(1R,2R,4R)-N-((4-((4-(2-Carboxyethyl)phenoxy)methyl)thiophen-2-yl)methyl)-1,7,7-trimethylbicyclo[2.2.1]heptan-2-aminium Chloride
Abstract
1. Introduction
2. Results
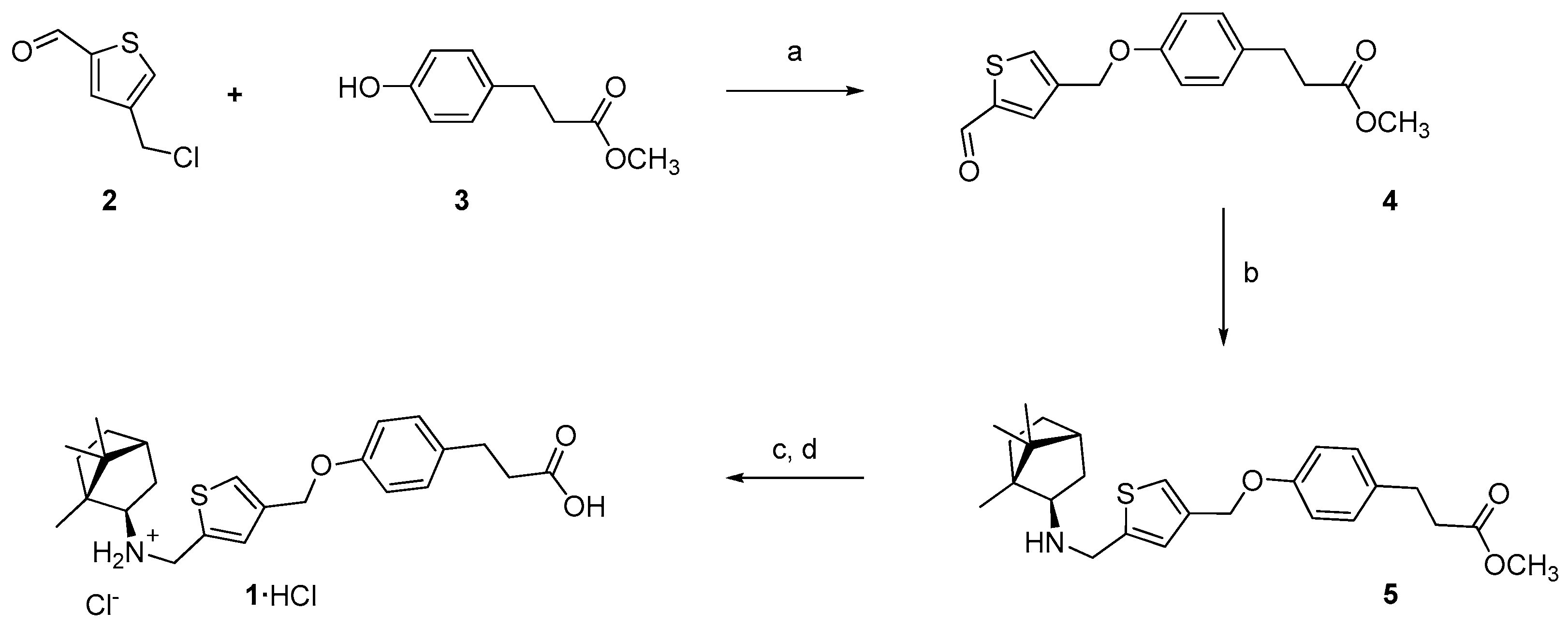
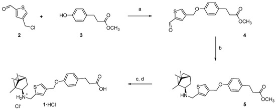
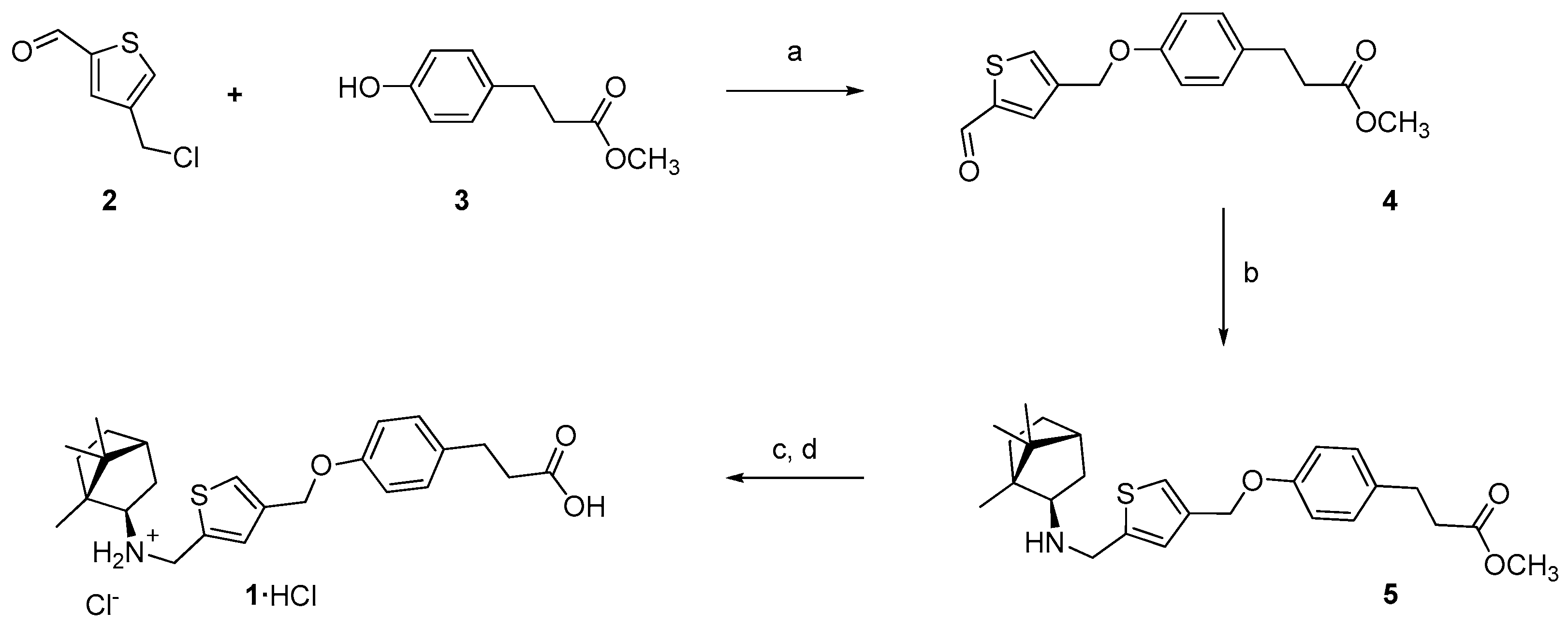
2.1. Chemistry
2.2. In Vitro FFAR1 Binding Evaluation
3. Materials and Methods
3.1. General
3.2. Synthesis
- Methyl 3-(4-((5-formylthiophen-3-yl)methoxy)phenyl)propanoate 4. A solution of chloride (0.77 g, 4.8 mmol), phenol (1.21 g, 6.7 mmol), and K2CO3 (1.99 g, 14.4 mmol) in DMF (10 mL) was stirred at room temperature for 4 days. A solution was poured into water (50 mL) and extracted with ethyl acetate (3 × 30 mL). Combined organic extracts were washed with water (30 mL) and brine (30 mL) and dried over anhydrous magnesium sulfate overnight. The drying agent was filtered off and washed with a small portion of ethyl acetate. Combined solutions were evaporated under reduced pressure, and the residue was purified over silica gel column chromatography using chloroform as an eluent to obtain 934 mg (yield 64%) of compound 4 as a slightly yellow oil. Rf 0.33 (Hexane-EtOAc, 5:4). 1H NMR (400 MHz, CDCl3): 9.91 (d, J = 1.3 Hz, 1H, CHO), 7.80 (d, J = 1.3 Hz, 1H, Th-5-H), 7.72 (s, 1H, Th-3-H), 7.16–7.11 (m, 2H, Ph-2,6-H), 6.90–6.86 (m, 2H, Ph-3,5-H), 5.05 (s, 2H, OCH2), 3.66 (s, 3H, OCH3), 2.90 (t, J = 7.7 Hz, 2H, CH2CH2COOMe), 2.60 (t, J = 7.7 Hz, 2H, CH2CH2COOMe). 