Abstract
2-Hydroxy-N′-(4-fluorobenzoyl)benzohydrazide was synthesized in two steps using methyl salicylate as the starting material. The reaction took place via microwave-aided hydrazinolysis, followed by acylation using 4-fluorobenzoyl chloride at low temperature to yield the target compound.
1. Introduction
Salicylate-containing folk medicine has been used to treat pain and reduce fever since two millennia ago [1]. However, it was not until the identification and characterization of its chemical constituent in the 19th century that this class of compounds transformed into modern therapeutic use for various medical indications and for cosmetic usage on a global scale [2,3]. In order to improve its biological activity, several attempts to modify the structure has been done with varying degrees of success [4]. Some of derivatives even reveals another possible biological mode of action, such as salicylhydrazide which is known to possess inhibitory activity of HIV-integrase 1 [5,6,7]. Based on this notion, synthesis of 4-fluorobenzoyl derivative of salicylhydrazide with methyl salicylate as starting material was performed in this study. This ester is contained abundantly in Gaultheria sp. which can be found in several regions of Indonesia [8,9]. The reaction was performed according to previous research [10] and the target compound (2-hydroxy-N′-(4-fluorobenzoyl)benzohydrazide) was characterized using a combination of IR, NMR, and MS methods to establish its chemical structure.
2. Results and Discussion
Target compound 2-hydroxy-N′-(4-fluorobenzoyl)benzohydrazide (3) was synthesized in two-steps reaction (Scheme 1). Initially methyl salicylate was hydrazinolysed with the aid of microwave irradiation for three minutes. Hydrazinolysis of esters has been long used as a mean to produce hydrazide [11], although this reaction has a drawback in time efficiency, especially for unreactive esters [12,13]. However, recent developments showed that microwave-assisted synthesis has reduced the reaction time significantly while slightly improving product yield for not only esters [10,14,15], but also carboxylic acid containing starting materials [16,17]. After simple work-up procedure and recrystallization using ethanol, salicylhydrazide (2) was obtained with decent yield of 61.1%. This result provided further evidence of efficiency in the synthesis of benzohydrazide using microwave irradiation compared to the more conventional method. For example, it took approximately 6 hours of heating under reflux to complete the synthesis of various benzohydrazide from their respective methyl or ethyl ester of benzoic acid, with the overall yield ranging from 40 to 67% [12]. Another method which employed the addition of coupling agent under milder temperature showed an improvement in the reaction rate by three times for methyl benzoate, giving yield of 74% [13]. However, microwave-aided synthesis has significantly speeded up the reaction to the extent where it is completed in less than 20 min. This was proven by previous researches [10,14,15] and this study, all of which used methyl salicylate as starting material. Furthermore it can be observed that the increase in microwave power employed in reaction correlates with the increase in reaction rate.
