N-[1-(2-Chlorophenyl)-2-{1-methyl-5-nitro-4-[(phenylsulfonyl)methyl]-1H-imidazol-2-yl}ethyl]-4-methylbenzenesulfonamide
Abstract
1. Introduction
2. Results
3. Discussion
4. Materials and Methods
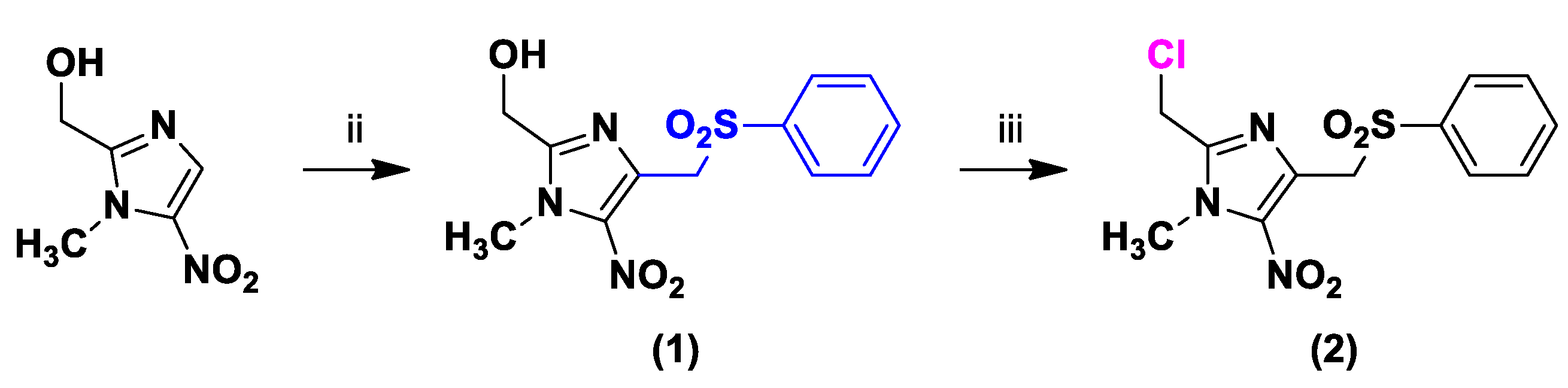
4.1. {1-Methyl-5-nitro-4-[(phenylsulfonyl)methyl]-1H-imidazol-2-yl}methanol (1)
4.2. 2-(Chloromethyl)-1-methyl-5-nitro-4-[(phenylsulfonyl)methyl]-1H-imidazole (2)
4.3. N-[1-(2-Chlorophenyl)-2-{1-methyl-5-nitro-4-[(phenylsulfonyl)methyl]-1H-imidazol-2-yl}ethyl]-4-methylbenzenesulfonamide (3)
Supplementary Materials
Author Contributions
Funding
Data Availability Statement
Acknowledgments
Conflicts of Interest
References
- Durel, P.; Couture, J.; Collart, P.; Girot, C. Flagyl (Metronidazole). Sex. Transm. Infect. 1960, 36, 154–157. [Google Scholar] [CrossRef] [PubMed]
- Cohen, J. Metronidazole to Clear Intestinal Parasites. Lancet 1996, 348, 273. [Google Scholar] [CrossRef] [PubMed]
- Brogden, R.N.; Heel, R.C.; Speight, T.M.; Avery, G.S. Metronidazole in Anaerobic Infections: A Review of Its Activity, Pharmacokinetics and Therapeutic Use. Drugs 1978, 16, 387–417. [Google Scholar] [CrossRef] [PubMed]
- Löfmark, S.; Edlund, C.; Nord, C.E. Metronidazole Is Still the Drug of Choice for Treatment of Anaerobic Infections. Clin. Infect. Dis. 2010, 50, S16–S23. [Google Scholar] [CrossRef] [PubMed]
- Pelfrene, E.; Harvey Allchurch, M.; Ntamabyaliro, N.; Nambasa, V.; Ventura, F.V.; Nagercoil, N.; Cavaleri, M. The European Medicines Agency’s Scientific Opinion on Oral Fexinidazole for Human African Trypanosomiasis. PLoS Negl. Trop. Dis. 2019, 13, e0007381. [Google Scholar] [CrossRef] [PubMed]
- Burkholder, C.; Dolbier, W.R.; Medebielle, M.; Ndedi, A. Tetrakis (Dimethylamino) Ethylene (TDAE) as a Useful Reductant of Some Chlorodifluoromethylated Ketones. A New Approach for the Synthesis of α,α-Difluoroketone Derivatives. Tetrahedron Lett. 1998, 39, 8853–8856. [Google Scholar] [CrossRef]
- Giuglio-Tonolo, G.; Terme, T.; Médebielle, M.; Vanelle, P. Original Reaction of P-Nitrobenzyl Chloride with Aldehydes Using Tetrakis (Dimethylamino) Ethylene (TDAE). Tetrahedron Lett. 2003, 44, 6433–6435. [Google Scholar] [CrossRef]
- Crozet, M.; Terme, T.; Vanelle, P. Designing New 5-Nitroimidazoles: Towards Safer Anti-Infectious Agents. Lett. Drug Des. Discov. 2013, 11, 531–559. [Google Scholar] [CrossRef]
- Primas, N.; Neildé, K.; Kabri, Y.; Crozet, M.; Terme, T.; Vanelle, P. Exploring the Synthesis and the Reactivity of 4-[4-(chloromethyl) Styryl]-1,2-Dimethyl-5-Nitro-1H-Imidazole in TDAE Strategy. Synthesis 2013, 46, 348–356. [Google Scholar] [CrossRef]
- Makosza, M.; Kwast, E. Vicarious Nucleophilic Substitution of Hydrogen in Imidazole Derivatives. Bull. Pol. Acad. Sci. Chem. 1987, 35, 287–292. [Google Scholar]
