Red Wine Polyphenols for Cancer Prevention
Abstract
:1. Introduction
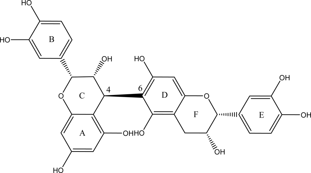
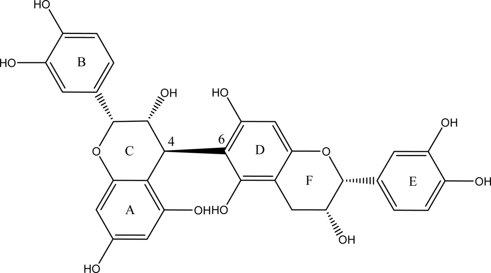
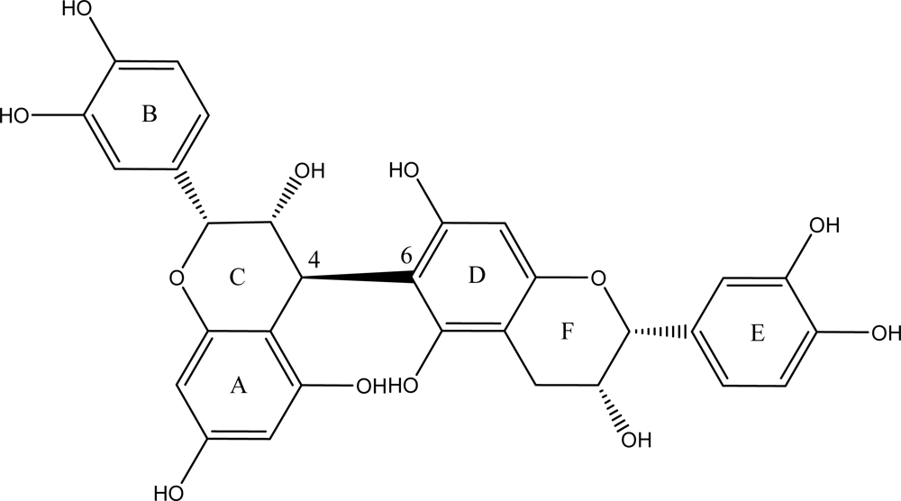
2. Cancer chemopreventive activities of red wine polyphenol extracts and fractions
3. Red wine polyphenols as aromatase inhibitors: potential preventive strategy of breast cancer
4. Cancer chemopreventive activities of myricetin
5. Conclusions
Acknowledgments
References
- Surh, Y-J. Cancer chemoprevention with dietary phytochemicals. Nat. Rev. Cancer 2003, 3, 768–780. [Google Scholar] [Green Version]
- World Cancer Research Fund and American Institute for Cancer Research. Food Nutrition and the prevention of cancer: a global perspective; BANTA Press: Menasha, WI, USA, 1997. [Google Scholar]
- Kato, R; Nakadate, T; Yamamoto, S; Sugimura, T. Inhibition of 12-O-tetradecanoylphorbol- 13-acetate-induced tumor promotion and ornithine decarboxylase activity by quercetin: possible involvement of lipoxygenase inhibition. Carcinogenesis l983, 4, 1301–1305. [Google Scholar] [Green Version]
- Lesca, P. Protective effects of ellagic acid and other plant phenols on benzo(a)pyrene-induced neoplasia in mice. Carcinogenesis 1983, 4, 1651–1653. [Google Scholar] [Green Version]
- Muhktar, H; Das, M; Khan, WA; Wang, ZY; Bik, DP; Bickers, DR. Exceptional activity of tannic acid among naturally occurring plant phenols in protecting against 7, 12-dimethylbenz(a)anthracene-, benzo(a)pyrene-, 3-methylcholanthrene-, and N-methyl-N-nitroso-urea-induced skin tumorigenesis in mice. Cancer Res 1988, 48, 2361–2365. [Google Scholar] [Green Version]
- Huang, MT; Ferraro, T. Phenolic compounds in food and cancer prevention. In Phenolic compounds in food and their effects on health; Huang, HT, Ho, CT, Lee, CY, Eds.; American Chemical Society: Washington, DC, USA, 1992; pp. 8–34. [Google Scholar]
- Gali, HU; Perchellet, EM; Klish, DS; Johnson, JM; Perchellet, JP. Antitumor-promoting activities of hydrolyzable tannins in mouse skin. Carcinogenesis 1992, 13, 7l5–718. [Google Scholar] [Green Version]
- Gali, HU; Perchellet, EM; Klish, DS; Johnson, JM; Perchellet, JP. Hydrolyzable tannins: potent inhibitors of hydroperoxide production and tumor promotion in mouse skin treated with 2-0-tetradecanoylphorbol-l3-acetate in vivo. Int. J. Cancer l992, 51, 425–432. [Google Scholar] [Green Version]
- Yin, P; Zhao, J; Cheng, S; Hara, Y; Zhu, Q; Liu, Z. Experimental studies of the inhibitory effects of green tea catechin on mice large intestinal cancers induced by 1,2-dimethylhydrazine. Cancer Lett. l994, 79, 33–38. [Google Scholar] [Green Version]
- Menon, LO; Kuttan, R; Kuttan, O. Inhibition of lung metastasis in mice induced by B16F1O melanoma cells by polyphenolic compounds. Cancer Lett. 1995, 95, 221–225. [Google Scholar] [Green Version]
- Soleas, GJ; Diamandis, EP; Goldberg, DM. Wine as a biological fluid: History, production, and role in disease prevention. J. Clin. Lab. Anal. 1997, 11, 287–313. [Google Scholar] [Green Version]
- Bradlow, HL; Telang, NT; Sepkovic, DW; Osborne, MP. Phytochemicals as modulators of cancer risk. Adv. Exp. Med. Biol. 1999, 472, 207–221. [Google Scholar] [Green Version]
- Yang, CS; Landau, JM; Huang, MT; Newmark, HL. Inhibition of carcinogenesis by dietary polyphenolic compounds. Annu. Rev. Nutr. 2001, 21, 381–406. [Google Scholar] [Green Version]
