Next Article in Journal
Preparation and Characterization of a Chloroperoxidase-like Catalytic Antibody
Next Article in Special Issue
High-level Expression of Cecropin X in Escherichia coli
Previous Article in Journal
Prediction of Standard Enthalpy of Formation by a QSPR Model
Previous Article in Special Issue
How Good Can the Characteristic Polynomial Be for Correlations?
 
 
Font Type:
Arial Georgia Verdana
Font Size:
Aa Aa Aa
Line Spacing:
Column Width:
Background:
Article

Molecular Cloning and Characterization of a Novel Human Glycine-N-acyltransferase Gene GLYATL1, Which Activates Transcriptional Activity of HSE Pathway

1
State Key Laboratory of Genetic Engineering, School of Life Science, Fudan University, Shanghai, 200433, People’s Republic of China
2
Department of C&M Physiology Penn State College of Medicine Hershey, PA17033, USA
*
Authors to whom correspondence should be addressed.
Int. J. Mol. Sci. 2007, 8(5), 433-444; https://doi.org/10.3390/i8050433
Submission received: 18 April 2007 / Revised: 5 May 2007 / Accepted: 10 May 2007 / Published: 25 May 2007
(This article belongs to the Special Issue Interaction of Biological Molecules)

Abstract

:
The glycine-N-acyltransferase (GLYAT) is well known to be involved in the detoxification of endogenous and exogenous xenobiotic acyl-CoA’s in mammals. Unfortunately, the knowledge about the gene encoding GLYAT is very limited. Here we report a novel gene encoding a GLYAT member, designated as GLYATL1, which was 1546 base pairs in length and contained an open reading frame (ORF) encoding a polypeptide of 302 amino acids. GLYATL1 was a split gene that was consisted of 7 exons and 6 introns and mapped to chromosome 11q12.1. The expression of GLYATL1 could be found in liver, kidney, pancreas, testis, ovary and stomach among 18 human tissues by RT-PCR analysis. Subcellular localization of myc-tagged GLYATL1 fusion protein revealed that GLYATL1 was distributed primarily in the cytoplasm of COS-7 cells. Furthermore, through the pathway profiling assay, the GLYATL1 protein was found to activate HSE signaling pathway in a dose-dependent manner when overexpressed in HEK293T cells.

1. Introduction

The GLYATs (EC 2.3.1.13) present a family of proteins which play a physiologically important role in the detoxification of endogenous and xenobiotic acyl-CoA’s. In mammals, a variety of carboxylic acids xenobioties were conjugated with an amino acid, primarily glycine [1], and the resulting peptides appear as excretory products in the urine. The conjugation, which occurs in both liver and kidney [1], involves in a two step pathway: firstly, the carboxylic acid is ATP-dependent activated with CoA by carboxylic acid: CoA ligase to form an intermediate acyl-CoA product Gatley [13]; this acyl group is then transferred to the amino group of glycine by the action of an Glycine-N-acyltransferase(GLYAT). As a result, abnormality of GLYAT has been related to some pathological situations such as various organic acidemias [4].
Up to now, the GLYAT proteins have been purified and biochemically identified from the liver or kidney of human, bovine, ovine, rabbit and rhesus monkey [1,5,6]. It is clearly demonstrated that the enzyme has two kind of substrates in its functional pathway: the acyl-CoA donor and acyl-acceptor. A few members act as the role of acyl-donor: benzoyl-CoA, salicyl-CoA, isovaleryl-CoA, octanoyl-CoA etc. However, the acyl-CoA acceptor exhibits relatively high specifity for glycine [1,7].
The completion of the Human Genome Project (HGP) makes it possible to investigate the gene nature of the GLYAT and it is helpful to obtain more comprehensive understanding for the function of this enzyme. In the present study, we identified a novel human acyl-CoA: glycine-N-acyltransferase gene, GLYATL1, which encoded a 302-amino acids protein. The RT-PCR analysis showed that GLYATL1 was expressed strongly in liver and weakly in kidney and stomach among 18 human tissues. The protein is subcellular localized in cytoplasm and overexpression of the protein activates the transcriptional activities of HSE, suggesting a potential role of this protein in HSE mediated transcriptional regulation.