- Spitz, C.; Mathias, F.; Péchiné, S.; Doan, T.H.D.; Innocent, J.; Pellissier, S.; Di Giorgio, C.; Crozet, M.D.; Janoir, C.; Vanelle, P. 2,4-Disubstituted 5-Nitroimidazoles Potent against Clostridium Difficile. ChemMedChem 2019, 14, 561–569. [Google Scholar] [CrossRef] [PubMed]
- Crozet, M.D.; Botta, C.; Gasquet, M.; Curti, C.; Rémusat, V.; Hutter, S.; Chapelle, O.; Azas, N.; De Méo, M.; Vanelle, P. Lowering of 5-Nitroimidazole’s Mutagenicity: Towards Optimal Antiparasitic Pharmacophore. Eur. J. Med. Chem. 2009, 44, 653–659. [Google Scholar] [CrossRef] [PubMed]
- Makosza, M.; Winiarski, J. Vicarious Nucleophilic Substitution of Hydrogen. Acc. Chem. Res. 1987, 20, 282–289. [Google Scholar] [CrossRef]
- Makosza, M.; Wojciechowski, K. Nucleophilic Substitution of Hydrogen in Heterocyclic Chemistry. Chem. Rev. 2004, 104, 2631–2666. [Google Scholar] [CrossRef] [PubMed]
- Sharghi, H.; Hosseini-Sarvari, M.; Ebrahimpourmoghaddam, S. A Novel Method for the Synthesis of N-Sulfonyl Aldimines Using AlCl3 under Solvent-Free Conditions (SFC). Arkivoc 2007, 2007, 255–264. [Google Scholar] [CrossRef]




Disclaimer/Publisher’s Note: The statements, opinions and data contained in all publications are solely those of the individual author(s) and contributor(s) and not of MDPI and/or the editor(s). MDPI and/or the editor(s) disclaim responsibility for any injury to people or property resulting from any ideas, methods, instructions or products referred to in the content. |
© 2023 by the authors. Licensee MDPI, Basel, Switzerland. This article is an open access article distributed under the terms and conditions of the Creative Commons Attribution (CC BY) license (https://creativecommons.org/licenses/by/4.0/).
Share and Cite
Paoli-Lombardo, R.; Primas, N.; Castera-Ducros, C.; Jacquet, I.; Rathelot, P.; Vanelle, P. N-[1-(2-Chlorophenyl)-2-{1-methyl-5-nitro-4-[(phenylsulfonyl)methyl]-1H-imidazol-2-yl}ethyl]-4-methylbenzenesulfonamide. Molbank 2023, 2023, M1633. https://doi.org/10.3390/M1633
Paoli-Lombardo R, Primas N, Castera-Ducros C, Jacquet I, Rathelot P, Vanelle P. N-[1-(2-Chlorophenyl)-2-{1-methyl-5-nitro-4-[(phenylsulfonyl)methyl]-1H-imidazol-2-yl}ethyl]-4-methylbenzenesulfonamide. Molbank. 2023; 2023(2):M1633. https://doi.org/10.3390/M1633
Chicago/Turabian StylePaoli-Lombardo, Romain, Nicolas Primas, Caroline Castera-Ducros, Inès Jacquet, Pascal Rathelot, and Patrice Vanelle. 2023. "N-[1-(2-Chlorophenyl)-2-{1-methyl-5-nitro-4-[(phenylsulfonyl)methyl]-1H-imidazol-2-yl}ethyl]-4-methylbenzenesulfonamide" Molbank 2023, no. 2: M1633. https://doi.org/10.3390/M1633
APA StylePaoli-Lombardo, R., Primas, N., Castera-Ducros, C., Jacquet, I., Rathelot, P., & Vanelle, P. (2023). N-[1-(2-Chlorophenyl)-2-{1-methyl-5-nitro-4-[(phenylsulfonyl)methyl]-1H-imidazol-2-yl}ethyl]-4-methylbenzenesulfonamide. Molbank, 2023(2), M1633. https://doi.org/10.3390/M1633

