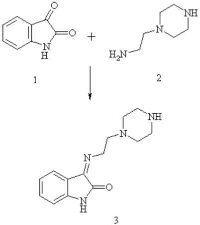
Synthesis of 3-[(Z)-2-piperazin-1-yl-ethylimino]-1,3-dihydro indol-2-one as a novel Schiff base

Supplementary materials
Supplementary File 1Supplementary File 2Supplementary File 3References
- Dasilva, J. F. M.; Garden, S. J.; Pinto, A. C. J. Braz. Chem. Soc. 2001, 12(3), 273.
- Guo, Y.; Chen, F. Zhongcaoyao 1986, 17, 8, (CA 104:213068f).
- Yoshikawa, M.; Murakami, T.; Kishi, A.; Sakurama, T.; Matsuda, H.; Nomura, M.; Matsuda, H.; Kubo, M. Chem. Pharm. Bull. 1998, 46, 886. [PubMed]
- Gil-Turners, M. S.; Hay, M. E.; Fenical, W. Science 1989, 116.
- Pandeya, S. N.; Yogeeswari, P.; Sriram, D.; De Clercq, E.; Pannecouque, C.; Witvrouw, M. Chemotherapy 1999, 45, 192–196. [PubMed]
- Pandeya, S. N.; Sriram, D.; Nath, G.; De Clercq, E. Eur. J. Med. Chem. 2000, 35, 249–255.
- Pandeya, S. N.; Sriram, D.; Nath, G.; De Clercq, E. Arzneimittel Forschun./Drug Res. 2000, 50, 55–59.
- Sridhar, S. K.; Pandeya, S. N.; Stables, J. P.; Armes, S. K. Eur. J. Pharm. Sci. 2002, 16, 129. [PubMed]
- Pandeya, S. N.; Sriram, D. Acta Pharm. Turc. 1998, 40, 33.
- Sarangapani, M.; Reddy, V. M. Indian J. Pharm. Sci. 1994, 56, 174.
- Varma, R. S.; Nobles, W. L. J. Pharm. Sci. 1975, 64, 881. [PubMed]
- Imam, S. A.; Varma, R. S. Experientia 1975, 31, 1278.
- Varma, R. S.; Khan, I. A. Polish J. Pharmacol. Pharm. 1977, 29, 549.
- Pandeya, S. N.; Sriram, D.; Nath, G.; De Clercq, E. Indian J. Pharm. Sci. 1999, 61, 358.
- Pandeya, S. N.; Sriram, D.; Nath, G.; De Clercq, E. Sci.Pharm. 1999, 67, 10.
- Pandeya, S. N.; Sriram, D.; Nath, G.; De Clercq, E. Pharm. Acta Helv. 1999, 74, 11. [PubMed]
- Varma, R. S.; Nobles, W. L. J. Med. Chem. 1967, 10, 972.
- Singh, S. P.; Shukla, S. K.; Awasthi, L. P. Curr. Sci. 1983, 52, 766.
- Logan, J. C.; Fox, M. P.; Morgan, J. M.; Makohon, A. M.; Pfau, C. J. J. Gen. Virol. 1975, 28, 271. [PubMed]
- Sarciron, S. E.; Audin, P.; Delebre, I.; Gabrion, C.; Petavy, A. F.; Paris, J. J. Pharm. Sci. 1993, 82, 605. [PubMed]
- Et-savi, E. A.; Mostafa, T. B.; Mostafa, B. B. J. Egypt. Soc. Parasitol. 1998, 28, 481.
- Seshaiah, K.S.; Atmakuru, R. Biol.Pharm.Bull. 2001, 24, 1149.
- Mohanan, K.; Murukan, B. Syn. and. rea. in Inorg. Met-org. and Nano-Met. Chem. 2005, 35, 837.
- Rama Krishna Reddy, K.; Madhusudan Reddy, K.; Mahendra, K.N. Ind.J.of Chem 2006, 45A, 377.
© 2006 MDPI. All rights reserved.
Share and Cite
K., R.R.; N., M.K. Synthesis of 3-[(Z)-2-piperazin-1-yl-ethylimino]-1,3-dihydro indol-2-one as a novel Schiff base. Molbank 2006, 2006, M516. https://doi.org/10.3390/M516
K. RR, N. MK. Synthesis of 3-[(Z)-2-piperazin-1-yl-ethylimino]-1,3-dihydro indol-2-one as a novel Schiff base. Molbank. 2006; 2006(6):M516. https://doi.org/10.3390/M516
Chicago/Turabian StyleK., Ramakrishna Reddy, and Mahendra K. N. 2006. "Synthesis of 3-[(Z)-2-piperazin-1-yl-ethylimino]-1,3-dihydro indol-2-one as a novel Schiff base" Molbank 2006, no. 6: M516. https://doi.org/10.3390/M516
APA StyleK., R. R., & N., M. K. (2006). Synthesis of 3-[(Z)-2-piperazin-1-yl-ethylimino]-1,3-dihydro indol-2-one as a novel Schiff base. Molbank, 2006(6), M516. https://doi.org/10.3390/M516