13C NMR (126 MHz, CDCl3): 182.9 (CHO), 173.3 (COOMe), 156.6 (Ph-4), 144.4 (Th-2), 139.5 (Th-4), 135.7 (Th-5), 133.3 (Ph-1), 132.2 (Th-3), 129.4 (2C, Ph-2,6), 114.7 (2C, Ph-3,5), 65.0 (CH2O), 51.6 (OCH3), 35.8 (CH2CH2COOMe), 30.0 (CH2CH2COOMe). HRMS for C16H16O432S+ calcd 304.0764, found 304.0762 [M]+.
- Methyl 3-(4-((5-((((1R,2R,4R)-1,7,7-trimethylbicyclo[2.2.1]heptan-2-yl)amino)methyl)thio- phen-3-yl)methoxy)phenyl)propanoate 5. To an ice-cooled stirred solution of aldehyde 4 (280 mg, 0.92 mmol), isobornylamine (162 mg, 1.06 mmol), and acetic acid (0.1 mL) in dichloromethane (7 mL), sodium triacetoxyborohydride (390 mg, 1.84 mmol) was added portion-wise in 5 min; then, after 30 min cooling, it was removed, and the solution was stirred overnight at room temperature. Dichloromethane (20 mL) and 5% potassium carbonate (10 mL) solution were added. The organic layer was separated, and the water layer was extracted with dichloromethane (2 × 10 mL). Combined organic layers were washed with 5% potassium carbonate (10 mL) solution, water (10 mL), and brine (10 mL) and dried over magnesium sulfate. The drying agent was filtered off and washed with a small portion of