Abstract
We describe the synthesis of 2-oxo-2H-chromen-7-yl 4-chlorobenzoate 3 in 88% yield by the O-acylation reaction of 7-hydroxy-2H-chromen-2-one 1 with 4-chlorobenzoyl chloride 2 in dichloromethane using a slight excess of triethylamine at 20 °C for 1 h. The ester 3 was completely characterized by mass spectrometry, IR, UV–Vis, 1D, and 2D NMR spectroscopy.
1. Introduction
The coumarin was first isolated from tonka beans by A. Vogel in 1820 [1], while W. H. Perkin described the first chemical synthesis in 1868 by heating acetic acid with the sodium salt of salicylaldehyde [2]. The coumarin is also known as 2H-chromen-2-one (1,2-benzopyrone or 2H-1-benzopyran-2-one) according to the IUPAC nomenclature. This oxa-heterocycle is a two-ring system, consisting of a benzene ring fused with a α-pyrone nucleus. It should be noted that coumarin-based fluorescent chemosensors have been widely employed in bioorganic chemistry, molecular recognition, and materials science [3]. Over the last decades, synthetic and naturally occurring coumarins have received considerable attention from organic and medicinal chemists due to their huge diversity of biological and pharmacological activities, including anti-inflammatory [4], antibacterial [5], antifungal [6], anticoagulant [7], antioxidant [8], antiviral [9], cholinesterase (ChE), and monoamine oxidase (MAO) inhibitory properties [10]. Besides, coumarins exhibited significant anticancer activity through diverse mechanisms of action, including inhibition of carbonic anhydrase, inhibition of microtubule polymerization, inhibition of tumor angiogenesis, regulating the reactive oxygen species, among others [11,12,13,14].
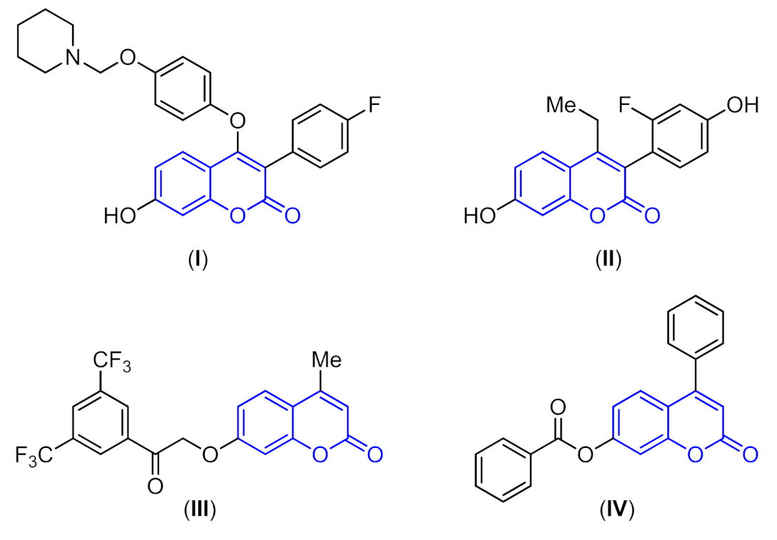
In particular, 7-hydroxycoumarin derivatives have been widely used as valuable building blocks for the preparation of novel coumarin-based anticancer agents [15,16,17]. For instance, umbelliferone analogs (I) and (II) had excellent activity against MCF-7 cells with IC50 values of 9.54 and 16.1 μM, respectively, as illustrated in Figure 1 [15]. Interestingly, the coumarin-containing ketone (III) showed potent activity against breast cancer MCF-7 cells, with an IC50 value of 0.47 μM [16]. In contrast, the coumarin-containing ester (IV) exhibited high selectivity towards tumor-associated hCA IX over the cytosolic hCA I isoform, with a value of 21.8 nM [17].
Figure 1.
Biologically active 7-hydroxycoumarin derivatives.