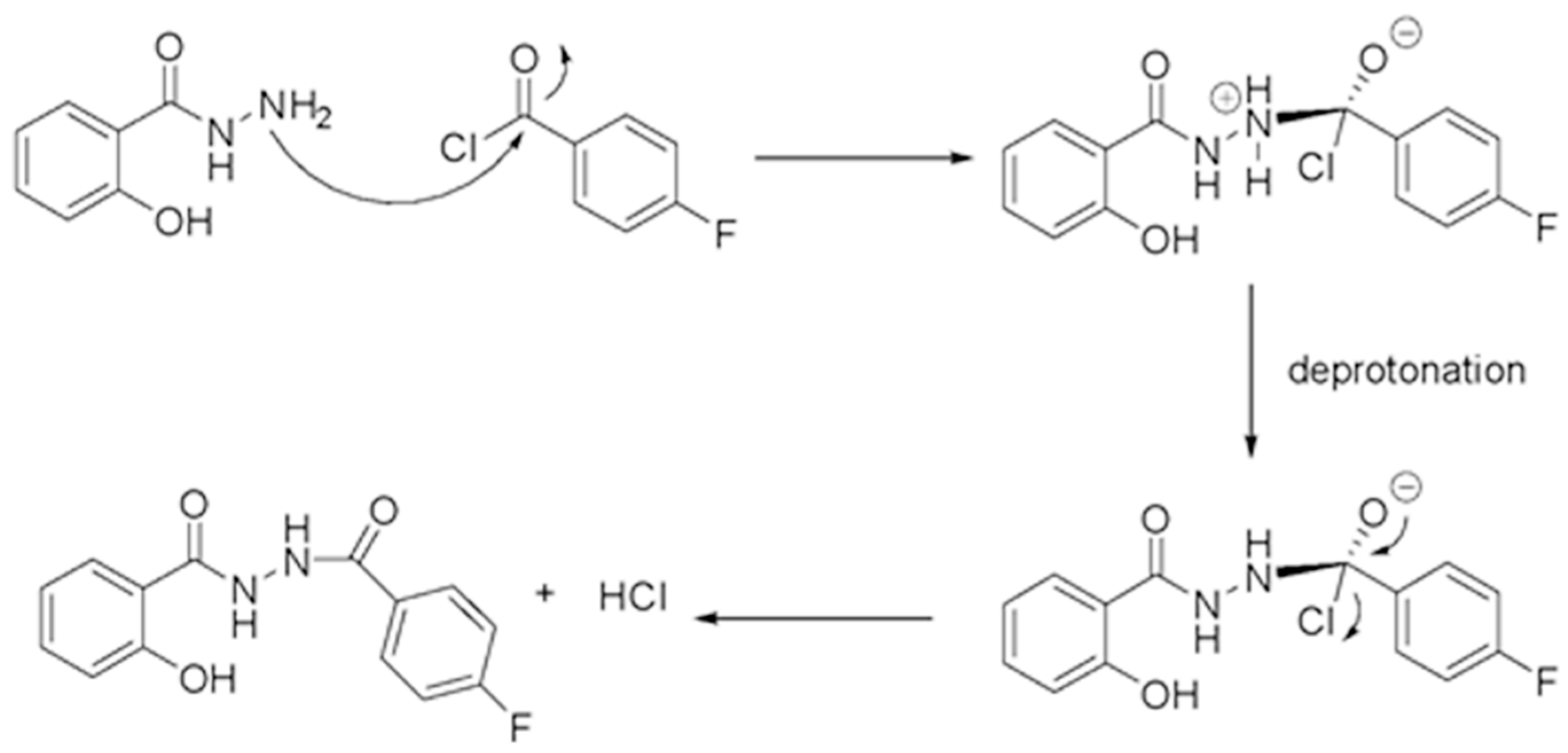
Scheme 1.
Synthesis of 2-hydroxy-N′-(4-fluorobenzoyl)benzohydrazide.
The following step was acylation of 2 with 4-fluorobenzoyl chloride. This reaction generally yields 1,2-diacylhydrazine spontaneously under various organic solvents [18,19]. However, care must be taken with acyl chloride group since it tends to produce disubstituted hydrazine as major product. Therefore, low temperature was implemented (0–5 °C) to suppress the reactivity of the functional group, ensuring 1,2-diacylhydrazine as the sole product [11]. Both reactions took place via nucleophilic substitution (Scheme 2 and Scheme 3). After 30 min, similar work-up procedure was performed to obtain 3 with a yield of 50%. Overall, the yield obtained from this two-steps reaction was 30.55%. The structure of 3 was verified by IR, NMR, and MS data.
Scheme 2.
Reaction mechanism of synthesis of salicylhydrazide (2).
Scheme 3.
Reaction mechanism of synthesis of 2-hydroxy-N′-(4-fluorobenzoyl)benzohydrazide (3).
Infrared spectrum showed strong absorption peak of two amide carbonyls at around 1635 and 1660 cm−1, and the -NH peak at 3317 cm−1 (Supplementary Figure S1). This finding corresponds the characteristic band of dibenzoylhydrazine compound [20], despite the presence of only one single absorption peak of -NH due to overlapping with -OH broad peak at the same region (3300–3400 cm−1) [21]. 13C-NMR indicated the presence of two carbonyls at 166 and 168 ppm (Supplementary Figure S2). In addition, it is also observed the doublet splitting patterns of all carbon peaks of p-fluorobenzoyl moiety. This is due to the carbon-fluorine coupling of the carbon ipso to the fluorine atom up to the para position. Calculation of their coupling constant give the value of 252.5, 20.2, 10.1, and 3.0 Hz for JC1-F, JC2-F, JC3-F, and JC4-F respectively (Supplementary Figures S2, S12, and S13). These are approximately comparable to the data published for compounds bearing p-fluorocarbonyl moiety such as p-fluorobenzaldehyde [22] and p-fluoroacetophenone [23]. Meanwhile, 1H-NMR spectrum results showed the existence of two peaks of -NH indicating the formation of hydrazide group. It is found that these peaks were observed clearly (10.66 and 10.69 ppm) under temperature slightly above the freezing point of the solvent (DMSO-d6), which in this case was 22 °C. On the other hand, proton spectrum analysis under room temperature only showed a broad singlet peak due to rapid exchange phenomenon (Supplementary Figures S3 and S4). The amine and hydroxy proton assignment was concluded with the aid of Double Pulsed Field Gradient Spin Echo-NOE (DPFGSE-NOE) analysis. It is shown that proton peak at 10.66 ppm belongs to the -NH group vicinal to salicylate carbonyl group, while the other -NH proton has the chemical shift of 10.69 ppm (Supplementary Figure S5–S7). Furthermore, various 2D-NMR methods (1H-1H COSY, 1H-13C HMQC, and HMBC) were carried out in order to verify the hydrogen and carbon peak assignment, thus determining the chemical structure of target molecule (Table 1 and Supplementary Figures S8–S10). Ultimately, mass spectrum data indicated the presence of the target compound which possesses m/z value of 275.0848 ([M − H]+) (Supplementary Figure S11).
