Abstract
A simple route for synthesis of ethyl 2-(3-methyl-5-oxo-4,5-dihydro-3H-benzo[e][1,4]diazepin-2-ylamino)benzoate is developed. The present work involves condensation of 2-(2-nitrobenzamido)propanoic acid with ethyl anthranillate followed by the H2/Pd/C reduction to give the amino ester which upon heating in DMF in the presence of FeCl3 affords the title compound. The structure of the title compound was established on the basis of 1H-NMR, 13C-NMR and mass spectral data.
Introduction
The growing importance of substituted [1,4]benzodiazepines in the field of medicinal chemistry as potential chemotherapeutic agents have incited the organic synthetic community to devise efficient methodologies to construct these bicyclic hetero-compounds [1,2,3,4,5].
Little attention has been devoted to the structural perturbations caused by substitution at C-2 position in 1,4-diazepines possessing an imine bond (N1-C2) [6]. This fact, coupled with continuation of our work on the cyclization modes of tripeptide containing two units of anthranilic acid and an amino acid, prompted us to devise an efficient method of synthesis for benzo[e][1,4]diazepinone using transition metals [7,8,9]. The synthetic procedure described here can be protracted to prepare a wide range of derivatives for further biological evaluation.
Results and Discussion
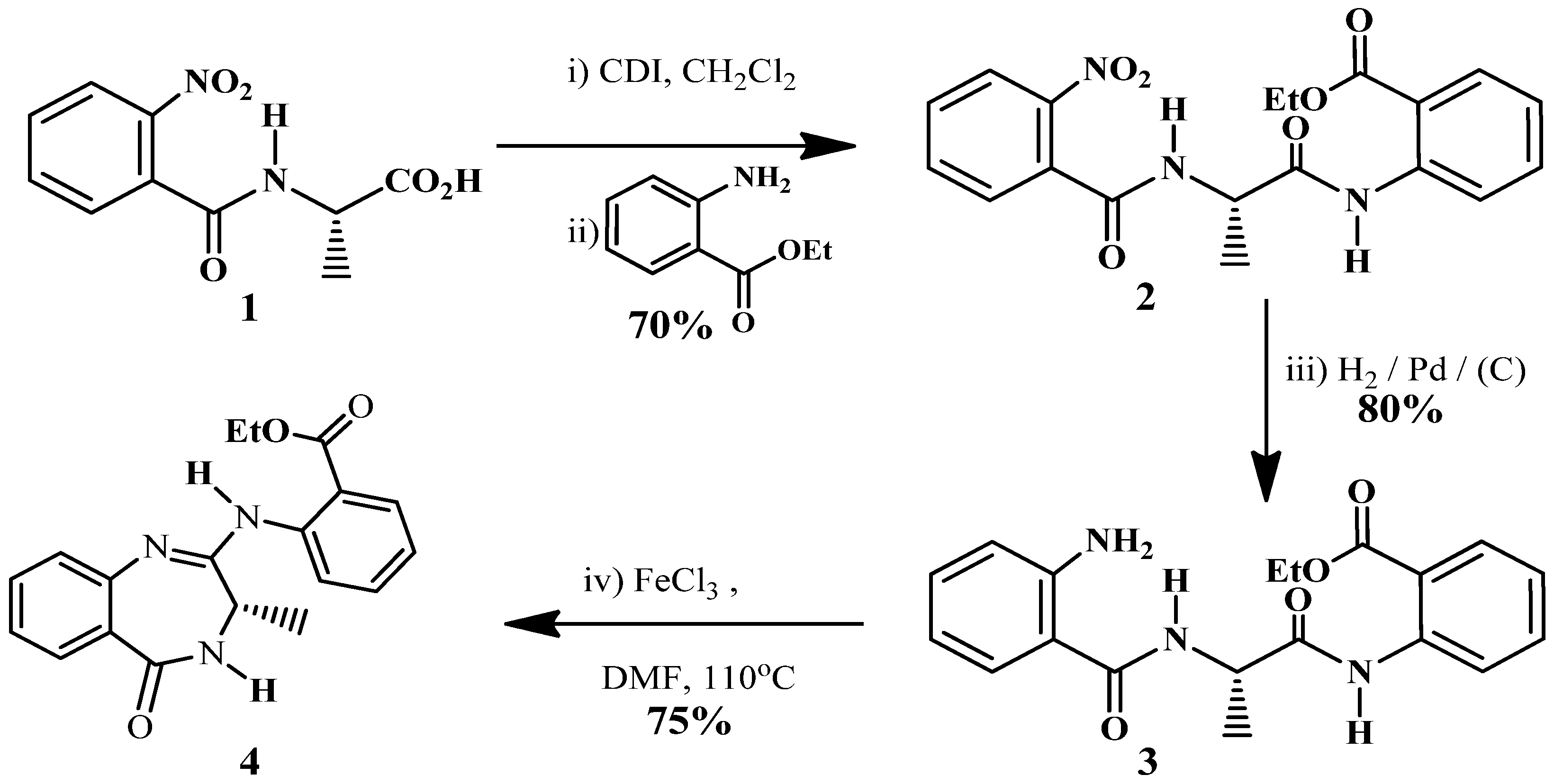
(S)-2-(2-Nitrobenzamido)propanoic acid 1 [10] was coupled with ethyl 2-aminobenzoate using a standard procedure to afford 2 in good yield (70%, Scheme 1). The reduction of the nitro group was conducted under mild conditions (H2/Pd/(C)) to furnish the corresponding amine 3. The 1H-NMR spectrum of 3 indicated the presence of NH2 group by displaying a broad D2O exchangeable signal at δ 5.45. Furthermore, the methine proton was observed as doublet of quartet at δ 4.73, the ethyl group protons were observed as triplet and quartet at δ 1.31, 4.29, respectively.
Scheme 1.