It should be noted that the post-functionalization of the 7-hydroxycoumarin skeleton has been scarcely studied in synthetic and medicinal chemistry [18]. Interestingly, the hydroxyl group at the 7-position of the coumarin skeleton can be exploited to perform alkylation and acylation reactions [19,20,21,22]. Herein, we describe the synthesis and complete characterization of 2-oxo-2H-chromen-7-yl 4-chlorobenzoate 3 through an O-acylation reaction of 7-hydroxy-2H-chromen-2-one 1 with 4-chlorobenzoyl chloride 2 in the presence of triethylamine under mild reaction conditions.
2. Results and Discussion
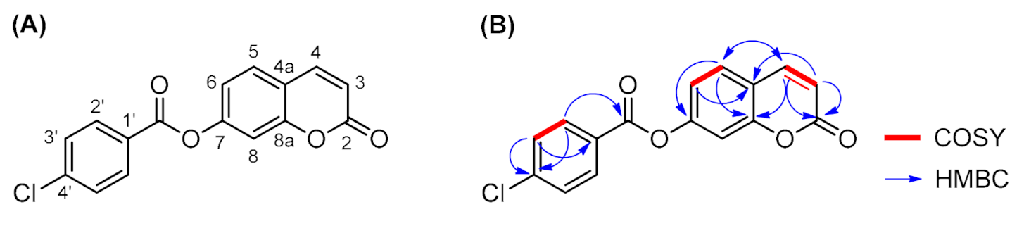
In connection with the ongoing development of efficient and simple protocols for the acylation of heterocyclic compounds of biological interest [23,24], we describe an expeditious approach to synthesize 2-oxo-2H-chromen-7-yl 4-chlorobenzoate 3 through an O-acylation reaction between equimolar amounts of 7-hydroxy-2H-chromen-2-one 1 and 4-chlorobenzoyl chloride 2 in dichloromethane, using a slight excess of triethylamine with vigorous stirring at 20 °C for 1 h under normal atmospheric conditions (Scheme 1). After the specified reaction time, the solvent was removed under vacuum using a rotary evaporator. The resulting crude product was purified by flash chromatography on silica gel using dichloromethane as an eluent to furnish ester 3 in 88% yield. This procedure is distinguished by its short reaction times, high yield, clean reaction profile, and operational simplicity. Albeit the compound 3 was synthesized nine years ago [19], the structural and electronic information obtained from spectroscopic and spectrometry data has not been explained yet. For that reason, a complete spectroscopic and analytical characterization was performed in this work (see Section 3). Initially, the structure of 3 was determined by mass spectrometry, IR, UV–Vis, and 1D NMR spectroscopy (Figures S1–S7). Later, the analysis of 2D NMR spectra, including HSQC (Figure S8), HMBC (Figures S9 and S10), COSY (Figure S11), and NOESY (Figure S12), allowed the structural assignment without ambiguity.
Scheme 1.
Time-efficient synthesis of 2-oxo-2H-chromen-7-yl 4-chlorobenzoate 3.
The absorption bands at 1728 and 1589/1620 cm−1 are assigned to the C=O and C=C stretching vibrations in the IR spectrum, respectively. The absorption bands at 1068/1092 and 1231/1261 cm−1 are attributed to the C–O–C asymmetric stretching vibrations. It should be noted that the C–Cl stretching band is normally expected around 580–750 cm−1 [25]; thus, a strong band at 744 cm−1 is assigned to the C–Cl stretching vibration. The 1H-NMR spectrum of 3 recorded in DMSO-d6 showed one doublet of doublets at 7.34 ppm and four doublets at 6.51, 7.48, 7.83, and 8.11 ppm for the coumarin ring, as well as two doublets at 7.70 and 8.15 ppm for the benzene ring (Table 1). The proton signal of the hydroxyl group attached to the coumarin ring was not observed, indicating that the O-acylation process was successful. The 13C{1H} NMR and DEPT spectra of 3 showed 14 carbon signals, consisting of seven aromatic methines, five quaternary aromatic carbons, and two carbonyl carbons (Table 1 and Figure 2A). The complete assignment of the proton and carbon signals of 3 is described in Section 3, while the correlations 1H-1H and 1H-13C observed in COSY and HMBC experiments, respectively, are illustrated in Figure 2B. In the MS spectrum, two molecular peaks are observed at m/z 300 and 302 complying with the Cl-rule, along with two peaks at m/z 141 and 139 with 32% and 100% intensity, respectively, corresponding to the (4-chlorobenzylidyne)oxonium ion (C7H4ClO+). Additionally, the accurate mass (m/z 301.0261) of the pseudo-molecular ion ([M + H]+) and the elemental formula (C16H10ClO4+) is confirmed by HRMS measurements, obtaining an error mass of 1.33 ppm.