2. Materials and methods

2.1 Molecular cloning and sequence analysis

Two primers (GLYATL1-Forward and GLYATL1-Reverse, Table 1) were designed to amplify GLYATL1 from the human liver cDNA library. PCR was performed at 94 °C, 4 min; 94 °C, 1 min; 57 °C, 1 min; 72 °C, 2 min for 32 cycles; then 72 °C, 10 min, using GeneAmp PCR system 9600 (Perkin-Elmer Cetus). PCR products were separated on 1 % (w/v) agarose gel. Then the product of interest was separated, cloned into pMD18-T vector (TaKaRa, Japan) and finally confirmed by sequencing. The full-length sequence of GLYATL1 was analyzed for homologies in GenBank by using the BLAST program and then submitted to GenBank. with the Accession No. DQ084381.
Protein sequence comparisons were carried out using BLAST2.0 at NCBI ( http://www.ncbi.nlm.nih.gov/blast). The gene structure analysis was performed by a BLAT search against the human genome database ( http://genome.ucsc.edu). The sequences were aligned by Clustal X software and viewed by GENEDOC software. Phylogenetic tree analysis of amino acid sequences deduced from GLYATL1 DNA sequences was performed using Mega program.

2.2 Tissue distribution of GLYATL1

Human MTC (multiple-tissue cDNA) panels (Bio-Chain, USA) including bone marrow, kidney, stomach, bladder, lung, placenta, pancreas, heart, spleen, liver, thymus, testis, colon, uterus cervix, ovary, brain, skeletal muscle, and prostate served as templates to study the distribution of GLYATL1 with the primers: GLYATL1-RT-Forward and GLYATL1-RT-Reverse (Table 1). β-Macroglobin (β-MG) sense primer β-MG-F and antisense primer β-MG-R (Table 1) were used to specifically amplify a 290 bp amplicon of C-terminal of β-MG, which served as the internal control. Products were separated by DNA electrophoresis in 2 % (w/v) agarose gel.

2.3 Cell culture, transfection and western blotting

HEK 293T cells were cultured in DMEM (Dulbecco’s modified Eagle’s medium; Gibco-BRL) which was supplemented with 10 % FBS, and kept in the CO2 incubator (37 °C, 5 % CO2). The cultured HEK 293T cells were transfected with expression vectors using Lipofectamine2000TM (Invitrogen, USA) according to the manufacturer’s protocol. The cells were harvested 48 h after transfection and washed twice with an ice cold PBS (phosphate-buffered saline) and then lysed on ice for 30 min in lysis buffer (Cell Signalling Technology, USA) supplemented with cocktail tablets and 0.1 mM PMSF with gentle shaking. The solution was then centrifuged at 12,000 g for 30 min at 4 °C to remove the debris, and supernatant was collected for use. Protein samples separated by SDS-PAGE were electro-transferred onto nitrocellulose membrane. The membrane was blocked at room temperature for 1 h with PBS containing 5 % (w/v) skim milk, and then washed with a mixture of PBS and 0.2 % Tween 20 (Sigma, USA). After blocking, incubated the membrane overnight at room temperature with mouse anti-Myc monoclonal antibody (CLONTECH, USA) diluted with PBS containing 1 % (w/v) BSA. Then the membrane was incubated with HRP-conjugated anti-mouse IgG antibody (Santa Cruz, USA) at room temperature for 1 h after washed with Tween-PBS. The membrane was then washed with Tween-PBS and then developed with the ECL system (Santa Cruz, USA).

2.4 Subcellular localization analysis

To investigate the subcellular localization of the GLYATL1 protein, we proceeded in transient expression of Myc tagged vectors in COS-7 cells. Cells transfected with expression vectors were incubated on coverslips for 24–48 h. Cells were washed by PBS and then fixed in PBS containing 2–4 % paraformaldehyde, followed by 0.1 % Triton X-100/PBS treatment. After treatment with blocking reagent of 5 % goat serum for 20 min, cells were stained with mouse anti-Myc antibody, and stained with FITC-conjugated anti-mouse IgG goat antibody (ImmunoJackson, USA) for 1 h. Fluorochrome-labeled cells were visualized by using a microscope equipped with fluorescence optics (Leica DM RA2, Germany) and images were recorded with digital camera (Leica DC500). 2.5 μg/ml DAPI (4′,6-diamidino-2-phenylindole) in PBS was used to stain nuclei. In addition, pCMV-Myc was used as a negative control.

2.5 Pathway profiling assay

Mercury Pathway Profiling System (Clontech, USA) was used to investigate the potential roles of GLYAT1 in the signal pathways, and firefly luciferase as the reporter gene. HEK 293T cells were cultured in Dulbecco’s modified Eagle’s medium containing 10% fetal bovine serum. The cells were seeded on a 96-well plate at 1×104/well. After 24h, GLYAT1 expression vector, pCMV-Myc-GLYAT1, and each cisacting luciferase reporter vector of the Mercury Pathway Profiling System (Clontech, USA) were co-transfected into cells by the Lipofectamine2000 (Invitrogen, USA) according to the manufacturer’s protocol. After 48 h, the transfected cells were lysed and the activity of luciferase reporter gene was measured by dual-luciferase reporter assay system (Promega, USA). According to the primary results, another assay was performed to examine whether the activation of the HSE by the GLYATL1 was in a dose-dependent manner.

