New 5-Chloro-Maleonitrile-Salen Ligand and Relative Co(II) Complex
Abstract
1. Introduction
2. Results
3. Materials and Methods
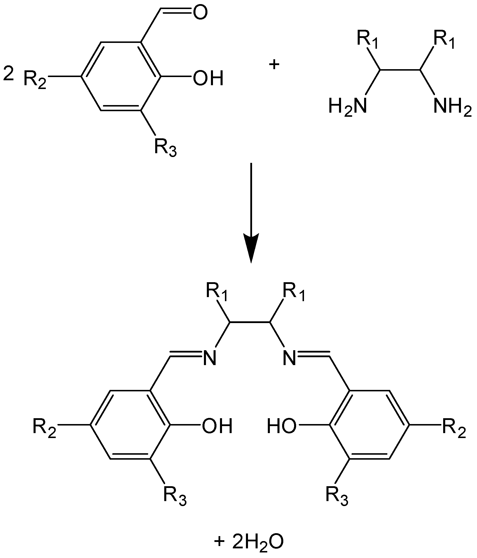
3.1. Synthesis of 1
3.2. Synthesis of 2
4. Conclusions
Supplementary Materials
Author Contributions
Funding
Data Availability Statement
Conflicts of Interest
References
- Holbach, M.; Zheng, X.; Burd, C.; Jones, W.; Weck, M. A Practical One-Pot Synthesis of Enantiopure Unsymmetrical Salen Ligands. J. Org. Chem. 2006, 71, 2903–2906. [Google Scholar] [CrossRef] [PubMed]
- Brancatelli, G.; Pappalardo, A.; Trusso Sfrazzetto, G.; Notti, A.; Geremia, S. Mono- and dinuclear uranyl(VI) complexes with chiral Schiff base ligand. Inorg. Chim. Acta 2013, 369, 25–29. [Google Scholar] [CrossRef]
- Lombardo, G.M.; Thompson, A.L.; Ballistreri, F.P.; Pappalardo, A.; Trusso Sfrazzetto, G.; Tomaselli, G.A.; Toscano, R.M.; Punzo, F. An integrated X-ray and molecular dynamics study of uranyl-salen structures and properties. Dalton Trans. 2012, 41, 1951–1960. [Google Scholar] [CrossRef] [PubMed]
- Patti, A.; Pedotti, S.; Ballistreri, F.P.; Trusso Sfrazzetto, G. Synthesis and characterization of some chiral metal-salen complexes bearing a ferrocenophane substituent. Molecules 2009, 14, 4312–4325. [Google Scholar] [CrossRef] [PubMed]
- Annis, D.A.; Jacobsen, E.N. Polymer-Supported Chiral Co(salen) Complexes: Synthetic Applications and Mechanistic Investigations in the Hydrolytic Kinetic Resolution of Terminal Epoxides. J. Am. Chem. Soc. 1999, 121, 4147–4154. [Google Scholar] [CrossRef]
- Breinauer, R.; Jacobsen, E.N. Cooperative Asymmetric Catalysis with Dendrimeric [Co(salen)] Complexes. Angew. Chem. Int. Ed. 2000, 39, 3604–3607. [Google Scholar] [CrossRef]
- D’Urso, A.; Tudisco, C.; Ballistreri, F.P.; Condorelli, G.G.; Randazzo, R.; Tomaselli, G.; Toscano, R.M.; Trusso Sfrazzetto, G.; Pappalardo, A. Enantioselective extraction mediated by a chiral cavitand-salen covalently assembled on a porous silicon surface. Chem. Commun. 2014, 50, 4993–4996. [Google Scholar] [CrossRef]
- Pappalardo, A.; Amato, M.E.; Ballistreri, F.P.; Tomaselli, G.A.; Toscano, R.M.; Trusso Sfrazzetto, G. Pair of diastereomeric uranyl salen cavitands displaying opposite enantiodiscrimination of α-amino acid ammonium salts. J. Org. Chem. 2012, 77, 7684–7687. [Google Scholar] [CrossRef]
- Amato, M.E.; Ballistreri, F.P.; D’Agata, S.; Pappalardo, A.; Tomaselli, G.A.; Toscano, R.M.; Trusso Sfrazzetto, G. Enantioselective molecular recognition of chiral organic ammonium ions and amino acids using cavitand-salen-based receptors. Eur. J. Org. Chem. 2011, 2011, 5674–5780. [Google Scholar] [CrossRef]
- Tudisco, C.; Trusso Sfrazzetto, G.; Pappalardo, A.; Motta, A.; Tomaselli, G.; Fragalà, I.L.; Ballistreri, F.P.; Condorelli, G.G. Covalent functionalization of silicon surfaces with a cavitand-modified salen. Eur. J. Org. Chem. 2011, 13, 2124–2131. [Google Scholar] [CrossRef]
