Methyl 3-Bromo-5-carbamoylisothiazole-4-carboxylate
Abstract
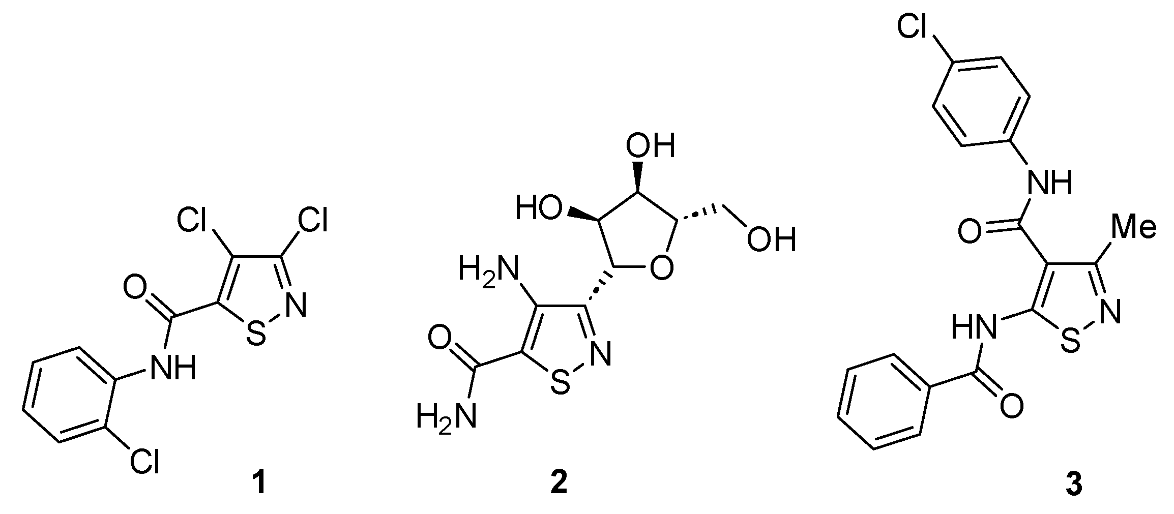
:1. Introduction
2. Results and Discussion
3. Materials and Methods
3-Bromo-5-Carbamoylisothiazole-4-Carboxylate (6)
Supplementary Materials
Author Contributions
Funding
Data Availability Statement
Acknowledgments
Conflicts of Interest
Sample Availability
References
- Clerici, F.; Gelmi, M.L.; Pellegrino, S. Comprehensive Heterocyclic Chemistry III; Chapter 4.05; Joule, J., Katritzky, A.R., Ramsden, C.A., Scriven, E.F.V., Taylor, R.J.K., Eds.; Elsevier: Oxford, UK, 2008; Volume 4, pp. 545–633. [Google Scholar]
- Wachendorff-Neumann, U.; Dahmen, P.; Dunkel, R.; Elbe, H.-L.; Suty-Heinze, A.; Rieck, H. Fungicidal active substance combinations. W.O. Patent 110,173, 4 October 2007. [Google Scholar]
- Buffel, D.K.; Meerpoel, L.; Toppet, S.M.; Hoornaert, G.J. Synthesis of Novel Isothiazole and Isothiazolo[4,5-d]pyrimidine Analogues of the Natural C-Nucleosides Pyrazofurin and the Formycins. Nucleosides Nucleotides 1994, 13, 719–736. [Google Scholar] [CrossRef]
- Regiec, A.; Machon, Z.; Miedzybrodzki, R.; Szymaniec, S. New isothiazole derivatives: Synthesis, reactivity, physicochemical properties and pharmacological activity. Arch. Pharm. 2006, 339, 401–413. [Google Scholar] [CrossRef] [PubMed]
- Kalogirou, A.S.; Christoforou, I.C.; Ioannidou, H.A.; Manos, M.; Koutentis, P.A. Ring transformation of (4-chloro-5H-1,2,3-dithiazol-5-ylidene)acetonitriles to 3-haloisothiazole-5-carbonitriles. RSC Adv. 2013, 4, 7735–7748. [Google Scholar] [CrossRef]



Disclaimer/Publisher’s Note: The statements, opinions and data contained in all publications are solely those of the individual author(s) and contributor(s) and not of MDPI and/or the editor(s). MDPI and/or the editor(s) disclaim responsibility for any injury to people or property resulting from any ideas, methods, instructions or products referred to in the content. |
© 2023 by the authors. Licensee MDPI, Basel, Switzerland. This article is an open access article distributed under the terms and conditions of the Creative Commons Attribution (CC BY) license (https://creativecommons.org/licenses/by/4.0/).
Share and Cite
Kalogirou, A.S.; Koutentis, P.A. Methyl 3-Bromo-5-carbamoylisothiazole-4-carboxylate. Molbank 2023, 2023, M1560. https://doi.org/10.3390/M1560
Kalogirou AS, Koutentis PA. Methyl 3-Bromo-5-carbamoylisothiazole-4-carboxylate. Molbank. 2023; 2023(1):M1560. https://doi.org/10.3390/M1560
Chicago/Turabian StyleKalogirou, Andreas S., and Panayiotis A. Koutentis. 2023. "Methyl 3-Bromo-5-carbamoylisothiazole-4-carboxylate" Molbank 2023, no. 1: M1560. https://doi.org/10.3390/M1560
APA StyleKalogirou, A. S., & Koutentis, P. A. (2023). Methyl 3-Bromo-5-carbamoylisothiazole-4-carboxylate. Molbank, 2023(1), M1560. https://doi.org/10.3390/M1560