3. Results

3.1 Molecular cloning and sequence analysis of the GLYATL1 gene

The GLYAT genes play important roles in detoxification of endogenous and xenobiotic acyl-CoA’s. To isolate potential member of the human GLYAT family, we searched the human EST database in GenBank ( http://www.ncbi.nlm.nih.gov/blast), using the nucleotide acid sequence of Glycine_acyl_tr (Aralkyl acyl-CoA: amino acid N-acyltransferase) domain in human GLYAT as a query. After checking the retrieved ESTs, we assembled them into a contig using Vector NTI suite program (InforMax, Inc.). This contig contains an open reading frame (ORF) of 909 nucleotides. To verify the contig, PCR primers (GLYATL1-Forward, GLYATL1-Reverse, Table 1) were designed to perform PCR in a human liver cDNA library. PCR products were subcloned into pMD18-TTM vector (TaKaRa. Japan) and were sequenced. The sequencing result verified the contig sequence, and this sequence was subsequently submitted to GenBank with the GenBank Accession No. DQ084381.
The cDNA sequence has an ORF extending from nucleotide 241 to 1149, and it encodes a putative protein of 302 amino acids (Figure 1). The molecular weight of the protein was predicted to be 35.1 kDa and the calculated pI was 6.44. After searching the SMART database ( http://smart.embl.heidelberg.de/), it was found that the protein contains a single Glycine_acyl_tr (Aralkyl acyl-CoA: amino acid N-acyltransferase) domain (Figure 1), the characteristic of the GLYAT family, which suggested that this protein is a novel member of GLYAT family. Therefore, the protein was named as GLYATL1 (glycine-N-acyltransferase like 1), which was approved by HUGO Nomenclature Committee.
The multiple alignment for whole amino acids was performed between the human GLYATL1 and its orthologs in other seven species (troglodytes, monkey, rat, mouse, chimpanzee, cattle and dog) (Figure 2A). The multiple sequence alignment result indicates the human GLYATL1 99.7 % identity to troglodytes GLYATL1, 91.4 % identity to monkey GLYATL1, 39.6 % identity to cattle GLYATL1, 39.1 % identity to mouse GLYATL1, 38.9 % identity to chimpanzee GLYATL1, 38.2 % identity to rat GLYATL1, 37.4 % identity to dog GLYATL1, which suggested that GLYATL1 is a relatively conserved protein during evolution. Subsequently, evolutionary relationship of GLYATL1 proteins in the eight species was investigated by phylogeny tree analysis (Figure 2B), which showed the relationship among the GLYATL1 homologous proteins more clearly.

3.2 Chromosomal localization and genomic organization of GLYATL1

After searching the UCSC genomic database ( http://genome.ucsc.edu), the GLYATL1 gene was mapped to chromasome11q12.1. The STS markers (D11S3832, SHGC81112, RH51708) and the putative gene GLYAT and GLYATL2 situated adjacent to the location (Figure 3A). Our search also showed that the GLYATL1 gene has seven exons and six introns and all sequences at the exon-intron junctions comply with the AG-GT consensus sequence (Figure 3B).

3.3 Tissue distribution of GLYATL1

The expression pattern of the human GLYATL1 gene was studied by the semi-quantitative RT-PCR method. The GLYATL1 gene was expressed strongly in liver and kidney, and also, rather weakly expression was detected in pancreas, testis, ovary and stomach. In other 12 tissues, no signal was detected (Figure 4).

3.4 The subcellular localization of GLYATL1 in COS-7 cells

We transiently expressed pCMV-Myc-GLYATL1 in COS-7 cells. After 48 h of transfection, the cells were treated in the way we described in the materials and methods. The results showed that GLYATL1 was a cytoplasm protein when overexpressed in the COS-7 cells. It seems to be localized strongly in ER area as well as cytosolic area. and we also found the protein was punctuated in cytoplasm (Figure 5).