Table 1.
1H and 13C{1H} NMR assignments, and COSY, NOESY, and HMBC correlations of 3 a.
Figure 2.
(A) Structure of 2-oxo-2H-chromen-7-yl 4-chlorobenzoate 3. (B) Connectivities of 3 based on COSY (bold red line) and HMBC (from H to C, blue arrow) data.
In summary, we described the expeditious and ambient-temperature synthesis of 2-oxo-2H-chromen-7-yl 4-chlorobenzoate 3 through an O-acylation reaction of 7-hydroxy-2H-chromen-2-one 1 with 4-chlorobenzoyl chloride 2 in dichloromethane, using a slight excess of triethylamine. This protocol is distinguished by its short reaction times, high yield, clean reaction profile, and operational simplicity.
3. Materials and Methods
3.1. General Information
The 7-hydroxy-2H-chromen-2-one 1 (CAS 93-35-6) and 4-chlorobenzoyl chloride 2 (CAS 122-01-0) were purchased from Sigma–Aldrich (Saint Louis, MO, USA). The starting materials were weighed and handled in air at ambient temperature. The silica gel aluminum plates (Merck 60 F254, Darmstadt, Germany) were used for analytical TLC. The IR absorption spectrum was recorded at room temperature employing a Shimadzu FTIR 8400 spectrophotometer (Scientific Instruments Inc., Seattle, WA, USA) equipped with an attenuated reflectance accessory. 1H and 13C{1H} NMR spectra were recorded at 25 °C on a Bruker Avance 400 spectrophotometer (Bruker BioSpin GmbH, Rheinstetten, Germany) operating at 400 MHz and 101 MHz, respectively. The concentration of the sample was approximately 15 mg/0.5 mL of DMSO-d6. Chemical shifts of 1H and 13C{1H} NMR experiments were referenced by tetramethylsilane (δ = 0.0 ppm). Chemical shifts (δ) are given in ppm and coupling constants (J) are given in Hz. The 2D HSQC, HMBC, COSY, and NOESY experiments were performed using the standard Bruker pulse sequence. NMR data were analyzed using the MestReNova 12.0.0 (2017) software (Mestrelab, Escondido, CA, USA). The mass spectrum was recorded on a SHIMADZU-GCMS 2010-DI-2010 spectrometer (Scientific Instruments Inc., Columbia, WA, USA) equipped with a direct inlet probe operating at 70 eV. The high resolution mass spectrum (HRMS) was recorded using a Q-TOF spectrometer via electrospray ionization (ESI, 4000 V). The UV–Vis spectrum was obtained from an acetone solution (5.0 × 10−4 M) in an Evolution 201 UV–Vis spectrophotometer (Thermo Fischer Scientific Inc., Madison, WI, USA).