- Soleas, GJ; Diamandis, EP; Goldberg, DM. The world of resveratrol. In Nutrition and cancer prevention: new insights into the role of phytochemicals; American Institute for Cancer Research, Ed.; Kluwer Academic Publishers/Plenum Publishers: New York, NY, 2001. [Google Scholar]
- Pedersen, A; Johansen, C; Gronbaek, M. Relations between amount and type of alcohol and colon and rectal cancer in a Danish population based cohort study. Gut 2003, 52, 861–867. [Google Scholar] [Green Version]
- Jang, M; Cai, L; Udeani, GO; Slowing, KV; Thomas, CF; Beecher, CWW; Kinghorn, D; Mehta, RG; Moon, RC; Pezzuto, JM. Cancer chemopreventive activity of resveratrol, a natural product derived from grapes. Science 1997, 275, 218–220. [Google Scholar] [Green Version]
- Kundu, JK; Surh, Y-J. Molecular basis of chemoprevention by resveratrol: NF-κB and AP-1 as potential targets. Mutat. Res. 2004, 555, 65–80, and references cited therein. [Google Scholar] [Green Version]
- Shankar, S; Singh, G; Srivastava, RK. Chemoprevention by resveratrol: molecular mechanisms and therapeutic potential. Front. Biosci. 2007, 12, 4839–4854, and references cited therein. [Google Scholar] [Green Version]
- EIAttar, TM; Virji, AS. Modulating effect of resveratrol and quercetin on oral cancer cell growth and proliferation. Anti-Cancer drugs 1999, 10, 187–193. [Google Scholar] [Green Version]
- Soleas, GJ; Goldberg, DM; Grass, L; Levesque, M; Diamandis, EP. Do wine polyphenols modulate p53 gene expression in human cancer cell lines? Clin. Biochem. 2001, 34, 415–420. [Google Scholar] [Green Version]
- Soleas, GJ; Grass, L; Josephy, PD; Goldberg, DM; Diamandis, EP. A comparison of the anticarcinogenic properties of four red wine polyphenols. Clin. Biochem. 2002, 35, 119–124. [Google Scholar] [Green Version]
- Waterhouse, AL. Wine phenolics. Ann. N. Y. Acad. Sci. 2002, 957, 21–36. [Google Scholar] [Green Version]
- Clifford, AJ; Ebeler, SE; Ebeler, JD; Bills, ND; Hinrichs, SH; Teissedre, P-L; Waterhouse, AL. Delayed tumor onset in transgenic mice fed an amino acidbased diet supplemented with red wine solids. Am. J. Clin. Nutr. 1996, 64, 748–756. [Google Scholar] [Green Version]
- Caderni, G; De Filippo, C; Luceri, C; Salvadori, M; Giannini, A; Biggeri, A; Remy, S; Cheynier, V; Dolara, P. Effects of black tea, green tea and wine extracts on intestinal carcinogenesis induced by azoxymethane in F344 rats. Carcinogenesis 2000, 21, 1965–1969. [Google Scholar] [Green Version]
- Caderni, G; Remy, S; Cheynier, V; Morozzi, G; Dolara, P. Effect of complex polyphenols on colon carcinogenesis. Eur. J. Nutr. 1999, 38, 126–132. [Google Scholar] [Green Version]
- Femia, AP; Caderni, G; Vignali, F; Salvadori, M; Giannini, A; Biggeri, A; Gee, J; Przybylska, K; Cheynier, V; Dolara, P. Effect of polyphenolic extracts from red wine and 4-OH-coumaric acid on 1,2-dimethylhydrazine-induced colon carcinogenesis in rats. Eur. J. Nutr. 2005, 44, 79–84. [Google Scholar] [Green Version]
- Briviba, K; Pan, L; Rechkemmer, G. Red wine polyphenols inhibit the growth of colon carcinoma cells and modulate the activation pattern of mitogen-activated protein kinases. J. Nutr. 2002, 132, 2814–2818. [Google Scholar] [Green Version]