dichloromethane. Combined solutions were evaporated under reduced pressure, and the residue was purified over silica gel column chromatography using chloroform–methanol 100:1 as an eluent to obtain 353 mg (yield 87%) of compound 5 as a slightly yellow solid. Rf 0.69 (CHCl3-EtOH, 9:1). M.p. 72–74 °C. 1H NMR (500 MHz, CDCl3): δ = 7.15 (s, 1H, Th-2-H), 7.12 (d, J = 8.5 Hz, 2H, Ph-2,6-H), 6.94 (s, 1 H, Th-4-H), 6.89 (d, J = 8.5 Hz, 2H, Ph-3,5-H), 4.95 (s, 2H, CH2Cl), 3.93–3.88 (m, 1H, CH2NH), 3.85–3.80 (m, 1H, CH2NH), 3.67 (s, 3H, OCH3), 2.90 (t, J = 7.8 Hz, 2H, CH2CH2COOMe), 2.64–2.58 (m, 3H CH2CH2COOMe, Bornyl-2-Hendo), 1.73–1.47 (m, 5H, Bornyl-3-Hexo, Bornyl-3-Hendo, Bornyl-4-H, Bornyl-5-Hexo, Bornyl-6-Hexo), 1.30 (br. s., 1H, CH2NH), 1.11–1.03 (m, 5H, Bornyl-5-Hendo, Bornyl-6-Hendo, CH3), 0.89 (s, 3H, CH3), 0.82 (s, 3H, CH3). 13C NMR (126 MHz, CDCl3): δ = 173.4 (COOMe), 157.1 (Ph-4), 146.9 (Th-5-C), 137.2 (Th-3-C), 132.8 (Ph-1-C), 129.2 (2C, Ph-2,6-C), 124.0 (Th-4-C), 121.9 (Th-2-C), 114.7 (2C, Ph-3,5-C), 65.8 (Bornyl-2-C), 65.8 (CH2O), 51.6 (OCH3), 48.4 (Bornyl-1-C), 47.2 (CH2NH), 46.8 (Bornyl-7-C), 45.2 (Bornyl-4-C), 38.7 (Bornyl-3-C), 36.7 (Bornyl-6-C), 35.9 (CH2CH2COOMe), 30.0 (CH2CH2COOMe), 27.3 (Bornyl-5-C), 20.6 (CH3), 20.5 (CH3), 12.1 (CH3). HRMS for C26H35O3N32S+ calcd 441.2332, found 441.2335 [M]+.
