structure (accessed on 19 May 2023).
- Talele, T.T. Acetylene group, friend or foe in medicinal chemistry. J. Med. Chem. 2020, 63, 5625–5663. [Google Scholar] [CrossRef] [PubMed]
- Lomchid, P.; Nasomjai, P.; Kanokmedhakul, S.; Boonmak, J.; Youngme, S.; Kanokmedhakul, K. Bioactive Lupane and Hopane Triterpenes from Lepisanthes senegalensis. Planta Med. 2017, 83, 334–340. [Google Scholar] [CrossRef] [PubMed]
- Srivastava, R. Theoretical Studies on the Molecular Properties, Toxicity, and Biological Efficacy of 21 New Chemical Entities. ACS Omega 2021, 6, 24891–24901. [Google Scholar] [CrossRef] [PubMed]
- Molinspiration Cheminformatics Free Web Services, Slovensky Grob, Slovakia. Available online: https://www.molinspiration.com (accessed on 23 May 2023).
- Lipinski, C.A. Drug-like Properties and the Causes of Poor Solubility and Poor Permeability. J. Pharmacol. Toxicol. Methods 2000, 44, 235–249. [Google Scholar] [CrossRef] [PubMed]
- Pires, D.E.; Tom, L.; Blundell, T.L.; Ascher, D.B. pkCSM: Predicting small-molecule pharmacokinetic and toxicity properties using graph-based signatures. J. Med. Chem. 2015, 58, 4066–4072. [Google Scholar] [CrossRef] [PubMed]
- pkCSM—Biosig Lab. Available online: https://biosig.lab.uq.edu.au/pkcsm/prediction (accessed on 22 May 2023).
- Sorkun, M.C.; Khetan, A.; Er, S. AqSolDB, a curated reference set of aqueous solubility and 2D descriptors for a diverse set of compounds. Sci. Data 2019, 6, 143. [Google Scholar] [CrossRef] [PubMed]
- Madej, M.; Kurowska, N.; Strzalka-Mrozik, B. Polymeric Nanoparticles—Tools in a Drug Delivery System in Selected Cancer Therapies. Appl. Sci. 2022, 12, 9479. [Google Scholar] [CrossRef]



| Proton | 1H NMR δ [ppm] | Carbon | 13C NMR δ [ppm] | HSQC | HMBC |
|---|---|---|---|---|---|
| H3 | 4.57 | C3 | 82.8 | H3 (4.57)–C3 (82.8) | ---- |
| C1′ | 153.9 | H3 (4.57)–C1′ (153.9) | |||
| C1 | 38.4 | H3 (4.57)–C1 (38.4) | |||
| C23 | 27.9 | H3 (4.57)–C23 (27.9) | |||
| C2 | 23.6 | H3 (4.57)–C2 (23.6) | |||
| H4′ | 1.99 | C4′ | 2.9 | H4′ (1.99)–C4′ (2.9) | ---- |
| C2′ | 72.9 | H4′ (1.99)–C2′ (72.9) | |||
| C3′ | 84.9 | H4′ (1.99)–C3′ (84.9) | |||
| C1′ | 153.9 | H4′ (1.99)–C1′ (153.9) | |||
| H2″ | 2.09 | C2″ | 21.0 | H2″ (2.09)–C2″ (21.0) | ---- |
| C1″ | 170.6 | H2″ (2.09)–C1″ (170.6) | |||
| H28a | 3.85 | C28 | 62.8 | H28a (3.85)–C28 (62.8) | ---- |
| C16 | 28.5 | H28a (3.85)–C16 (28.5) | |||
| C17 | 46.3 | H28a (3.85)–C17 (46.3) | |||
| H28b | 4.18 | C28 | 62.8 | ---- | |
| C17 | 46.3 | H28b (3.85)–C17 (46.3) | |||
| C22 | 34.5 | H28b (3.85)–C22 (34.5) |
| Compound | Betulin | Compound 1 | Compound 2 | |
|---|---|---|---|---|
| Physicochemical parameters * | ||||
| MW (g/mol) | 442.73 | 484.53 | 550.82 | |
| logP | 7.16 | 7.87 | 8.85 | |
| TPSA (Å2) | 40.46 | 46.53 | 52.61 | |
| nHA | 2 | 3 | 4 | |
| nHD | 2 | 1 | 0 | |
| Number of violations | 1 | 1 | 2 | |
| ADMET parameters ** | ||||
| water solubility (logS) | −5.492 | −5.781 | −5.328 | |
| Caco-2 permeability (logPapp) | 1.321 | 1.238 | 1.287 | |
| human intestinal absorption (%) | 100 | 100 | 100 | |
| P-glycoprotein substrate | No | No | No | |
| P-glycoprotein inhibitor | Yes | Yes | Yes | |
| BBB permeability | −0.467 | −0.348 | −0.651 | |
| hepatotoxicity | Yes | No | No | |
| AMES toxicity | No | No | No | |
Disclaimer/Publisher’s Note: The statements, opinions and data contained in all publications are solely those of the individual author(s) and contributor(s) and not of MDPI and/or the editor(s). MDPI and/or the editor(s) disclaim responsibility for any injury to people or property resulting from any ideas, methods, instructions or products referred to in the content. |
© 2023 by the authors. Licensee MDPI, Basel, Switzerland. This article is an open access article distributed under the terms and conditions of the Creative Commons Attribution (CC BY) license (https://creativecommons.org/licenses/by/4.0/).
Share and Cite
Chrobak, E.; Bębenek, E.; Kadela-Tomanek, M. 3-O-But-2-ynoyl-28-O′-acetylbetulin. Molbank 2023, 2023, M1686. https://doi.org/10.3390/M1686
Chrobak E, Bębenek E, Kadela-Tomanek M. 3-O-But-2-ynoyl-28-O′-acetylbetulin. Molbank. 2023; 2023(3):M1686. https://doi.org/10.3390/M1686
Chicago/Turabian StyleChrobak, Elwira, Ewa Bębenek, and Monika Kadela-Tomanek. 2023. "3-O-But-2-ynoyl-28-O′-acetylbetulin" Molbank 2023, no. 3: M1686. https://doi.org/10.3390/M1686
APA StyleChrobak, E., Bębenek, E., & Kadela-Tomanek, M. (2023). 3-O-But-2-ynoyl-28-O′-acetylbetulin. Molbank, 2023(3), M1686. https://doi.org/10.3390/M1686