Table 1.
Cross-peaks in COSY, DPFGSE-NOE, HMBC, and HMQC of compound (3).
In summary, it is found that 2-hydroxy-N′-(4-fluorobenzoyl)benzohydrazide can be synthesized using two steps reaction in a time efficient manner.
3. Materials and Methods
3.1. Instruments
All reagents and solvents were purchased from Sigma Aldrich and Merck (Singapore), aside from methyl salicylate which was obtained from local chemical supplier with the purity level of technical grade. Infrared spectra were measured using JASCO FT/IR-4200, provided by Research Laboratory, Faculty of Pharmacy, University of Surabaya. NMR spectra measurements were conducted using JEOL ECS-400 spectrophotometer (400 MHz for proton, 101 MHz for carbon) in Institute of Tropical Disease, Airlangga University. NMR data are reported as follows (chemical shift (δ, in ppm), multiplicity, coupling constant (J, in Hz), integration). 1H-NMR and DPFGSE-NOE spectra were recorded in the controlled temperature of 22 °C, while the others were analyzed under room temperature. HRMS-TOF spectra were recorded in Padjadjaran University. Commercial microwave (LG MH6548FR) was employed for hydrazinolysis step. Thin Layer Chromatography was used to monitor the completion of reaction (Type 60 F254, Merck). Detection of the spots was carried out using three different eluent combinations (Acetone-Ethyl Acetate 2:1; Acetone-Chloroform 2:1; Chloroform-Ethyl Acetate 1:1) and visualized under 254 nm UV lamp. Melting point determination was performed using Sybron-Thermolyne-MP12615. Synthesis procedure was performed in the Laboratory of Organic Chemistry, Faculty of Pharmacy, University of Surabaya.
3.2. Synthesis
The synthesis was performed according to previously published work [10]. 20 mmol of methyl salicylate (2.6 mL) (1) was mixed with 80 mmol of hydrazine hydrate 80% (3.2 mL) and irradiated in microwave (360 W). Reaction completion was monitored using TLC. After 3 min the reaction was deemed complete. The mixture was then washed with distilled water and the separated solid was collected by filtration. Recrystallization with ethanol 96% was performed to obtain salicylhydrazide (2) with the yield of 61.1%. The following step was acylation of salicylhydrazide (1.3 g) (2) with equimolar amount of 4-fluorobenzoyl chloride (1.0 mL) (8.5 mmol), pre-mixed in THF. The reaction was conditioned at low temperature (0–5 °C) in an ice bath. Reaction was monitored using TLC until completion after 30 min. The mixture was then washed with cold ethanol and filtered in vacuo, followed by recrystallization with ethanol 96% to obtain the target compound 2-hydroxy-N′-(4-fluorobenzoyl)benzohydrazide (3).