- (1R,2R,4R)-N-((4-((4-(2-Carboxyethyl)phenoxy)methyl)thiophen-2-yl)methyl)-1,7,7-trimethyl-biyclo[2.2.1]heptan-2-aminium chloride 1·HCl. Methyl ester 5 (166 mg, 0.38 mmol) was dissolved in a mixture of tetrahydrofuran (1.5 mL) and methanol (0.5 mL), and then 1 mL of water was added. To the obtained ice-cooled stirred solution, lithium hydroxide monohydrate (62 mg, 1.48 mmol) was added. After the completion of the reaction (controlled by TLC), tetrahydrofuran and methanol were evaporated under reduced pressure. Water (10 mL) was added to a remaining solution, then 2 M hydrochloric acid was added drop-wise until pH 2–3, and the obtained solution was placed in a fridge overnight. The precipitate was filtered, washed with cold water, and dried in a vacuum desiccator over phosphorus pentoxide to obtain 92 mg (yield 52%) of compound 1 as a white solid. Rf 0.11 (CHCl3-EtOH-Et3N, 5:1:0.05), as 1·Et3N salt. M.p. (with decomposition) 167–170 °C. 1H NMR (400 MHz, DMSO-d6): δ = 12.08 (br. s, 1H, COOH), 8.65–8.85 (m, 2H, CH2N+H2), 7.64 (s, 1H, Th-5-H), 7.46 (s, 1H, Th-3-H), 7.12 (d, J = 8.6, 2H, Ph-2,6-H), 6.89 (d, J = 8.6, 2H, Ph-3,5-H), 5.03 (s, 2H, CH2O), 4.28–4.40 (m, 2H, CH2N+H2), 2.99 (m, 1H, Bornyl-2-Hendo), 2.70–2.77 (t, J = 7.5, 2H, CH2CH2COOH), 2.44–2.48 (t, J = 7.5, 2H, CH2CH2COOH), 2.04–2.13 (m, 1H, Bornyl-3-Hexo), 1.43–1.75 (m, 4H, Bornyl-3-Hendo, Bornyl-4-H, Bornyl-5-Hexo, Bornyl-6-Hexo), 0.96–1.06 (m, 2H, Bornyl-5-Hendo, Bornyl-6-Hendo), 0.92 (s, 3H, CH3), 0.87 (s, 3H, CH3), 0.78 (s, 3H, CH3). 13C NMR (126 MHz, DMSO-d6): δ = 173.9 (COOH), 156.4 (Ph-4-C), 138.1 (Th-3-C), 133.2 (Th-5-C), 133.1 (Ph-1-C), 131.9 (Th-4-C), 129.2 (C2, Ph-2,6-C), 126.5 (Th-2-C), 114.6 (C2, Ph-3,5-C), 64.7 (CH2O), 63.9 (Bornyl-2-C), 48.5 (CH2N+H2), 46.9 (Bornyl-1-C), 44.8 (Bornyl-7-C), 44.2 (Bornyl-4-C), 36.2 (Bornyl-3-C), 35.6 (CH2CH2COOH), 34.6 (Bornyl-6-C), 29.5 (CH2CH2COOH), 26.2 (Bornyl-5-C), 20.3 (CH3), 19.9 (CH3), 11.6 (CH3). HRMS for C25H33O3N32S+ calcd 427.2181, found 427.2184 [M]+.