3.2. Synthesis of 2-Oxo-2H-Chromen-7-yl 4-Chlorobenzoate 3
A mixture of 7-hydroxy-2H-chromen-2-one 1 (162 mg, 1.0 mmol), 4-chlorobenzoyl chloride 2 (128 μL, 1.0 mmol), and triethylamine (167 μL, 1.2 mmol) in dichloromethane (5.0 mL) was stirred at 20 °C for 1 h (Scheme 1). After a complete disappearance of the starting materials, as monitored by thin-layer chromatography (TLC), the solvent was removed using a rotary evaporator under vacuum. The resulting crude product was purified by flash chromatography on silica gel using dichloromethane as an eluent to afford 2-oxo-2H-chromen-7-yl 4-chlorobenzoate 3 as colorless, needle-like crystals (265 mg, 88% yield): Rf (DCM) = 0.38. M.p 228–229 °C. FTIR-ATR: ν = 3086, 1728 (ν C=O), (1620 and 1589 for ν C=C), 1497, 1396, (1261 and 1231 for va C–O–C), (1092 and 1068 for va C–O–C), 984, (880 and 837 for vs C–O–C), 744 (v C–Cl), 613, 540, 521 cm−1. UV–Vis (acetone) λmax (ε, L·mol−1·cm−1): 316 (469), 330 (3898) nm. 1H-NMR (400 MHz, DMSO-d6): δ = 6.51 (d, J = 9.6 Hz, 1H, H-3), 7.34 (dd, J = 8.4, 2.0 Hz, 1H, H-6), 7.48 (d, J = 2.0 Hz, 1H, H-8), 7.70 (d, J = 8.4 Hz, 2H, H-3′), 7.83 (d, J = 8.4 Hz, 1H, H-5), 8.11 (d, J = 9.6 Hz, 1H, H-4), 8.15 (d, J = 8.4 Hz, 2H, H-2′) ppm. 13C{1H}-NMR (101 MHz, DMSO-d6): δ = 110.4 (CH, C-8), 115.8 (CH, C-3), 117.0 (Cq, C-4a), 118.8 (CH, C-6), 127.4 (Cq, C-1′), 129.2 (2CH, C-3′), 129.5 (CH, C-5), 131.8 (2CH, C-2′), 139.3 (Cq, C-4′), 143.9 (CH, C-4), 152.9 (Cq, C-7), 154.1 (Cq, C-8a), 159.7 (Cq, C-2), 163.4 (Cq, C=O) ppm. MS (EI, 70 eV) m/z (%): 302/300 (3/8) [M+•], 141/139 (32/100), 113/111 (28/85), 105 (14), 75 (29), 51 (16). HRMS (ESI+): calcd for C16H10ClO4+, 301.0257 [M + H]+; found, 301.0261.
Supplementary Materials
The following are available online. Figure S1: HRMS spectrum for compound 3; Figure S2: EIMS spectrum of the compound 3; Figure S3: IR spectrum for compound 3; Figure S4: UV–Vis spectrum for compound 3; Figure S5: 1H-NMR spectrum for compound 3; Figure S6: 13C{1H} NMR and DEPT-135 spectra for compound 3; Figure S7: Expansion 13C{1H} NMR and DEPT-135 spectra for compound 3; Figure S8: HSQC 2D C–H correlation spectrum for compound 3; Figure S9: HMBC 2D C–H correlation spectrum for compound 3; Figure S10: Expansion HMBC 2D C–H correlation spectrum for compound 3; Figure S11: COSY 2D H–H correlation spectrum for compound 3; Figure S12: NOESY 2D H–H correlation spectrum for compound 3.
Author Contributions
Investigation, data curation, writing—original draft preparation, D.B.; writing—review and editing, resources, J.P.; conceptualization, data curation, writing—original draft preparation, J.-C.C. All authors have read and agreed to the published version of the manuscript.
Funding
The APC was sponsored by MDPI.
Institutional Review Board Statement
Not applicable.
Informed Consent Statement
Not applicable.
Data Availability Statement
The data presented in this study are available in this article.
Acknowledgments
The authors thank Universidad Pedagógica y Tecnológica de Colombia and Universidad de los Andes. D.B. and J.-C.C. acknowledge to the Dirección de Investigaciones at the Universidad Pedagógica y Tecnológica de Colombia (Project SGI-3073). J.P. thanks support from the Facultad de Ciencias at the Universidad de los Andes (Project INV-2019-84-1800).
