[Dicyclohexyl(sulfanylidene)-λ5-phosphanyl]methanol
Abstract
1. Introduction
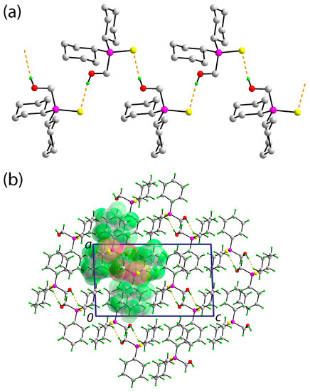
2. Results and Discussion
3. Materials and Methods
3.1. General Information
3.2. Synthesis Cy2P(S)CH2OH (1)
3.3. Crystallography
Supplementary Materials
Author Contributions
Funding
Acknowledgments
Conflicts of Interest
References
- James, B.R.; Lorenzini, F. Developments in the chemistry of tris(hydroxymethyl)phosphine. Coord. Chem. Rev. 2010, 254, 420–430. [Google Scholar] [CrossRef]
- Henderson, W.; Alley, S.R. Ferrocenyl hydroxymethylphosphines (η5-C5H5)Fe[η5-C5H4P(CH2OH)2] and 1,1′-[Fe{η5-C5H4P(CH2OH)2}2] and their chalcogenide derivatives. J. Organomet. Chem. 2002, 658, 181–190. [Google Scholar] [CrossRef]
- Goodwin, N.J.; Henderson, W.; Nicholson, B.K.; Sarfo, J.K.; Fawcett, J.; Russell, D.R. Synthesis and reactivity of the ferrocene-derived phosphine [Fe(η-C5H5){η-C5H4CH2P(CH2OH)2}]. J. Chem. Soc. Dalton Trans. 1997, 4377–4384. [Google Scholar] [CrossRef]
- Ramakrishna, T.V.V.; Elias, A.J.; Vij, A. Synthesis and reactions of the ferrocene derived hydroxymethyl phosphine FcCH(CH3)P(CH2OH)2 and its sulfide: Crystal structures of [FcCH(CH3)P(S)R2] R=CH2OH, CH2CH2CN and FcCH(CH3)P(S)(CH2O)2PPh (Fc=ferrocenyl). J. Organomet. Chem. 2000, 602, 125–132. [Google Scholar] [CrossRef]
- Gonschorowsky, M.; Merz, K.; Driess, M. Cyclohexylbis(hydroxymethyl)phosphane: A hydrophilic phosphane capable of forming novel hydrogen-bonding networks. Eur. J. Inorg. Chem. 2006, 455–463. [Google Scholar] [CrossRef]
- Goodwin, N.J.; Henderson, W.; Nicholson, B.K. Hydrogen bonding in hydroxymethylphosphine chalcogenides. Inorg. Chim. Acta 2002, 335, 113–118. [Google Scholar] [CrossRef]
- Griffiths, D.V.; Groombridge, H.J.; Salt, M.C. Investigations into the oxidative stability of hydroxymethyl- and bis(hydroxymethyl)-phosphines. Phosphorus, Sulfur, Silicon, Relat. Elem. 2008, 183, 473–478. [Google Scholar] [CrossRef]
- Hellmann, H.; Bader, J.; Birkner, H.; Schumacher, O. Hydroxymethylphosphines, hydroxymethylphosphonium salts, and chloromethylphosphonium salts. Justus Liebigs Ann. Chem. 1962, 659, 49–63. [Google Scholar] [CrossRef]
- Fawcett, J.; Hoye, P.A.T.; Kemmitt, R.D.W.; Law, D.J.; Russell, D.R. Synthesis of bis(phosphinomethyl)amines via bis(hydroxymethyl)phosphonium salts. Isolation of 9,9-bis(hydroxymethyl)-9-phosphoniabicyclo[3.3.1]nonane hydrogen sulfate and chloride salts, and the crystal structures of [PPh2(CH2OH)2]+ Cl− and [(C6H11)2PCH2]2NCHMePh. J. Chem. Soc. Dalton Trans. 1993, 2563–2568. [Google Scholar] [CrossRef]
- Zingaro, R.A. Phosphine sulfides and selenides: The phosphorus-sulfur and phosphorus-selenium stretching frequencies. Inorg. Chem. 1963, 2, 192–196. [Google Scholar] [CrossRef]
- Tan, S.L.; Jotani, M.M.; Tiekink, E.R.T. Utilizing Hirshfeld surface calculations, non-covalent interaction (NCI) plots and the calculation of interaction energies in the analysis of molecular packing. Acta Crystallogr. E 2019, 75, 308–318. [Google Scholar] [CrossRef] [PubMed]
- Turner, M.J.; Mckinnon, J.J.; Wolff, S.K.; Grimwood, D.J.; Spackman, P.R.; Jayatilaka, D.; Spackman, M.A. Crystal Explorer; v17; The University of Western Australia: Crawley, Australia, 2017. [Google Scholar]
- Strohalm, M.; Hassman, M.; Košata, B.; Kodíček, M. mMass data miner: An open source alternative for mass spectrometric data analysis. Rapid Commun. Mass Spectrom. 2008, 22, 905–908. [Google Scholar] [CrossRef] [PubMed]
- Rigaku Oxford Diffraction. CrysAlis PRO.; Rigaku Corporation: Oxford, UK, 2017. [Google Scholar]
- Sheldrick, G.M. A short history of SHELX. Acta Crystallogr. A 2008, 64, 112–122. [Google Scholar] [CrossRef] [PubMed]
- Sheldrick, G.M. Crystal structure refinement with SHELXL. Acta Crystallogr. C 2015, 71, 3–8. [Google Scholar] [CrossRef] [PubMed]
- Farrugia, L.J. WinGX and ORTEP for Windows: An update. J. Appl. Crystallogr. 2012, 45, 849–854. [Google Scholar] [CrossRef]
- Brandenburg, K.; Putz, H. DIAMOND.; Crystal Impact GbR: Bonn, Germany, 2006. [Google Scholar]



© 2019 by the authors. Licensee MDPI, Basel, Switzerland. This article is an open access article distributed under the terms and conditions of the Creative Commons Attribution (CC BY) license (http://creativecommons.org/licenses/by/4.0/).
Share and Cite
Henderson, W.; Okpareke, O.C.; Azizan, A.H.S.; Tiekink, E.R.T. [Dicyclohexyl(sulfanylidene)-λ5-phosphanyl]methanol. Molbank 2019, 2019, M1069. https://doi.org/10.3390/M1069
Henderson W, Okpareke OC, Azizan AHS, Tiekink ERT. [Dicyclohexyl(sulfanylidene)-λ5-phosphanyl]methanol. Molbank. 2019; 2019(3):M1069. https://doi.org/10.3390/M1069
Chicago/Turabian StyleHenderson, William, Obinna C. Okpareke, Ainnul Hamidah Syahadah Azizan, and Edward R. T. Tiekink. 2019. "[Dicyclohexyl(sulfanylidene)-λ5-phosphanyl]methanol" Molbank 2019, no. 3: M1069. https://doi.org/10.3390/M1069
APA StyleHenderson, W., Okpareke, O. C., Azizan, A. H. S., & Tiekink, E. R. T. (2019). [Dicyclohexyl(sulfanylidene)-λ5-phosphanyl]methanol. Molbank, 2019(3), M1069. https://doi.org/10.3390/M1069

