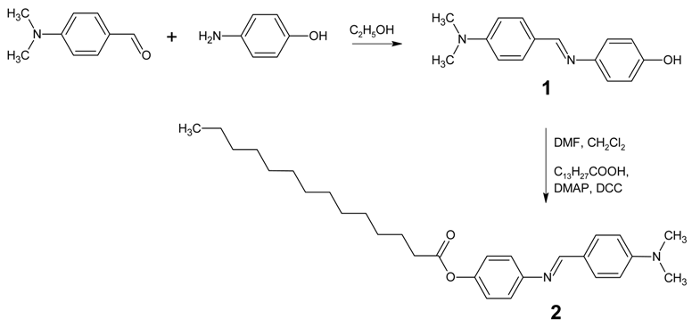
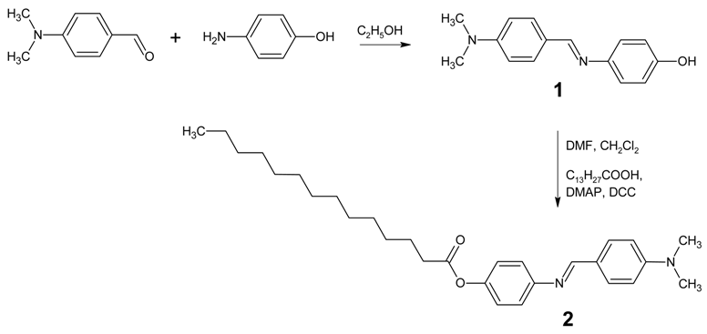
Synthesis of 4-[(4-dimethylaminobenzylidene)amino]phenyl tetradecanoate
Abstract
:
Supplementary materials
Supplementary File 1Supplementary File 2Supplementary File 3Acknowledgements
References and Notes
- Kelker, H.; Scheurle, B. Angew. Chem. Int. Edn. 1969, 81, 903–904.
- Yeap, G.Y.; Ha, S.T.; Lim, P.L.; Boey, P.L.; Mahmood, W.A.K.; Ito, M.M.; Sanehisa, S. Mol. Cryst. Liq. Cryst. 2004, 423, 73–84.
- Yeap, G.Y.; Ha, S.T.; Lim, P.L.; Boey, P.L.; Ito, M.M.; Sanehisa, S.; Vill, V. Mol. Cryst. Liq. Cryst. 2006, 452, 63–72. [CrossRef]
- Yeap, G.Y.; Ha, S.T.; Boey, P.L.; Mahmood, W.A.K.; Ito, M.M.; Youhei, Y. Mol. Cryst. Liq. Cryst. 2006, 452, 73–90. [CrossRef]
- Yeap, G.Y.; Ha, S.T.; Lim, P.L.; Boey, P.L.; Ito, M.M.; Sanehisa, S.; Youhei, Y. Liq. Cryst. 2006, 33, 205–211. [CrossRef]
- Ha, S.T.; Ong, L.K.; Win, Y.F.; Koh, T.M.; Yeap, G.Y. Molbank 2008, 3, M582. [CrossRef]
- Ha, S.T.; Ong, L.K.; Win, Y.F.; Koh, T.M.; Yeap, G.Y. Molbank 2009, 1, M584.
- Ha, S.T.; Ong, L.K.; Win, Y.F.; Koh, T.M.; Yeap, G.Y. Molbank 2009, 1, M585.
- Ha, S.T.; Ong, L.K.; Win, Y.F.; Koh, T.M.; Yeap, G.Y. Molbank 2009, 1, M591.
- Ha, S.T.; Ong, L.K.; Wong, J.P.W.; Win, Y.F.; Koh, T.M. Molbank 2009, 1, M598.
© 2009 by the authors; licensee Molecular Diversity Preservation International, Basel, Switzerland. This article is an open-access article distributed under the terms and conditions of the Creative Commons Attribution license (http://creativecommons.org/licenses/by/3.0/).
Share and Cite
Ha, S.-T.; Ong, S.-T.; Ong, L.-K.; Win, Y.-F.; Koh, T.-M.; Sivasothy, Y. Synthesis of 4-[(4-dimethylaminobenzylidene)amino]phenyl tetradecanoate. Molbank 2009, 2009, M601. https://doi.org/10.3390/M601
Ha S-T, Ong S-T, Ong L-K, Win Y-F, Koh T-M, Sivasothy Y. Synthesis of 4-[(4-dimethylaminobenzylidene)amino]phenyl tetradecanoate. Molbank. 2009; 2009(2):M601. https://doi.org/10.3390/M601
Chicago/Turabian StyleHa, Sie-Tiong, Siew-Teng Ong, Lay-Khoon Ong, Yip-Foo Win, Teck-Ming Koh, and Yasodha Sivasothy. 2009. "Synthesis of 4-[(4-dimethylaminobenzylidene)amino]phenyl tetradecanoate" Molbank 2009, no. 2: M601. https://doi.org/10.3390/M601
APA StyleHa, S.-T., Ong, S.-T., Ong, L.-K., Win, Y.-F., Koh, T.-M., & Sivasothy, Y. (2009). Synthesis of 4-[(4-dimethylaminobenzylidene)amino]phenyl tetradecanoate. Molbank, 2009(2), M601. https://doi.org/10.3390/M601