Conflicts of Interest
The authors declare not conflict of interest.
References
- Vogel, A. Darftellung von benzoefäure aus der tonka-bohns und aus den meliloten-oder steinklee-blumen. Ann. Phys. 1820, 64, 161–166. [Google Scholar] [CrossRef] [Green Version]
- Perkin, W.H. VI.—On the artificial production of coumarin and formation of its homologues. J. Chem. Soc. 1868, 21, 53–63. [Google Scholar] [CrossRef] [Green Version]
- Cao, D.; Liu, Z.; Verwilst, P.; Koo, S.; Jangjili, P.; Kim, J.S.; Lin, W. Coumarin-based small-molecule fluorescent chemosensors. Chem. Rev. 2019, 119, 10403–10519. [Google Scholar] [CrossRef] [PubMed]
- Grover, J.; Jachak, S.M. Coumarins as privileged scaffold for anti-inflammatory drug development. RSC Adv. 2015, 5, 38892–38905. [Google Scholar] [CrossRef]
- Insuasty, D.; Castillo, J.; Becerra, D.; Rojas, H.; Abonia, R. Synthesis of biologically active molecules through multicomponent reactions. Molecules 2020, 25, 505. [Google Scholar] [CrossRef] [Green Version]
- Zhang, S.; Tan, X.; Liang, C.; Zhang, W. Design, synthesis, and antifungal evaluation of novel coumarin-pyrrole hybrids. J. Heterocycl. Chem. 2021, 58, 450–458. [Google Scholar] [CrossRef]
- Venugopala, K.N.; Rashmi, V.; Odhav, B. Review on natural coumarin lead compounds for their pharmacological activity. Biomed. Res. Int. 2013, 2013, 963248. [Google Scholar] [CrossRef] [Green Version]
- Katsori, A.-M.; Hadjipavlou-Litina, D. Coumarin derivatives: An updated patent review (2012–2014). Expert Opin. Ther. Patents 2014, 24, 1323–1347. [Google Scholar] [CrossRef]
- Hassan, M.Z.; Osman, H.; Ali, M.A.; Ahsan, M.J. Therapeutic potential of coumarins as antiviral agents. Eur. J. Med. Chem. 2016, 123, 236–255. [Google Scholar] [CrossRef]
- Stefanachi, A.; Leonetti, F.; Pisani, L.; Catto, M.; Carotti, A. Coumarin: A natural, privileged and versatile scaffold for bioactive compounds. Molecules 2018, 23, 250. [Google Scholar] [CrossRef] [Green Version]
- Musa, A.M.; Cooperwood, J.S.; Khan, M.O.F. A review of coumarin derivatives in pharmacotherapy of breast cancer. Curr. Med. Chem. 2008, 15, 2664–2679. [Google Scholar] [CrossRef] [Green Version]
- Thakur, A.; Singla, R.; Jaitak, V. Coumarins as anticancer agents: A review on synthetic strategies, mechanism of action and SAR studies. Eur. J. Med. Chem. 2015, 101, 476–495. [Google Scholar] [CrossRef]
- Zhang, L.; Xu, Z. Coumarin-containing hybrids and their anticancer activities. Eur. J. Med. Chem. 2019, 181, 111587. [Google Scholar] [CrossRef]
- Wu, Y.; Xu, J.; Liu, Y.; Zeng, Y.; Wu, G. A review on anti-tumor mechanisms of coumarins. Front. Oncol. 2020, 10, 592853. [Google Scholar] [CrossRef]
- Al-Warhi, T.; Sabt, A.; Elkaeed, E.B.; Eldehna, W.M. Recent advancements of coumarin-based anticancer agents: An up-to-date review. Bioorg. Chem. 2020, 103, 104163. [Google Scholar] [CrossRef]
- Kandil, S.; Westwell, A.D.; McGuigan, C. 7-Substituted umbelliferone derivatives as androgen receptor antagonists for the potential treatment of prostate and breast cancer. Bioorg. Med. Chem. Lett. 2016, 26, 2000–2004. [Google Scholar] [CrossRef] [PubMed] [Green Version]