- Ballistreri, F.P.; Pappalardo, A.; Tomaselli, G.; Toscano, R.M.; Trusso Sfrazzetto, G. Heteroditopic chiral uranyl-salen receptor for molecular recognition of amino acid ammonium salts. Eur. J. Org. Chem. 2010, 20, 3806–3810. [Google Scholar] [CrossRef]
- Pappalardo, A.; Ballistreri, F.P.; Toscano, R.M.; Chiacchio, M.A.; Legnani, L.; Grazioso, G.; Veltri, L.; Trusso Sfrazzetto, G. Alkene epoxidations mediated by mn-salen macrocyclic catalysts. Catalysts 2021, 11, 465. [Google Scholar] [CrossRef]
- Zammataro, A.; Gangemi, C.M.A.; Pappalardo, A.; Toscano, R.M.; Puglisi, R.; Nicotra, G.; Fragalà, M.E.; Tuccitto, N.; Trusso Sfrazzetto, G. Covalently functionalized carbon nanoparticles with a chiral Mn-Salen: A new nanocatalyst for enantioselective epoxidation of alkenes. Chem. Commun. 2019, 55, 5255–5258. [Google Scholar] [CrossRef] [PubMed]
- Ballistreri, F.P.; Toscano, R.M.; Amato, M.E.; Pappalardo, A.; Gangemi, C.M.A.; Spidalieri, S.; Puglisi, R.; Trusso Sfrazzetto, G. A new Mn-Salen micellar nanoreactor for enantioselective epoxidation of alkenes in water. Catalysts 2018, 8, 129. [Google Scholar] [CrossRef]
- Ballistreri, F.P.; Gangemi, C.M.A.; Pappalardo, A.; Tomaselli, G.A.; Toscano, R.M.; Trusso Sfrazzetto, G. (Salen)Mn(III) catalyzed asymmetric epoxidation reactions by hydrogen peroxide in water: A green protocol. Int. J. Mol. Sci. 2016, 17, 1112. [Google Scholar] [CrossRef]
- Trusso Sfrazzetto, G.; Millesi, S.; Pappalardo, A.; Toscano, R.M.; Ballistreri, F.P.; Tomaselli, G.A.; Gulino, A. Olefin epoxidation by a (salen)Mn(III) catalyst covalently grafted on glass beads. Cat. Sci. Technol. 2015, 5, 673–679. [Google Scholar] [CrossRef]
- La Paglia Fragola, V.; Lupo, F.; Pappalardo, A.; Trusso Sfrazzetto, G.; Toscano, R.M.; Ballistreri, F.P.; Tomaselli, G.A.; Gulino, A. A surface-confined O=MnV(salen) oxene catalyst and high turnover values in asymmetric epoxidation of unfunctionalized olefins. J. Mat. Chem. 2012, 22, 20561–20565. [Google Scholar] [CrossRef]
- Legnani, L.; Puglisi, R.; Pappalardo, A.; Chiacchio, M.A.; Trusso Sfrazzetto, G. Supramolecular recognition of phosphocholine by an enzyme-like cavitand receptor. Chem. Commun. 2020, 56, 539–542. [Google Scholar] [CrossRef]
- Puglisi, R.; Mineo, P.G.; Pappalardo, A.; Gulino, A.; Trusso Sfrazzetto, G. Supramolecular detection of a nerve agent simulant by fluorescent Zn-Salen oligomer receptors. Molecules 2019, 24, 2160. [Google Scholar] [CrossRef]
- Puglisi, R.; Pappalardo, A.; Gulino, A.; Trusso Sfrazzetto, G. Supramolecular recognition of a CWA simulant by metal-salen complexes: The first multi-topic approach. Chem. Commun. 2018, 54, 11156–11159. [Google Scholar] [CrossRef]