- Dolara, P; Luceri, C; De Filippo, C; Femia, AP; Giovannelli, L; Caderni, G; Cecchini, C; Silvi, S; Orpianesi, C; Cresci, A. Red wine polyphenols influence carcinogenesis, intestinal microflora, oxidative damage and gene expression profiles of colonic mucosa in F344 rats. Mutat. Res. 2005, 591, 237–246. [Google Scholar] [Green Version]
- Hakimuddin, F; Paliyath, G; Meckling, K. Treatment of mcf-7 breast cancer cells with a red grape wine polyphenol fraction results in disruption of calcium homeostasis and cell cycle arrest causing selective cytotoxicity. J. Agric. Food Chem. 2006, 54, 7912–7923. [Google Scholar] [Green Version]
- Esteban, J; Warsi, Z; Haniu, M; Hall, P; Shively, JE; Chen, S. Detection of intratumoral aromatase in breast carcinomas: an immunohistochemical study with clinicopathologic correlation. Am. J. Pathol. 1992, 140, 337–343. [Google Scholar] [Green Version]
- Bulun, SE; Price, TM; Mahendroo, MS; Aitken, J; Simpson, ER. A link between breast cancer and local estrogen biosynthesis suggested by quantification of breast adipose tissue aromatase cytochrome P450 transcripts using competitive polymerase chain reaction after reverse transcription. J. Clin. Endocrinol. Metab. 1993, 77, 1622–1628. [Google Scholar] [Green Version]
- Santen, RJ; Martel, H; Hoagland, M; Naftolin, F; Roa, L; Harada, N; Hafer, L; Zaino, R; Santner, SJ. Stromal spindle cells contain aromatase in human breast tumors. J. Clin. Endocrinol. Metab. 1994, 79, 627–632. [Google Scholar] [Green Version]
- Lu, Q; Nakmura, J; Savinov, A; Yue, W; Weisz, J; Dabbs, DJ; Wolz, G; Brodie, A. Expression of aromatase protein and messenger ribonucleic acid in tumor epithelial cells and evidence of functional significance of locally produced estrogen in human breast cancers. Endocrinology 1996, 137, 3061–3068. [Google Scholar] [Green Version]
- Tekmal, RR; Ramachandra, N; Gubba, S; Durgam, VR; Mantione, J; Toda, K; Shizuta, Y; Dillehay, DL. Overexpression on int-5/aromatase in mammary glands of transgenic mice results in the induction of hyperplasia and nuclear abnormalities. Cancer Res. 1996, 56, 3180–3185. [Google Scholar] [Green Version]
- Yue, W; Wang, JP; Hamilton, CJ; Demers, LM; Santen, RJ. In situ aromatization enhances breast tumor estradiol levels and cellular proliferation. Cancer Res. 1998, 58, 927–932. [Google Scholar] [Green Version]
- Chen, S; Sun, XZ; Kao, YC; Kwon, A; Zhou, D; Eng, E. Suppression of breast cancer cell growth with grape juice. Pharm. Biol. 1998, 36, 53–61. [Google Scholar] [Green Version]
- Eng, ET; Williams, D; Mandava, U; Kirma, N; Tekmal, RR; Chen, S. Suppression of aromatase (estrogen synthetase) by red wine phytochemicals. Breast Cancer Res. Treat. 2001, 67, 133–146. [Google Scholar] [Green Version]
- Eng, ET; Williams, D; Mandava, U; Kirma, N; Tekmal, RR; Chen, S. Anti-aromatase chemicals in red wine. Ann. N. Y. Acad. Sci. 2002, 963, 239–246. [Google Scholar] [Green Version]
- Eng, ET; Ye, JJ; Williams, D; Phung, S; Moore, RE; Young, MK; Ugis, G; Braunstein, G; Chen, S. Suppression of estrogen biosynthesis by procyanidin dimers in red wine and grape seeds. Cancer Res. 2003, 63, 8516–8522. [Google Scholar] [Green Version]
- Hertog, MG; Feskens, EJ; Hollman, PC; Katan, MB; Kromhout, D. Dietary antioxidant flavonoids and risk of coronary heart disease: the Zutphen Elderly Study. Lancet 1993, 342, 1007–1011. [Google Scholar] [Green Version]