3.5 The GLYATL1 activate the HSE pathway in a dose-dependent manner

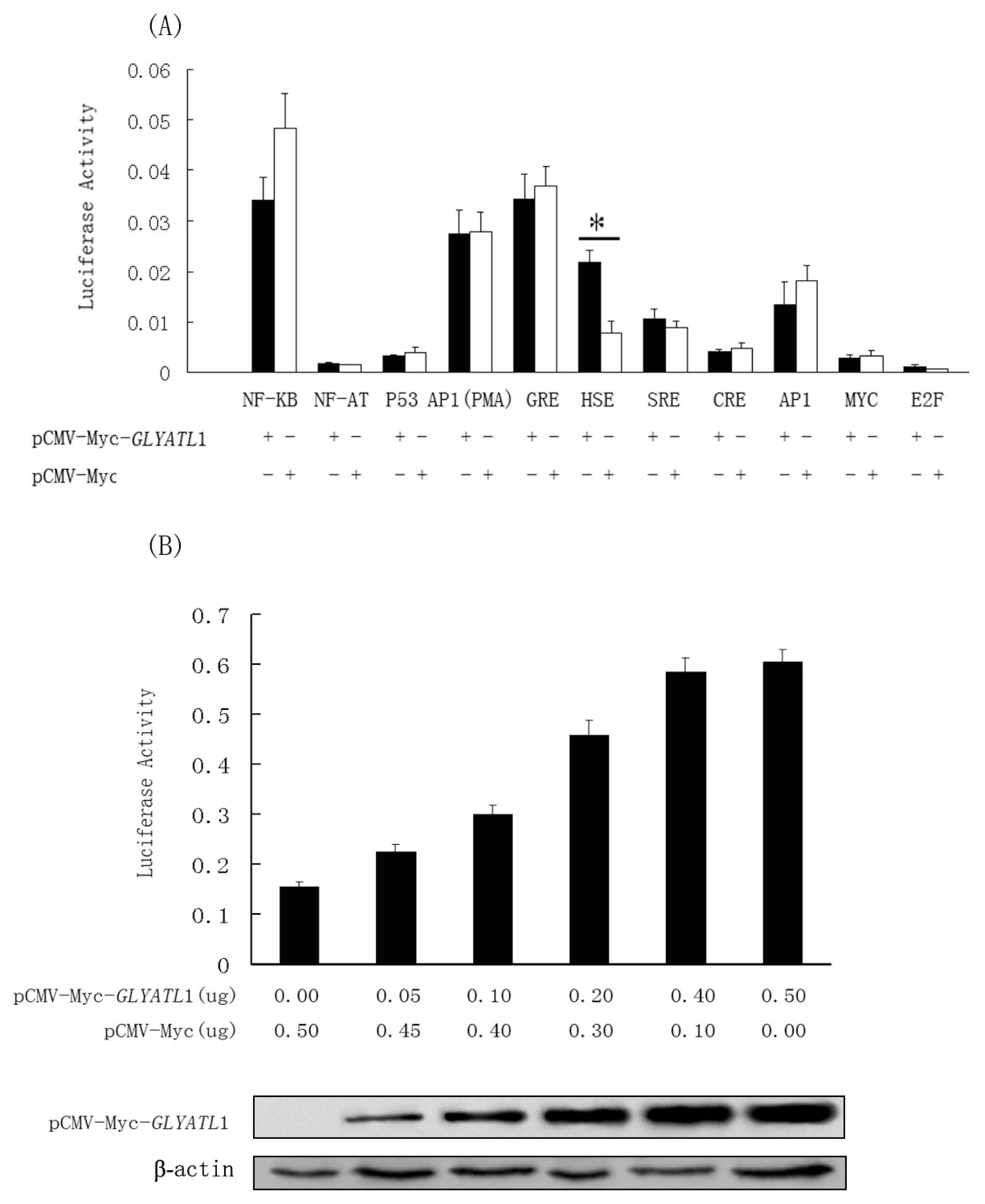
In order to examine the potential role of GLYATL1 on signal pathway, reporter gene assays was performed to investigate the effect of GLYATL1 on NF-KB, NF-AT, P53, AP1(PMA), GRE, HSE, CRE, SRE, AP1, MYC, and E2F. The expression plasmid pCMV-Myc-GLYATL1 was co-transfected with pNF-KB –Luc, pNF-AT-Luc, pP53-Luc, pAP1(PMA)-Luc, pGRE-Luc, pHSE-Luc, pCRE-Luc, pSRE-Luc, pSRE-Luc, pAP1-Luc, pMYC-Luc, and pE2F-Luc, respectively. Mock pCMV-Myc was used as negative control. Interestingly, expression of Myc-GLYATL1 significantly enhanced the HSE-luciferase activity by approximately 400 %, while the others were not activated significantly (p < 0.05, n = 4). (Figure 6A)
Further, we examined whether activation of the transcriptional activity of HSE was proportional to the amount of GLYATL1. In this experiment, a fixed amount of pHSE-Luc, with varying amounts of pCMV-Myc-GLYATL1 was used to transfect HEK 293T cells, and the total amount of DNA was equalized by adding mock pCMV-Myc. As a result, we showed that GLYATL1 induced a dose-dependent activation of the HSE reporter gene (p < 0.05, n = 4). (Figure 6B)