3.3. FFAR1 Assay Kit
4. Conclusions
Supplementary Materials
Author Contributions
Funding
Data Availability Statement
Acknowledgments
Conflicts of Interest
References
- Galicia-Garcia, U.; Benito-Vicente, A.; Jebari, S.; Larrea-Sebal, A.; Siddiqi, H.; Uribe, K.B.; Ostolaza, H.; Martín, C. Pathophysiology of Type 2 Diabetes Mellitus. Int. J. Mol. Sci. 2020, 21, 6275. [Google Scholar] [CrossRef] [PubMed]
- Lim, A.K. Diabetic nephropathy—Complications and treatment. Int. J. Nephrol. Renovasc. Dis. 2014, 7, 361–381. [Google Scholar] [CrossRef] [PubMed]
- Nentwich, M.M.; Ulbig, M.W. Diabetic retinopathy—Ocular complications of diabetes mellitus. World J. Diabetes 2015, 6, 489. [Google Scholar] [CrossRef] [PubMed]
- Chait, A.; Bornfeldt, K.E. Diabetes and atherosclerosis: Is there a role for hyperglycemia? J. Lipid Res. 2009, 50, 335–339. [Google Scholar] [CrossRef] [PubMed]
- Leon, B.M.; Maddox, T.M. Diabetes and cardiovascular disease: Epidemiology, biological mechanisms, treatment recommendations and future research. World J. Diabetes 2015, 6, 1246–1258. [Google Scholar] [CrossRef] [PubMed]
- Poitout, V.; Lin, D.C. Modulating GPR40: Therapeutic promise and potential in diabetes. Drug Discov. Today 2013, 18, 1301–1308. [Google Scholar] [CrossRef] [PubMed]
- Kuranov, S.O.; Luzina, O.A.; Salakhutdinov, N.F. FFA1 (GPR40) Receptor Agonists Based on Phenylpropanoic Acid as Hypoglycemic Agents: Structure–Activity Relationship. Russ. J. Bioorg. Chem. 2020, 46, 972–988. [Google Scholar] [CrossRef]
- Chen, Y.; Song, M.; Riley, J.P.; Hu, C.C.; Peng, X.; Scheuner, D.; Bokvist, K.; Maiti, P.; Kahl, S.D.; Montrose-Rafizadeh, C.; et al. A selective GPR40 (FFAR1) agonist LY2881835 provides immediate and durable glucose control in rodent models of type 2 diabetes. Pharmacol. Res. Perspect. 2016, 21, 278. [Google Scholar] [CrossRef] [PubMed]
- Kuranov, S.O.; Luzina, O.A.; Onopchenko, O.; Pishel, I.; Zozulya, S.; Gureev, M.; Salakhutdinov, N.F.; Krasavin, M. Exploring bulky natural and natural-like periphery in the design of p-(benzyloxy)phenylpropionic acid agonists of free fatty acid receptor 1 (GPR40). Bioorg. Chem. 2020, 99, 103830. [Google Scholar] [CrossRef] [PubMed]
- Kuranov, S.; Luzina, O.; Khvostov, M.; Baev, D.; Kuznetsova, D.; Zhukova, N.; Vassiliev, P.; Kochetkov, A.; Tolstikova, T.; Salakhutdinov, N. Bornyl Derivatives of p-(Benzyloxy)Phenylpropionic Acid: In Vivo Evaluation of Antidiabetic Activity. Pharmaceuticals 2020, 13, 404. [Google Scholar] [CrossRef] [PubMed]