- Noroozi, M; Angerson, WJ; Lean, ME. Effects of flavonoids and vitamin C on oxidative DNA damage to human lymphocytes. Am. J. Clin. Nutr. 1998, 67, 1210–1218. [Google Scholar] [Green Version]
- Mukhtar, H; Das, M; Khan, WA; Wang, ZY; Bik, DP; Bickers, DR. Exceptional activity of tannic acid among naturally occurring plant phenols in protecting against 7,12-dimethylbenz(a)anthracene-, benzo(a)pyrene-, 3-methylcholanthrene-, and Nmethyl-N-nitrosourea-induced skin tumorigenesis in mice. Cancer Res. 1988, 48, 2361–2365. [Google Scholar] [Green Version]
- Chang, RL; Huang, MT; Wood, AW; Wong, CQ; Newmark, HL; Yagi, H; Sayer, JM; Jerina, DM; Conney, AH. Effect of ellagic acid and hydroxylated flavonoids on the tumorigenicity of benzo[a]pyrene and (+/-)-7 beta, 8 alphadihydroxy- 9 alpha, 10 alpha-epoxy-7,8,9,10-tetrahydrobenzo[a]pyrene on mouse skin and in the newborn mouse. Carcinogenesis 1985, 6, 1127–1133. [Google Scholar] [Green Version]
- Das, M; Khan, WA; Asokan, P; Bickers, DR; Mukhtar, H. Inhibition of polycyclic aromatic hydrocarbon-DNA adduct formation in epidermis and lungs of SENCAR mice by naturally occurring plant phenols. Cancer Res. 1987, 47, 767–773. [Google Scholar] [Green Version]
- Ko, CH; Shen, SC; Lee, TJ; Chen, YC. Myricetin inhibits matrix metalloproteinase 2 protein expression and enzyme activity in colorectal carcinoma cells. Mol. Cancer Ther. 2005, 4, 281–290. [Google Scholar] [Green Version]
- Lee, KM; Kang, NJ; Han, JH; Lee, KW; Lee, HJ. Myricetin down-regulates phorbol ester-induced cyclooxygenase-2 expression in mouse epidermal cells by blocking activation of nuclear factor kappa B. J. Agric. Food Chem. 2007, 55, 9678–9684. [Google Scholar] [Green Version]
- Lee, KW; Kang, NJ; Rogozin, EA; Kim, H-G; Cho, YY; Bode, AM; Lee, HJ; Surh, Y-J; Bowden, GT; Dong, Z. Myricetin is a novel natural inhibitor of neoplastic cell transformation and MEK1. Carcinogenesis 2007, 28, 1918–1927. [Google Scholar] [Green Version]




| Wine | Percent remaining aromatizer activity |
|---|---|
| Red wine | |
| Cabernet Sauvignon, Tanglewood, 1996 | 0.29 |
| Cabernet Sauvignon, Glen Ellen Prp Reserve, 1997 | 7.7 |
| Cabernet Sauvignon, San Andrés, 1998 | 0.36 |
| Merlot, JW Morris, 1997 | 0.42 |
| Merlot, Forest Ville, 1997 | 0.46 |
| Merlot, Hacienda, 1997 | 3.29 |
| Merlot, Hacienda, 1998 | 0.9 |
| Zinfande, Black Mountain, 1996 | 0.39 |
| Zinfandel, Sequoia Ridge, 1996 | 0.39 |
| Pinot Noir, Cambiaso, 1996 | 0.34 |
| Pinot Noir, Hacienda, 1996 | 2.16 |
| White wine | |
| Chardonnay Woodbridge, 1998 | 99.1 |
| Chardonnay, Santa Rita Reserve, 1999 | 80 |
| Fumé Blanc, Domaine Napa, 1996 | 112.5 |
| Sauvignon Blanc, Turning Leaf, 1998 | 106.5 |
Share and Cite
He, S.; Sun, C.; Pan, Y. Red Wine Polyphenols for Cancer Prevention. Int. J. Mol. Sci. 2008, 9, 842-853. https://doi.org/10.3390/ijms9050842
He S, Sun C, Pan Y. Red Wine Polyphenols for Cancer Prevention. International Journal of Molecular Sciences. 2008; 9(5):842-853. https://doi.org/10.3390/ijms9050842
Chicago/Turabian StyleHe, Shan, Cuirong Sun, and Yuanjiang Pan. 2008. "Red Wine Polyphenols for Cancer Prevention" International Journal of Molecular Sciences 9, no. 5: 842-853. https://doi.org/10.3390/ijms9050842
APA StyleHe, S., Sun, C., & Pan, Y. (2008). Red Wine Polyphenols for Cancer Prevention. International Journal of Molecular Sciences, 9(5), 842-853. https://doi.org/10.3390/ijms9050842