Discussion

The study of acyl-CoA: amino acid N-acyltransferases in liver or kidney appears important for several reasons. First, it may provide an explanation at the molecular level for the wide species diversity found in the excretion of amino acid conjugates of organic acids [4]. Second, it should yield insights into the evolution and genetics of these important detoxifying systems. Third, it may relate to the pathogenesis and possibly the treatment of certain organic acidemias. Finally, it does provide a useful model for studying mechanisms of enzymatic transfer reactions.
During the past five decades, studies around the GLYAT mainly focused on the in vitro biochemical properties of the enzyme. However, the in vivo trait of the GLYAT, such as the genome structure, the cellular phenotype and etc, remained obscure. Although there are some other nucleotide acid sequences and correspondence amino acids sequence deposited in the GenBank database, they are mostly putative contigs which lack of support from experimental evidence. The major contribution of the present study lies in the first identification of a member of the GLYAT family in mRNA and cellular level.
By the means of genome structure analysis, we isolated the human GLYATL1 gene from human adult liver cDNA library. During the procedure of mapping the GLYATL1 gene into the human chromosome 11q12.1, we interestingly found that another two members of this family localized in the neighborhood of the GLYATL1 and there’s no other known gene between them (Figure 3). And, a few partial mRNA with the sequence similarity to the nucleotide sequence of GLYATL domain also localized there. Further, through blast searching the GenBank database, we found that most human mRNA sequence similar to GLYAT localized the 11q12.1 area. This finding implied: on one hand, this gene family might have some other unidentified members besides the GLYAT, GLYATL1, GLYATL2, on the other hand, probably most the members belong to this family were cluster distributed in the 11q12.1 segment.
Previous works have reported the GLYAT protein exists in the liver and kidney tissues [1,69], which is consistent with our experiment result. In the present study, we proved the GLYATL1 mainly expressed in the liver and kidney. Besides, we also detected a rather weak expression signal in some other adult tissue such as pancreas, testis, ovary and stomach. It was not reported before, which might suggest that these tissues, other than liver and kidney, could be the right place for GLYATL1 to execute its molecular function.
In response to elevated temperature, almost all organisms synthesize a certain set of proteins [10], which are collectively referred to as heat shock proteins (HSPs) due to the method of induction. Induction of HSPs is regulated by the trans-acting heat shock factors (HSFs) and cis-acting heat shock element (HSE) present at the promoter region of each heat shock gene. Studies have revealed that many kinds of environmental stress, such as heavy metals, ethanol, amino acid analogues, anoxia and agents capable of perturbing protein structure, cause a similar response [11]. Simultaneously, according to the previous research, the GLYAT was a component element of detoxification procedure in mammals by conjugating endogenous and exogenous carboxylic acids xenobiotics with amino acid. In our study, with the _help of the Mercury Pathway Profiling System, we found that GLYATL1 activated the transcriptional activity of the heat shock factor pathway (HSE) significantly. It was a clue about the correlation between the heat shock response pathway and the GLYATL1 involved detoxification mechanism. One of the possibilities lies in that, when executing its function in cells, GLYATL1 interacts with the heat shock factors (HSFs) and regulate the induction of HSPs consequently. Detail evidence for supporting our speculation is needed by further study.
Figure 1. Nucleotide and deduced amino acid sequences of human GLYATL1 (DQ084381). The nucleotide of 1546 bp cDNA is shown in the top lines and its deduced amino acid sequence is shown below. The ORF extends from nucleotide 241 to 1149, and encodes a protein of 302 amino acids. The in-frame stop codons and polyadenylation signals are boxed. The sequence shaded in black is the Glycine_acyl_tr(Aralkyl acyl-CoA: amino acid N-acyltransferase)domain. Asterisk represents the stop codon. The primers sequences used to clone the DNA segment are underlined.