- Trusso Sfrazzetto, G.; Millesi, S.; Pappalardo, A.; Tomaselli, G.; Ballistreri, F.P.; Toscano, R.M.; Fragalà, I.; Gulino, A. Nerve Gas Simulant Sensing by a Uranyl–Salen Monolayer Covalently Anchored on Quartz Substrates. Chem. Eur. J. 2017, 23, 1576–1583. [Google Scholar] [CrossRef] [PubMed]
- Puglisi, R.; Ballistreri, F.P.; Gangemi, C.M.A.; Toscano, R.M.; Tomaselli, G.; Pappalardo, A.; Trusso Sfrazzetto, G. Chiral Zn-salen complexes: A new class of fluorescent receptors for enantiodiscrimination of chiral amines. New J. Chem. 2017, 41, 911–915. [Google Scholar] [CrossRef]
- Xia, Q.; Shi, S.; Gao, P.; Lalancette, R.; Szostak, R.; Szostak, M. [(NHC)PdCl2(Aniline)] Complexes: Easily Synthesized, Highly Active Pd(II)-NHC Precatalysts for Cross-Coupling Reactions. J. Org. Chem. 2021, 86, 15650–15657. [Google Scholar] [CrossRef] [PubMed]
- Tuccitto, N.; Amato, T.; Gangemi, C.M.A.; Trusso Sfrazzetto, G.; Puglisi, R.; Pappalardo, A.; Ballistreri, F.P.; Messina, G.M.L.; Li-Destri, G.; Marletta, G. Driving Coordination Polymer Monolayer Formation by Competitive Reactions at the Air/Water Interface. Langmuir 2018, 34, 11706−11713. [Google Scholar] [CrossRef]
- Ishihara, K.; Hirota, S.; Fujino, A.; Ishihara, K.; Shioiri, T.; Matsugi, M. Asymmetric Henry reaction using a double fluorous-tagged Co–salen complex. Tetrahedron Lett. 2022, 99, 153833. [Google Scholar] [CrossRef]






Disclaimer/Publisher’s Note: The statements, opinions and data contained in all publications are solely those of the individual author(s) and contributor(s) and not of MDPI and/or the editor(s). MDPI and/or the editor(s) disclaim responsibility for any injury to people or property resulting from any ideas, methods, instructions or products referred to in the content. |
© 2023 by the authors. Licensee MDPI, Basel, Switzerland. This article is an open access article distributed under the terms and conditions of the Creative Commons Attribution (CC BY) license (https://creativecommons.org/licenses/by/4.0/).
Share and Cite
Cavallaro, A.; Santonocito, R.; Puglisi, R.; Pappalardo, A.; Trusso Sfrazzetto, G. New 5-Chloro-Maleonitrile-Salen Ligand and Relative Co(II) Complex. Molbank 2023, 2023, M1639. https://doi.org/10.3390/M1639
Cavallaro A, Santonocito R, Puglisi R, Pappalardo A, Trusso Sfrazzetto G. New 5-Chloro-Maleonitrile-Salen Ligand and Relative Co(II) Complex. Molbank. 2023; 2023(2):M1639. https://doi.org/10.3390/M1639
Chicago/Turabian StyleCavallaro, Alessia, Rossella Santonocito, Roberta Puglisi, Andrea Pappalardo, and Giuseppe Trusso Sfrazzetto. 2023. "New 5-Chloro-Maleonitrile-Salen Ligand and Relative Co(II) Complex" Molbank 2023, no. 2: M1639. https://doi.org/10.3390/M1639
APA StyleCavallaro, A., Santonocito, R., Puglisi, R., Pappalardo, A., & Trusso Sfrazzetto, G. (2023). New 5-Chloro-Maleonitrile-Salen Ligand and Relative Co(II) Complex. Molbank, 2023(2), M1639. https://doi.org/10.3390/M1639