- Pon`kina, D.; Kuranov, S.; Khvostov, M.; Zhukova, N.; Meshkova, Y.; Marenina, M.; Luzina, O.; Tolstikova, T.; Salakhutdinov, N. Hepatoprotective Effect of a New FFAR1 Agonist—N-Alkylated Isobornylamine. Molecules 2023, 28, 396. [Google Scholar] [CrossRef] [PubMed]
- Hamdouchi, C.; Kahl, S.D.; Lewis, A.P.; Cardona, G.R.; Zink, R.W.; Chen, K.; Eessalu, T.E.; Ficorilli, J.V.; Marcelo, M.C.; Otto, K.A.; et al. The Discovery, Preclinical, and Early Clinical Development of Potent and Selective GPR40 Agonists for the Treatment of Type 2 Diabetes Mellitus (LY2881835, LY2922083, and LY2922470). J. Med. Chem. 2016, 59, 10891–10916. [Google Scholar] [CrossRef] [PubMed]
- Goldfarb, Y.L.; Karmanova, I.B.; Volkenshtein, Y.B.; Belenkii, L.I. Reactions of aromatic and heteroaromatic compounds containing electron-acceptor substituents. Chem. Heterocycl. Compd. 1978, 14, 1196–1198. [Google Scholar] [CrossRef]



Disclaimer/Publisher’s Note: The statements, opinions and data contained in all publications are solely those of the individual author(s) and contributor(s) and not of MDPI and/or the editor(s). MDPI and/or the editor(s) disclaim responsibility for any injury to people or property resulting from any ideas, methods, instructions or products referred to in the content. |
© 2023 by the authors. Licensee MDPI, Basel, Switzerland. This article is an open access article distributed under the terms and conditions of the Creative Commons Attribution (CC BY) license (https://creativecommons.org/licenses/by/4.0/).
Share and Cite
Kuranov, S.O.; Marenina, M.K.; Khvostov, M.V.; Luzina, O.A.; Tolstikova, T.G.; Salakhutdinov, N.F. (1R,2R,4R)-N-((4-((4-(2-Carboxyethyl)phenoxy)methyl)thiophen-2-yl)methyl)-1,7,7-trimethylbicyclo[2.2.1]heptan-2-aminium Chloride. Molbank 2023, 2023, M1617. https://doi.org/10.3390/M1617
Kuranov SO, Marenina MK, Khvostov MV, Luzina OA, Tolstikova TG, Salakhutdinov NF. (1R,2R,4R)-N-((4-((4-(2-Carboxyethyl)phenoxy)methyl)thiophen-2-yl)methyl)-1,7,7-trimethylbicyclo[2.2.1]heptan-2-aminium Chloride. Molbank. 2023; 2023(2):M1617. https://doi.org/10.3390/M1617
Chicago/Turabian StyleKuranov, Sergey O., Mariya K. Marenina, Mikhail V. Khvostov, Olga A. Luzina, Tatiana G. Tolstikova, and Nariman F. Salakhutdinov. 2023. "(1R,2R,4R)-N-((4-((4-(2-Carboxyethyl)phenoxy)methyl)thiophen-2-yl)methyl)-1,7,7-trimethylbicyclo[2.2.1]heptan-2-aminium Chloride" Molbank 2023, no. 2: M1617. https://doi.org/10.3390/M1617
APA StyleKuranov, S. O., Marenina, M. K., Khvostov, M. V., Luzina, O. A., Tolstikova, T. G., & Salakhutdinov, N. F. (2023). (1R,2R,4R)-N-((4-((4-(2-Carboxyethyl)phenoxy)methyl)thiophen-2-yl)methyl)-1,7,7-trimethylbicyclo[2.2.1]heptan-2-aminium Chloride. Molbank, 2023(2), M1617. https://doi.org/10.3390/M1617

