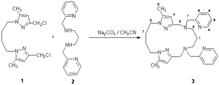
7,19-Dimethyl-11,15-bis(pyridin-2-ylmethyl)-1,6,11,15,20,21-hexaaza-tricyclo[15.2.1.16,9]heneicosa-7,9(21),17(20),18-tetraene

Supplementary materials
Supplementary File 1Supplementary File 2Supplementary File 3References
- Izatt, R. M.; Christensen, J. J. Progress in Macrocyclic Chemistry; Wiley-Interscience: New York, 1979; Vol. 1, 1981, Vol. 2. [Google Scholar]
- Melson, G. A. Coordination Chemistry of Macrocycles; Plenum: New York, 1979. [Google Scholar]
- Bol, J. E.; Driessen, W. L.; Reedijk, J. J. Chem. Soc. Chem. Comm. 1995, 1365.
- Lindoy, L. F. The Chemistry of Macrocyclic Ligand Complexes; Cambridge University Press: Cambridge, 1988. [Google Scholar]
- Hancok, R. D.; Martell, A. E . Chem. Rev. 1989, 89, 1875.
- Hartman, J. A. R.; Kammier, A. L.; Spracklin, R. J.; Pearson, W. H.; Combariza, M. Y.; Vachet, R. W. Inorganica Chimica Acta 2004, 357, 1141.
- Sample Availability: Available from MDPI.
© 2005 MDPI. All rights reserved.
Share and Cite
Touzani, R.; Ramdani, A.; El Kadiri, S. 7,19-Dimethyl-11,15-bis(pyridin-2-ylmethyl)-1,6,11,15,20,21-hexaaza-tricyclo[15.2.1.16,9]heneicosa-7,9(21),17(20),18-tetraene. Molbank 2005, 2005, M444. https://doi.org/10.3390/M444
Touzani R, Ramdani A, El Kadiri S. 7,19-Dimethyl-11,15-bis(pyridin-2-ylmethyl)-1,6,11,15,20,21-hexaaza-tricyclo[15.2.1.16,9]heneicosa-7,9(21),17(20),18-tetraene. Molbank. 2005; 2005(5):M444. https://doi.org/10.3390/M444
Chicago/Turabian StyleTouzani, Rachid, Abdelkrim Ramdani, and Sghir El Kadiri. 2005. "7,19-Dimethyl-11,15-bis(pyridin-2-ylmethyl)-1,6,11,15,20,21-hexaaza-tricyclo[15.2.1.16,9]heneicosa-7,9(21),17(20),18-tetraene" Molbank 2005, no. 5: M444. https://doi.org/10.3390/M444
APA StyleTouzani, R., Ramdani, A., & El Kadiri, S. (2005). 7,19-Dimethyl-11,15-bis(pyridin-2-ylmethyl)-1,6,11,15,20,21-hexaaza-tricyclo[15.2.1.16,9]heneicosa-7,9(21),17(20),18-tetraene. Molbank, 2005(5), M444. https://doi.org/10.3390/M444