- Meleddu, R.; Deplano, S.; Maccioni, E.; Ortuso, F.; Cottiglia, F.; Secci, D.; Onali, A.; Sanna, E.; Angeli, A.; Angius, R.; et al. Selective inhibition of carbonic anhydrase IX and XII by coumarin and psoralen derivatives. J. Enzyme Inhib. Med. Chem. 2021, 36, 685–692. [Google Scholar] [CrossRef] [PubMed]
- Medina, F.G.; Gonzalez-Marrero, J.; Macías-Alonso, M.; González, M.C.; Córdova-Guerrero, I.; García, A.G.T.; Osegueda-Robles, S. Coumarin heterocyclic derivatives: Chemical synthesis and biological activity. Nat. Prod. Rep. 2015, 32, 1472–1507. [Google Scholar] [CrossRef]
- Cui, J.; Li, M.-L.; Yuan, M.-S. Antifeedant activities of tutin and 7-hydroxycoumarin acylation derivatives against Mythimna separate. J. Pestic. Sci. 2012, 37, 95–98. [Google Scholar] [CrossRef] [Green Version]
- Ji, W.; Li, L.; Eniola-Adefeso, O.; Wang, Y.; Liu, C.; Feng, C. Non-invasively visualizing cell–matrix interactions in two-photon excited supramolecular hydrogels. J. Mater. Chem. B 2017, 5, 7790–7795. [Google Scholar] [CrossRef]
- Orhan, I.E.; Deniz, S.S.; Salmas, R.E.; Durdagi, S.; Epifano, F.; Genovese, S.; Fiorito, S. Combined molecular modeling and cholinesterase inhibition studies on some natural and semisynthetic O-alkylcoumarin derivatives. Bioorg. Chem. 2019, 84, 355–362. [Google Scholar] [CrossRef] [PubMed]
- Castillo, J.-C.; Bravo, N.-F.; Tamayo, L.-V.; Mestizo, P.-D.; Hurtado, J.; Macías, M.; Portilla, J. Water-compatible synthesis of 1,2,3-triazoles under ultrasonic conditions by a Cu(I) complex-mediated click reaction. ACS Omega 2020, 5, 30148–30159. [Google Scholar] [CrossRef] [PubMed]
- Moreno-Fuquen, R.; Arango-Daraviña, K.; Becerra, D.; Castillo, J.-C.; Kennedy, A.R.; Macías, M.A. Catalyst- and solvent-free synthesis of 2-fluoro-N-(3-methyl sulfanyl-1H-1,2,4-triazol-5-yl)benzamide through a microwave-assisted Fries rearrangement: X-ray structural and theoretical studies. Acta Crystallogr. Sect. C Struct. Chem. 2019, 75, 359–371. [Google Scholar] [CrossRef] [Green Version]
- Moreno-Fuquen, R.; Hincapié-Otero, M.M.; Becerra, D.; Castillo, J.-C.; Portilla, J.; Macías, M.A. Synthesis of 1-aroyl-3-methylsulfanyl-5-amino-1,2,4-triazoles and their analysis by spectroscopy, X-ray crystallography and theoretical calculations. J. Mol. Struct. 2021, 1226, 129317. [Google Scholar] [CrossRef]
- Shakila, G.; Periandy, S.; Ramalingam, S. Molecular structure and vibrational analysis of 1-bromo-2-chlorobenzene using ab initio HF and density functional theory (B3LYP) calculations. J. At. Mol. Opt. Phys. 2011, 2011, 512841. [Google Scholar] [CrossRef] [Green Version]
Publisher’s Note: MDPI stays neutral with regard to jurisdictional claims in published maps and institutional affiliations. |
© 2021 by the authors. Licensee MDPI, Basel, Switzerland. This article is an open access article distributed under the terms and conditions of the Creative Commons Attribution (CC BY) license (https://creativecommons.org/licenses/by/4.0/).


