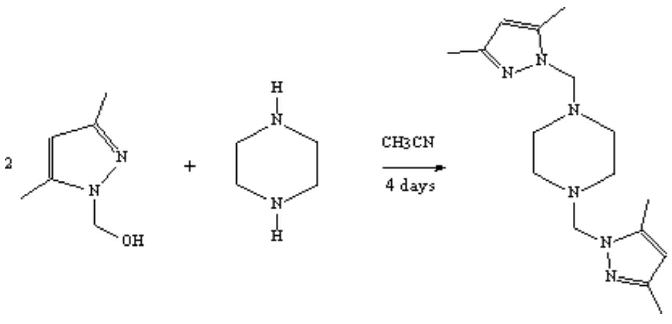
Synthesis of New bis-Bidentate Nitrogen Ligand: 1,4-bis[(3,5-dimethyl-1H-pyrazol-1-yl)methyl]piperazine


Supplementary materials
Supplementary File 1Supplementary File 2Supplementary File 3Acknowledgments
References
- Dvoretzky, I.; Richter, G.H. J.Org.Chem. 1950, 15, 1285.
- Sheu, S-C.; Tien, M-J.; Cheng, M-C.; Ho, T-I.; Peng, S-M.; And Lin, Y-C. J. Chem. Soc. Dalton Trans 1995, 3503–3510.
- Sample Availability: Available from the authors and MDPI.
© 2006 MDPI. All rights reserved.
Share and Cite
El Fatmi, A.; Daoudi, M.; Ben Larbi, N.; Kerbal, A.; Filali Kaba, M.; El Bali, B.; Bolte, M.; Mchich, M.; Ben-Hadda, T. Synthesis of New bis-Bidentate Nitrogen Ligand: 1,4-bis[(3,5-dimethyl-1H-pyrazol-1-yl)methyl]piperazine. Molbank 2006, 2006, M467. https://doi.org/10.3390/M467
El Fatmi A, Daoudi M, Ben Larbi N, Kerbal A, Filali Kaba M, El Bali B, Bolte M, Mchich M, Ben-Hadda T. Synthesis of New bis-Bidentate Nitrogen Ligand: 1,4-bis[(3,5-dimethyl-1H-pyrazol-1-yl)methyl]piperazine. Molbank. 2006; 2006(2):M467. https://doi.org/10.3390/M467
Chicago/Turabian StyleEl Fatmi, Abdeljalil, Maria Daoudi, Najib Ben Larbi, Abdelali Kerbal, Mohamed Filali Kaba, Brahim El Bali, Michael Bolte, Mohamed Mchich, and Taibi Ben-Hadda. 2006. "Synthesis of New bis-Bidentate Nitrogen Ligand: 1,4-bis[(3,5-dimethyl-1H-pyrazol-1-yl)methyl]piperazine" Molbank 2006, no. 2: M467. https://doi.org/10.3390/M467
APA StyleEl Fatmi, A., Daoudi, M., Ben Larbi, N., Kerbal, A., Filali Kaba, M., El Bali, B., Bolte, M., Mchich, M., & Ben-Hadda, T. (2006). Synthesis of New bis-Bidentate Nitrogen Ligand: 1,4-bis[(3,5-dimethyl-1H-pyrazol-1-yl)methyl]piperazine. Molbank, 2006(2), M467. https://doi.org/10.3390/M467