Synthesis of (S)-ethyl 2-(3-methyl-5-oxo-4,5-dihydro-3H-benzo[e][1,4]diazepin-2-ylamino)benzoate (4).
The synthesis of the title compound 4 was accomplished by heating amine 3 in DMF at 110 °C in the presence of fused transition metal chlorides. Three transition metal chlorides (MgCl2, ZnCl2 and FeCl3) were implemented. The cyclization of amine 3 was best achieved using fused FeCl3 to afford the title benzodiazepinone compound in 75% yield.
The 1H-NMR spectrum of the title compound displayed the methine proton attached to the stereogenic center at δ 4.23 as quartet. Moreover, and a doublet signal representing the methyl group next to stereogenic carbon was observed at 1.82 ppm. The 13C-NMR spectrum displayed a signal at 21.9 ppm for the methyl carbon next to the stereogenic center. The mass spectrum of 4 showed the M+ peak at m/z 337.9 attributed to the molecular formula C19N3O3H19 (M+H+).
Experimental
Amine 3 (400 mg, 1.13 mmol) was dissolved in DMF (30 mL) containing fused FeCl3 (543.08 mg, 3.39 mmol). The resulting mixture was then heated with continuous stirring in oil bath for 24 h at 110 °C. The reaction mixture was cooled to room temperature, diluted with water (100 mL) and then extraction with 40% EtoAc/hexane (2 × 100 mL). The combined organic layer was dried over MgSO4, filtered and concentrated. The residue was purified by column chromatography on silica gel eluting with 40% ethyl acetate in hexane to give the title compound 4 (285 mg, 75% yield) as a pale yellow oil. 1H-NMR (400 MHz, CDCl3): δ 1.28 (t, J = 7.1 Hz, 3H), 1.82 (d, J = 7.2 Hz, 3H) 4.23 (q, J = 7.0 Hz, 1H) 5.65 (q, J = 7.2 Hz, 2H) 7.05 (t, J = 4 Hz, 1H), 7.45 (m, 2H), 7.70 (m, 2H), 7.95 d, J = 5 Hz, 1H), 8.19 (s, 1H), 8.45 (m, 2H), 8.60 (d, J = 3 Hz, 1H), 11.5 (s, 1H); 13C-NMR (100 MHz, CDCl3): δ 19.0, 21.9, 34.8, 58.7, 120.7, 125.3, 128.0, 131.9, 132.1, 132.4, 135.7, 139.3, 139.4, 145.6, 149.0, 152.6, 165.7, 173.0; ESI-MS m/z 337.9 (M+); Anal Calcd. for C19H19N3O3: C, 67.64; H, 5.68; N, 12.46; O, 14.23. Found: C, 67.69; H, 5.63; N, 12.52.