Figure 1. Nucleotide and deduced amino acid sequences of human GLYATL1 (DQ084381). The nucleotide of 1546 bp cDNA is shown in the top lines and its deduced amino acid sequence is shown below. The ORF extends from nucleotide 241 to 1149, and encodes a protein of 302 amino acids. The in-frame stop codons and polyadenylation signals are boxed. The sequence shaded in black is the Glycine_acyl_tr(Aralkyl acyl-CoA: amino acid N-acyltransferase)domain. Asterisk represents the stop codon. The primers sequences used to clone the DNA segment are underlined.
Ijms 08 00433f1
Figure 2. Bioinformatic analysis of human GLYATL1 Protein. (A) The sequence alignment of deduced amino acid sequences of human GLYATL1 protein and its orthologs. Identical amino acids are shaded in black, similar amino acids are shaded in gray. The sequences used for alignment include: human (AAZ31239), troglodytes (XP_508446) monkey (XP_001092316), rat (NP_001009648), cattle (NP_803479), mouse (BAE38231), dog (XP_540581), chimpanzee (CAH93052); (B) Phylogenetic tree of GLYATL1 and its orthologs. A phylogenetic tree was constructed with the bootstrap N-J method using program Mega with 1000 bootstrap trials.
Figure 2. Bioinformatic analysis of human GLYATL1 Protein. (A) The sequence alignment of deduced amino acid sequences of human GLYATL1 protein and its orthologs. Identical amino acids are shaded in black, similar amino acids are shaded in gray. The sequences used for alignment include: human (AAZ31239), troglodytes (XP_508446) monkey (XP_001092316), rat (NP_001009648), cattle (NP_803479), mouse (BAE38231), dog (XP_540581), chimpanzee (CAH93052); (B) Phylogenetic tree of GLYATL1 and its orthologs. A phylogenetic tree was constructed with the bootstrap N-J method using program Mega with 1000 bootstrap trials.
Ijms 08 00433f2
Figure 3. The chromosomal localization and genomic organization of human GLYATL1. (A) The chromosomal localization of human GLYATL1. Human GLYATL1 gene location at chromosome 11p12.1 by BLAT program in Human Genome Work Draft database ( http://genome.ucsc.edu/). The triangles represent STS markers. Two STS markers (D11S3832 and SHGC16654) are localized near the GLYATL1 gene. The gray hollow arrows blow the STS markers represent the transcription direction of human GLYATL1 gene; (B) Nucleotide sequence of exon-intron junctions of the human GLYATL1 gene; Intron and exon nucleotide sequences are shown in lowercase and uppercase letters, respectively. Conserved donor and acceptor splice sites are shown in bold italic.
Figure 3. The chromosomal localization and genomic organization of human GLYATL1. (A) The chromosomal localization of human GLYATL1. Human GLYATL1 gene location at chromosome 11p12.1 by BLAT program in Human Genome Work Draft database ( http://genome.ucsc.edu/). The triangles represent STS markers. Two STS markers (D11S3832 and SHGC16654) are localized near the GLYATL1 gene. The gray hollow arrows blow the STS markers represent the transcription direction of human GLYATL1 gene; (B) Nucleotide sequence of exon-intron junctions of the human GLYATL1 gene; Intron and exon nucleotide sequences are shown in lowercase and uppercase letters, respectively. Conserved donor and acceptor splice sites are shown in bold italic.
Ijms 08 00433f3
Figure 4. Expression patterns of human GLYATL1. Reverse transcription-PCR analysis of human cDNA for human GLYATL1 and β-MG (as a control). Pre-normalized cDNAs from 18 human adult tissues were purchased from BioChain and employed as templates in PCR reactions containing human GLYATL1-specific primers described in Materials and methods. GLYATL1 was expressed in liver strongly while expressed in kidney and stomach weakly. No signal is detected in other 15 adult tissues.
Figure 4. Expression patterns of human GLYATL1. Reverse transcription-PCR analysis of human cDNA for human GLYATL1 and β-MG (as a control). Pre-normalized cDNAs from 18 human adult tissues were purchased from BioChain and employed as templates in PCR reactions containing human GLYATL1-specific primers described in Materials and methods. GLYATL1 was expressed in liver strongly while expressed in kidney and stomach weakly. No signal is detected in other 15 adult tissues.
Ijms 08 00433f4
