4-[5-(2-Methoxyphenyl)-1,3,4-oxadiazol-2-yl]benzohydrazide
Abstract
:Introduction
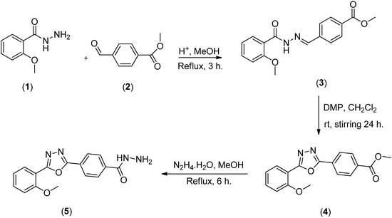
Results and Discussion
Experimental
4-(5-(2-Methoxyphenyl)-1,3,4-oxadiazol-2-yl)benzohydrazide
Supplementary materials
Supplementary File 1Supplementary File 2Supplementary File 3Supplementary File 4Acknowledgments
Author Contributions
Conflicts of Interest
References and Notes
- Alptuzun, V.; Cakiroglu, G.; Limoncu, M.E.; Erac, B.; Hosgor-Limoncu, M.; Erciyas, E. Synthesis and antileishmanial activity of novel pyridinium-hydrazone derivatives. J. Enzyme Inhib. Med. Chem. 2013, 28, 960–967. [Google Scholar] [CrossRef] [PubMed]
- Li, T.R.; Yang, Z.Y.; Wang, B.D. Synthesis, characterization and antioxidant activity of naringenin Schiff base and its Cu(II), Ni(II), Zn(II) complexes. Chem. Pharm. Bull. 2007, 55, 26–28. [Google Scholar] [CrossRef] [PubMed]
- Khattab, S.N. Synthesis and Biological Activity of Novel Amino Acid-(N'-Benzoyl) Hydrazide and Amino Acid-(N'-Nicotinoyl) Hydrazide Derivatives. Molecules 2005, 10, 1218–1228. [Google Scholar] [CrossRef] [PubMed]
- Khan, K.M.; Jamil, W.; Ambreen, N.; Taha, M.; Perveen, S.; Morales, G.A. An Expeditious Synthetic Approach towards the Synthesis of Bis-Schiff Bases (Aldazines) Using Ultrasound. Ultrason. Sonochem. 2014, 21, 1200–1205. [Google Scholar] [CrossRef] [PubMed]
- Musharraf, S.G.; Bibi, A.; Shahid, N.; Najam-ul-Haq, M.; Khan, M.; Taha, M.; Mughal, U.R.; Khan, K.M. Acylhydrazide and Isatin Schiff Bases as Alternate UV-Laser Desorption Ionization (LDI) Matrices for Low Molecular Weight (LMW) Peptides Analysis. Am. J. Anal. Chem. 2012, 3, 779–789. [Google Scholar] [CrossRef]
- Taha, M.; Baharudin, M.S.; Ismail, N.H.; Khan, K.M.; Jaafar, F.M.; Samreen; Siddiqui, S.; Choudhary, M.I. Synthesis of 2-methoxybenzoylhydrazone and evaluation of their antileishmanial activity. Bioorg. Med. Chem. Lett. 2013, 23, 3463–3466. [Google Scholar] [CrossRef] [PubMed]
- Taha, M.; Ismail, N.H.; Jamil, W.; Yousuf, S.; Jaafar, F.M.; Ali, M.I.; Kashif, S.M.; Hussain, E. Synthesis, Evaluation of Antioxidant Activity and Crystal Structure of 2,4-Dimethylbenzoylhydrazones. Molecules 2013, 18, 10912–10929. [Google Scholar] [CrossRef] [PubMed]
- Khan, K.M.; Shah, Z.; Ahmad, V.U.; Khan, M.; Taha, M.; Ali, S.; Perveen, S.; Choudhary, M.I.; Voelter, W. 2,4,6-Trichlorophenylhydrazine Schiff Bases as DPPH Radical and Super Oxide Anion Scavengers. Med. Chem. 2012, 8, 452–461. [Google Scholar] [CrossRef] [PubMed]
- Taha, M.; Naz, H.; Rasheed, S.; Ismail, N.H.; Rahman, A.A.; Yousuf, S.; Choudhary, M.I. Synthesis of 4-Methoxybenzoylhydrazones and Evaluation of Their Antiglycation Activity. Molecules 2014, 19, 1286–1301. [Google Scholar] [CrossRef] [PubMed]
- Khan, K.M.; Taha, M.; Rahim, F.; Fakhri, M.I.; Jamil, W.; Khan, M.; Rasheed, S.; Karim, A.; Perveen, S.; Choudhary, M.I. Acylhydrazide Schiff Bases: Synthesis and Antiglycation Activity. J. Chem. Soc. Pak. 2013, 35, 929–937. [Google Scholar]
- Sundriyal, S.; Sharma, R.K.; Jain, R. Current advances in antifungal targets and drug development. Curr. Med. Chem. 2006, 13, 1321–1335. [Google Scholar] [CrossRef] [PubMed]
- Dabiri, M.; Salehi, P.; Baghbanzadeha, M.; Bahramnejada, M. A facile procedure for the one-pot synthesis of unsymmetrical 2,5-disubstituted 1,3,4-oxadiazoles. Tetrahedron Lett. 2006, 47, 6983–6986. [Google Scholar] [CrossRef]
- Shang, Z.; Reiner, J.; Chang, J.; Zhao, K. Oxidative cyclization of aldazines with bis(trifluoroacetoxy)iodobenzene. Tetrahedron Lett. 2005, 46, 2701–2704. [Google Scholar] [CrossRef]
- Cristian, D.; Paraschivescu, C.C.; Dumitru, I.; Matache, M.; Baciu, I.; Rută, L.L. Convenient preparation of unsymmetrical 2,5-disubstituted 1,3,4-oxadiazoles promoted by Dess–Martin reagent. Tetrahedron Lett. 2009, 50, 1886–1888. [Google Scholar]

© 2014 by the authors; licensee MDPI, Basel, Switzerland. This article is an open access article distributed under the terms and conditions of the Creative Commons Attribution license (http://creativecommons.org/licenses/by/3.0/).
Share and Cite
Taha, M.; Ismail, N.H.; Imran, S.; Khan, K.M. 4-[5-(2-Methoxyphenyl)-1,3,4-oxadiazol-2-yl]benzohydrazide. Molbank 2014, 2014, M826. https://doi.org/10.3390/M826
Taha M, Ismail NH, Imran S, Khan KM. 4-[5-(2-Methoxyphenyl)-1,3,4-oxadiazol-2-yl]benzohydrazide. Molbank. 2014; 2014(2):M826. https://doi.org/10.3390/M826
Chicago/Turabian StyleTaha, Muhammad, Nor Hadiani Ismail, Syahrul Imran, and Khalid M. Khan. 2014. "4-[5-(2-Methoxyphenyl)-1,3,4-oxadiazol-2-yl]benzohydrazide" Molbank 2014, no. 2: M826. https://doi.org/10.3390/M826
APA StyleTaha, M., Ismail, N. H., Imran, S., & Khan, K. M. (2014). 4-[5-(2-Methoxyphenyl)-1,3,4-oxadiazol-2-yl]benzohydrazide. Molbank, 2014(2), M826. https://doi.org/10.3390/M826