Supplementary materials
Supplementary File 1Supplementary File 2Supplementary File 3Supplementary File 4Acknowledgments
This work was supported by the Deanship of Research at Jordan University of Science and Technology.
Conflicts of Interest
The authors declare no conflict of interest.
References
- Ye, N.; Neumeyer, J.L.; Baldessarini, R.J.; Xuechu, Z.; Ao, Z. Update 1 of: Recent progress in development of dopamine receptor subtype-selective agents: Potential therapeutics for neurological and psychiatric disorders. Chem. Rev. 2013, 113, 123–178. [Google Scholar] [CrossRef] [PubMed]
- Verdié, P.; Subra, G.; Feliu, L.; Sanchez, P.; Bergé, G.; Garcin, G.; Martinez., J. on-Line synthesis of pseudopeptide library incorporating a benzodiazepinone turn mimic: Biological Evaluation on MC1 Receptors. J. Comb. Chem. 2007, 9, 254–262. [Google Scholar] [CrossRef] [PubMed]
- Huang, Y.; Khoury, K.; Chanas, T.; Domling, A. Multicomponenet synthesis of diverse 1,4-benzodiazepine scaffolds. Org. Lett. 2012, 14, 5916–5919. [Google Scholar] [CrossRef] [PubMed]
- Hadjipavlou, L.D.; Hansch, C. Quantitative structure-activity relationships of benzodiazepines. Chem. Rev. 1994, 94, 1483–1505. [Google Scholar] [CrossRef]
- Welsch, M.E.; Snyder, S.A.; Stockwell, B.R. Privileged scaffolds for library design and drug discovery. Curr. Opin. Chem. Biol. 2010, 14, 347–361. [Google Scholar] [CrossRef] [PubMed]
- Sardina, F.J.; Rapoport, H. Enantionspecific synthesis of heterocycles from α-amino acids. Chem. Rev. 1996, 96, 1825–1872. [Google Scholar] [CrossRef] [PubMed]
- Al-Said, N.H. Effective formal synthesis of benzomalvin A. Monatsh. Chem. 2010, 141, 1249–1251. [Google Scholar] [CrossRef]
- Al-Said, N.H.; Shawakfeh, K.Q.; Ibrahim, M.I.; Tayyem, S.H. A facile synthesis of quinazolino[1,4]benzodiazepine alkaloids via reductive N-heterocyclization of N-(2-nitrobenzoyl)amides: Total synthesis of asperlicin C, circumdatin H, and analogues. ARKIVOC 2010, ix, 282–292. [Google Scholar]
- Taher, D.; Ishtaiwi, Z.N.; Al-Said, N.H. Efficient protocol to quinazolino[3,2-d][1,4]benzodiazepine-6,9-dione via Staudinger-aza-Wittig cyclizationapplication to synthesis of Asperlicin D. ARKIVOC 2008, xvi, 154–164. [Google Scholar]
- Hoffmann, E.; Jagnicinski, B. The formation of lactams of N-(2-amino)benzoylamino acids. J. Heterocyclic. Chem. 1966, 3, 348–351. [Google Scholar] [CrossRef]
© 2013 by the authors; licensee MDPI, Basel, Switzerland. This article is an open access article distributed under the terms and conditions of the Creative Commons Attribution license (http://creativecommons.org/licenses/by/3.0/).