Figure 5. Subcelluar localization and expression of GLYATL1 protein in COS-7 cells. Immunofluorescence localization of GLYATL1 in COS-7 cells. Cells expressing Myc-tagged GLYATL1 were stained with monoclonal antibody against Myc epitope. (A, D) The nucleus of cells transfected with pCMV–Myc–GLYATL1 was stained with DAPI. The nucleus was shown by the blue fluorescence; (B, E) The localization of GLYATL1 was shown by the green fluorescenc; (C, F) The merged image of panels (A, B) and (C, D) respectively; (G) Western blot analysis of pCMV–Myc– GLYATL1 expressed in COS-7 cells. The band was approximately 35 kDa, which corresponding to the predicted molecular weight of GLYATL1. Mock pCMV–Myc was used as a control.
Figure 5. Subcelluar localization and expression of GLYATL1 protein in COS-7 cells. Immunofluorescence localization of GLYATL1 in COS-7 cells. Cells expressing Myc-tagged GLYATL1 were stained with monoclonal antibody against Myc epitope. (A, D) The nucleus of cells transfected with pCMV–Myc–GLYATL1 was stained with DAPI. The nucleus was shown by the blue fluorescence; (B, E) The localization of GLYATL1 was shown by the green fluorescenc; (C, F) The merged image of panels (A, B) and (C, D) respectively; (G) Western blot analysis of pCMV–Myc– GLYATL1 expressed in COS-7 cells. The band was approximately 35 kDa, which corresponding to the predicted molecular weight of GLYATL1. Mock pCMV–Myc was used as a control.
Ijms 08 00433f5
Figure 6. Transcriptional function analysis of human GLYATL1 protein. (A) The role of GLYATL1 in 11 signal pathways (NF-κB, NF-AT, P53, AP1(PMA) GRE, HSE, SRE, CRE, AP1, MYC and E2Fpathway) in HEK 293T cells. HEK 293T cells were co-transfected with individual reporter plasmid (100 ng) and pCMV-Myc-GLYATL1 (300 ng), and 10 ng of plasmid pRL-SV40 (Promega) encoding Renilla luciferase was used as the internal control in each transfection. Compared with that of the cotransfection of the mock Pcmv-Myc and the plasmid pCMV-Myc-GLYATL1, expression of GLYATL1 significantly increased the transcriptional activity of HSE-luciferase reporter (indicated by asterisk), while did not significantly change the transcriptional activities of NF-κB, NF-AT, P53, AP1(PMA) GRE, SRE, CRE, AP1, MYC and E2F; (B) Dose-dependent activation of the transcriptional activity of HSE-luciferase reporter by pCMV-Myc-GLYATL1. The transfected amounts of pCMV-Myc-GLYATL1 are shown in the figure. The expression level of GLYATL1 was determined by Western blot with the anti-Myc monoclonal antibody and shown below each bar. Luciferase activity was expressed as mean ± s.e of triplicates from representative experiments performed at least three times.
Figure 6. Transcriptional function analysis of human GLYATL1 protein. (A) The role of GLYATL1 in 11 signal pathways (NF-κB, NF-AT, P53, AP1(PMA) GRE, HSE, SRE, CRE, AP1, MYC and E2Fpathway) in HEK 293T cells. HEK 293T cells were co-transfected with individual reporter plasmid (100 ng) and pCMV-Myc-GLYATL1 (300 ng), and 10 ng of plasmid pRL-SV40 (Promega) encoding Renilla luciferase was used as the internal control in each transfection. Compared with that of the cotransfection of the mock Pcmv-Myc and the plasmid pCMV-Myc-GLYATL1, expression of GLYATL1 significantly increased the transcriptional activity of HSE-luciferase reporter (indicated by asterisk), while did not significantly change the transcriptional activities of NF-κB, NF-AT, P53, AP1(PMA) GRE, SRE, CRE, AP1, MYC and E2F; (B) Dose-dependent activation of the transcriptional activity of HSE-luciferase reporter by pCMV-Myc-GLYATL1. The transfected amounts of pCMV-Myc-GLYATL1 are shown in the figure. The expression level of GLYATL1 was determined by Western blot with the anti-Myc monoclonal antibody and shown below each bar. Luciferase activity was expressed as mean ± s.e of triplicates from representative experiments performed at least three times.
Ijms 08 00433f6
Table 1. Neucleotide sequence of oligonucleotides primers.
Table 1. Neucleotide sequence of oligonucleotides primers.
PrimersOrientationSequence
cDNA cloning primers
GLYATL1-ForwardSense5′-CAAGGTCTGAAGCATCCCACAGAATG-3′
GLYATL1-ReverseAntisense5′-CCATTTTAGACAATGAAGCTGCTTAGTA-3′
RT-PCR primers
GLYATL1-RT-ForwardSense5′-AAACTGTGTTCAAATAAGATGGTGTCACAAG-3′
GLYATL1-RT-ReverseAntisense5′-CAGCACCTCCATGTTGAAGGGGT-3′
β-MG-FSense5′-ATGACTATGCCTGCCGTGTGAAC-3′
β-MG-RAntisense5′-TGTGGAGCAACCTGCTCAGATAC-3′
Gene expression primers
GLYATL1-pCMV-myc-FSense5′-AAAGAATTCGGATGATCCTACTGAATAACTCC-3′
GLYATL1-pCMV-myc-RAntisense5′-AAACTCGAGCTAAAATGGAACTAGATTCTGTG-3′