2-Hydroxy-N′-(4-fluorobenzoyl)benzohydrazide (3). 1.16 g (Overall yield: 30.55%; three replications); white crystalline; m.p.: 229–230 °C; IR: (KBr pellet) 3441 (OH), 3317 (NH), 1660, (C=O, amide), 1635 (C=O, amide) cm−1; 1H-NMR: (400 MHz, DMSO-d6) δ 11.81 (s, 1H), 10.67 (s, 1H), 8.00–7.93 (m, 2H), 7.89 (dd, J = 7.9, 1.7 Hz, 1H), 7.43 (ddd, J = 8.3, 7.2, 1.7 Hz, 1H), 7.38–7.31 (m, 2H), 6.97–6.89 (m, 2H); 13C-NMR: (101 MHz, DMSO-d6) δ 168.2, 165.0, 164.8 (d, J = 252.5 Hz, 1C), 159.8, 134.7, 130.8 (d, J = 10.1 Hz, 1C), 129.3 (d, J = 3.0 Hz, 1C), 128.9, 119.6, 117.9, 116.1 (d, J = 20.2 Hz, 1C), 115.2; 1H-1H COSY, HMQC, and HMBC as presented in Table 1; MS-TOF (ESI): m/z calcd. [M − H]+: 275.0832, found: 275.0848; Spectroscopic data are provided in Supplementary Materials.
Supplementary Materials
The following are available online, Figure S1: FT-IR spectrum Figure S2: 13C-NMR spectrum, Figure S3: 1H-NMR spectrum (400 MHz, 22 °C, DMSO-d6), Figure S4: 1H-NMR spectrum (400 MHz, 25 °C, DMSO-d6), Figures S5–S7: DPFGSE-NOE spectrum, Figure S8: COSY spectrum, Figure S9: HMQC spectrum, Figure S10: HMBC spectrum, Figure S11: MS spectrum, Figures S12 and S13: 13C-NMR spectrum of p-fluorobenzoyl moiety
Author Contributions
The research was designed by H.S., D.K., and G.S.P. Funding was acquired by H.S. and T.A.Y. Synthesis was carried out by H.S. Spectroscopic data recording and analysis was performed by T.A.Y., D.K., and G.S.P. The manuscript was written by T.A.Y. and G.S.P. All authors have read and agreed to the published version of the manuscript.
Funding
This research was funded by Lembaga Penelitian dan Pengabdian Masyarakat University of Surabaya.
Acknowledgments
The authors would like to thank Institute of Tropical Disease (Airlangga University) and Padjadjaran University for the help in NMR and MS data acquisition.
Conflicts of Interest
The authors declare no conflict of interest.
References
- Lévesque, H.; Lafont, O. L’aspirine à travers les siècles: Rappels historiques. Rev. Médecine Interne 2000, 21, 8–17. [Google Scholar]
- Wu, K.K. Salicylates and their spectrum of activity. Anti-Inflamm. Anti-Allergy Agents Med. Chem. 2007, 6, 278–292. [Google Scholar] [CrossRef]
- Cosmetic Ingredient Review Expert Panel. Safety assessment of salicylic acid, butyloctyl salicylate, calcium salicylate, C12-15 alkyl salicylate, capryloyl salicylic acid, hexyldodecyl salicylate, isocetyl salicylate, isodecyl salicylate, magnesium salicylate, MEA-salicylate, ethylhexyl salicylate, potassium salicylate, methyl salicylate, myristyl salicylate, sodium salicylate, TEA- salicylate, and tridecyl salicylate. Int. J. Toxicol. 2003, 22, 1–108. [Google Scholar]
- Ekinci, D.; Şentürk, M.; Küfevrioğlu, Ö.İ. Salicylic acid derivatives: Synthesis, features, and usage as therapeutic tools. Expert Opin. Ther. Pat. 2011, 21, 1831–1841. [Google Scholar] [CrossRef] [PubMed]
- Neamati, N.; Hong, H.; Owen, J.M.; Sunder, S.; Winslow, H.E.; Christensen, J.L.; Zhao, H.; Burke, T.R.; Milne, G.W.A.; Pommier, Y. Salicylhydrazine-containing inhibitors of HIV-1 integrase: Implication for a selective chelation in the integrase active site. J. Med. Chem. 1998, 41, 3202–3209. [Google Scholar] [CrossRef]
- Neamati, N.; Lin, Z.; Karki, R.G.; Orr, A.; Cowansage, K.; Strumberg, D.; Pais, G.C.G.; Voigt, J.H.; Nicklaus, M.C.; Winslow, H.E.; et al. Metal-dependent inhibition of HIV-1 integrase. J. Med. Chem. 2002, 45, 5661–5670. [Google Scholar] [CrossRef]