Acknowledgements

This work was supported by the National 973 program of China, 863 projects of China and the National Natural Science foundation of China (30024001). The nucleotide sequence reported in this study has been submitted to GenBank under accession number DQ084381.

References

  1. Schachter, D.; Taggart, J.V. Benzoyl coenzyme A and hippurate synthesis. J. Biol. Chem 1953, 203, 925–934. [Google Scholar]
  2. Gatley, S.J.; Sherratt, H.S. The synthesis of hippurate from benzoate and glycine by rat liver mitochondria. Submitochondrial localization and kinetics. Biochem. J 1977, 166, 39–47. [Google Scholar]
  3. Vessey, D.A.; Hu, J. Isolation from bovine liver mitochondria and characterization of three distinct carboxylic acid:CoA ligases with activity toward xenobiotics. J. Biochem. Toxicol 1995, 10, 329–337. [Google Scholar]
  4. Bartlett, K.; Gompertz, D. The specificity of glycine-N-acylase and acylglycine excretion in the organicacidaemias. Biochem. Med 1974, 10, 15–23. [Google Scholar]
  5. Webster, L.T. Identification of separate acyl-CoA:glycine and acyl-CoA:L-glutamine N-acyltransferase activities in mitochondrial fractions from liver of rhesus monkey and man. J. Biol. Chem 1976, 251, 3352–3358. [Google Scholar]
  6. Mawal, Y.R.; Qureshi, I.A. Purification to homogeneity of mitochondrial acyl-CoA:glycine Nacyltransferase from human liver. Biochem. Biophys. Res. Commun 1994, 205, 1373–1379. [Google Scholar]
  7. van der Westhuizen, F.H.; Pretorius, P.J.; Erasmus, E. The utilization of alanine, glutamic acid, and serine as amino acid substrates for glycine N-acyltransferase. J. Biochem. Mol. Toxicol 2000, 14, 102–109. [Google Scholar]
  8. Nandi, D.L.; Lucas, S.V.; Webster, L.T., Jr. Benzoyl-coenzyme A:glycine N-acyltransferase and phenylacetyl-coenzyme A:glycine N-acyltransferase from bovine liver mitochondria. Purification and characterization. J. Biol. Chem 1979, 254, 7230–7237. [Google Scholar]
  9. Kelley, M.; Vessey, D.A. Characterization of the acyl-CoA:amino acid N-acyltransferases from primate liver mitochondria. J. Biochem. Toxicol 1994, 9, 153–158. [Google Scholar]
  10. Lindquist, S. The heat-shock response. Annu. Rev. Biochem 1986, 55, 1151–1191. [Google Scholar]
  11. Ohtsuka, K. A novel 40-kDa protein induced by heat shock and other stresses in mammalian and avian cells. Biochem. Biophys. Res. Commun 1990, 166, 642–647. [Google Scholar]

Share and Cite

MDPI and ACS Style

Zhang, H.; Lang, Q.; Li, J.; Zhong, Z.; Xie, F.; Ye, G.; Wan, B.; Yu, L. Molecular Cloning and Characterization of a Novel Human Glycine-N-acyltransferase Gene GLYATL1, Which Activates Transcriptional Activity of HSE Pathway. Int. J. Mol. Sci. 2007, 8, 433-444. https://doi.org/10.3390/i8050433

AMA Style

Zhang H, Lang Q, Li J, Zhong Z, Xie F, Ye G, Wan B, Yu L. Molecular Cloning and Characterization of a Novel Human Glycine-N-acyltransferase Gene GLYATL1, Which Activates Transcriptional Activity of HSE Pathway. International Journal of Molecular Sciences. 2007; 8(5):433-444. https://doi.org/10.3390/i8050433

Chicago/Turabian Style

Zhang, Haoxing, Qingyu Lang, Jie Li, Zhaomin Zhong, Fang Xie, Guangming Ye, Bo Wan, and Long Yu. 2007. "Molecular Cloning and Characterization of a Novel Human Glycine-N-acyltransferase Gene GLYATL1, Which Activates Transcriptional Activity of HSE Pathway" International Journal of Molecular Sciences 8, no. 5: 433-444. https://doi.org/10.3390/i8050433

APA Style

Zhang, H., Lang, Q., Li, J., Zhong, Z., Xie, F., Ye, G., Wan, B., & Yu, L. (2007). Molecular Cloning and Characterization of a Novel Human Glycine-N-acyltransferase Gene GLYATL1, Which Activates Transcriptional Activity of HSE Pathway. International Journal of Molecular Sciences, 8(5), 433-444. https://doi.org/10.3390/i8050433

Article Metrics

Back to TopTop