- Al-Mawsawi, L.Q.; Dayam, R.; Taheri, L.; Witvrouw, M.; Debyser, Z.; Neamati, N. Discovery of novel non-cytotoxic salicylhydrazide containing HIV-1 integrase inhibitors. Bioorg. Med. Chem. Lett. 2007, 17, 6472–6475. [Google Scholar] [CrossRef]
- Liu, W.R.; Qiao, W.L.; Liu, Z.Z.; Wang, X.H.; Jiang, R.; Li, S.Y.; Shi, R.B.; She, G.M. Gaultheria: Phytochemical and pharmacological characteristics. Molecules 2013, 18, 12071–12108. [Google Scholar] [CrossRef]
- Sadili, A.; Kartawinata, K.; Kartonegoro, A.; Soedjito, H.; Sumadijaya, A. Floristic composition and structure of subalpine summit habitat of Mt. Gede-Pangrango Complex, Cibodas Biosphere Reserve, West Java, Indonesia. Reinwardtia 2009, 12, 393–404. [Google Scholar]
- Santosa, H.; Putra, G.S.; Yuniarta, T.A.; Budiati, T. Synthesis and molecular docking studies of N’-benzoylsalicylhydrazide derivatives as antituberculosis through InhA enzyme inhibition. Indones. J. Pharm. 2018, 29, 198–205. [Google Scholar] [CrossRef]
- Smith, P.A.S. Organic Reactions; Adams, R., Ed.; Wiley: New York, NY, USA, 1946; Chapter 9; Volume 3, pp. 366–369. [Google Scholar]
- Yale, H.L.; Losee, K.; Martins, J.; Holsing, M.; Perry, F.M.; Bernstein, J. Chemotherapy of experimental tuberculosis. VIII. The synthesis of acid hydrazides, their derivatives and related compounds. J. Am. Chem. Soc. 1933, 75, 1933–1942. [Google Scholar] [CrossRef]
- Smith, R.F.; Bates, A.C.; Battisti, A.J.; Byrnes, P.G.; Mroz, C.T.; Smearing, T.J.; Albrecht, F.X. Reactions of hydrazines with esters and carboxylic acids. J. Org. Chem. 1968, 33, 851–855. [Google Scholar] [CrossRef]
- Peng, Y.; Song, G. Simultaneous microwave and ultrasound irradiation: A rapid synthesis of hydrazides. Green Chem. 2001, 3, 302–304. [Google Scholar] [CrossRef]
- Jain, A.K.; Gupta, P.K.; Ganesan, K.; Pande, A.; Malhotra, R.C. Rapid solvent-free synthesis of aromatic hydrazides under microwave irradiation. Def. Sci. J. 2007, 57, 267–270. [Google Scholar] [CrossRef][Green Version]
- Peng, Y.; Song, G. An efficient microwave-assisted one-pot conversion of carboxylic acids into hydrazides. J. Chem. Res. 2003, 12, 768–769. [Google Scholar] [CrossRef]
- Saha, A.; Kumar, R.; Kumar, R.; Devakumar, C. Development and assessment of green synthesis of hydrazides. Indian J. Chem. 2010, 49B, 526–531. [Google Scholar]
- Paulsen, H.; Stoye, D. The Chemistry of Amides; Zabicky, J., Ed.; Interscience: New York, NY, USA, 1970; Chapter 10; pp. 555–557. [Google Scholar]
- Khattab, S.N. Synthesis biological activity of novel amino acid-(N’-benzoyl) hydrazide and amino acid-(N’-nicotinyl) hydrazide derivatives. Molecules 2005, 10, 1218–1228. [Google Scholar] [CrossRef]
- Mashima, M. Infrared absorption spectra of hydrazides. I. Hydrazides of aromatic acids. Bull. Chem. Soc. Jpn. 1962, 35, 332–337. [Google Scholar] [CrossRef]
- El-Baradie, H.Y.F.; Khattab, M.A.; Issa, R.M.; Maghrabi, J.Y. Substituent effects on the spectral behaviour and acid-base properties of arylidene derivatives of salicylic hydrazide. J. Chem. Technol. Biotechnol. 1983, 33A, 123–129. [Google Scholar]
- Weigert, F.J.; Roberts, J.D. 13C nuclear magnetic resonance spectroscopy. Determination of carbon-fluorine couplings. J. Am. Chem. Soc. 1971, 93, 2361–2369. [Google Scholar]
- Muller, N.; Carr, T.D. Carbon-13 splittings in fluorine nuclear magnetic resonance spectra. J. Phys. Chem. 1963, 67, 112–115. [Google Scholar] [CrossRef]
© 2019 by the authors. Licensee MDPI, Basel, Switzerland. This article is an open access article distributed under the terms and conditions of the Creative Commons Attribution (CC BY) license (http://creativecommons.org/licenses/by/4.0/).



