Preparation of Cyclic Urethanes from Amino Alcohols and Carbon Dioxide Using Ionic Liquid Catalysts with Alkali Metal Promoters
Abstract
:1. Introduction

2. Results and Discussion
2.1. Activity of different ionic liquids
| Cation | Anion (X-) | Abbreviation |
|---|---|---|
![]() R = Butyl, Octyl | Br-, Cl-, PF6-, BF4- | BMIM-X (R = Butyl) OMIM-X (R = Octyl) |
![]() | Br- | TBAB |
![]() | Br- | TBPB |

2.2. Additive effects of alkali metal compounds
2.3. Influence of CO2 pressure and reaction paths
| Additive | Conversion (%) | Selectivity (%) | ||
|---|---|---|---|---|
| 2 | 3 | Others | ||
| - | 67 | 18 | 51 | 31 |
| LiCO3 | 68 | 15 | 40 | 45 |
| K2CO3 | 55 | 34 | 66 | 0 |
| Cs2CO3 | 66 | 15 | 35 | 50 |
| KOH | 59 | 17 | 38 | 45 |
| CsOH | 68 | 15 | 62 | 22 |



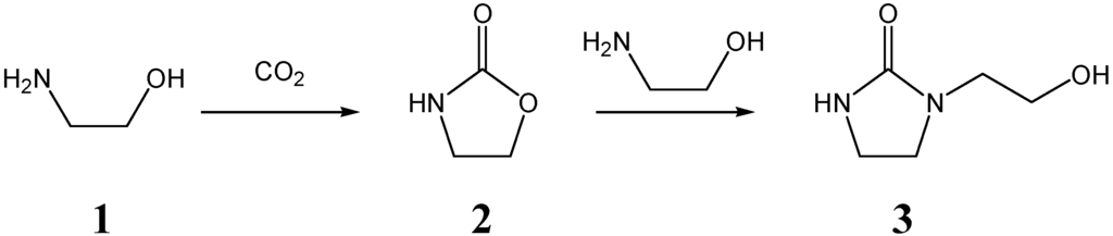
2.4. Application to different amino alcohols


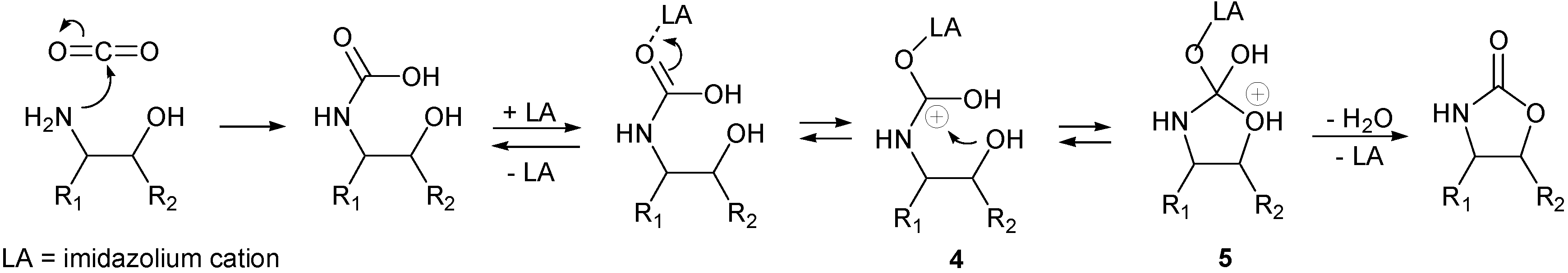
2.5. Reaction mechanisms


3. Experimental Section
References
- Newman, M.S.; Kutner, A. New Reactions Involving Alkaline Treatment of 3-Nitroso-2-oxazolidones. J. Am. Chem. Soc. 1951, 73, 4199–4204. [Google Scholar] [CrossRef]
- Fu, Y.; Baba, T.; Ono, Y. Carbonylation of o-Phenylenediamine and o-Aminophenol with Dimethyl Carbonates Using Lead Compounds as Catalysts. J. Catal. 2001, 197, 91–97. [Google Scholar] [CrossRef]
- Vani, P.S.N.; Chida, A.S.; Srinivasan, R.; Chandrasekharam, M.; Singh, A.K. Synthesis of N-vinyl-2-oxazolidone: A Commercially Important Intermediate. Syn. Commun. 2001, 31, 2043–2046. [Google Scholar] [CrossRef]
- Yoshida, T.; Kambe, N.; Murai, S.; Sonoda, N. A New synthesis of Cyclic Ureas, Cyclic Urethanes, and a Quinazolinedone. Selenium-Assisted Carbonylation of Aromatic Amine with Carbon Monoxide. Bull. Chem. Soc. Jpn. 1987, 60, 1793–1799. [Google Scholar] [CrossRef]
- Imada, Y.; Mitsue, Y.; Ike, K.; Washizuka, K.; Murahashi, S. Palladium-Catalyzed Double and Single Carbonylations of β-Amino Alcohols. Selective Synthesis of Morpholine-2,3-diones and Oxazolidin-2-ones and Applications for Synthesis α-Oxo Carboxylic Acids. Bull. Chem. Soc. Jpn. 1996, 69, 2079–2090. [Google Scholar] [CrossRef]
- Gabriele, B.; Salerno, G.; Brindisi, D.; Costa, M.; Chiusoli, G. P. Synthesis of 2-Oxazolidinones by Direct Palladium Catalyzed Oxidative Carbonylation of 2-Amino-1-alkanols. Org. Lett. 2000, 2, 625–627. [Google Scholar] [CrossRef]
- Gabriele, B.; Mancuso, R.; Salerno, G.; Costa, M. An Improved Procedure for the Palladium-Catalyzed Oxidative Carbonylation of β-Amino Alcohols to Oxiazokidin-2-ones. Org. Chem. 2003, 68, 601–604. [Google Scholar] [CrossRef]
- Close, W.J.; Tiffany, B.D.; Spielman, M.A. The Analgestic Activity of Some Benzoxazolone Derivatives. J. Am Chem. Soc. 1949, 71, 1265–1268. [Google Scholar] [CrossRef]
- Close, W.J. Antivulsant Drigs. IV Some- 2-Oxazolidones. J. Am. Chem. Soc. 1951, 73, 95–98. [Google Scholar] [CrossRef]
- Bhanage, B.M.; Fujita, S.; Ikushima, Y.; Arai, M. Non-catalytic Clean Synthesis Route Using Urea to Cyclic Urea and Cyclic Urethane Compounds. Green Chem. 2004, 5, 429–432. [Google Scholar]
- Bhanage, B.M.; Fujita, S.; Ikushima, Y.; Arai, M. Synthesis of Cyclic Ureas and Urethanes from Alkylene Diamines and Amino Alcohols with Pressurized Carbon Dioxide in the Absence of Catalysts. Green Chem. 2003, 5, 340–343. [Google Scholar] [CrossRef]
- Dozen, Y.; Ukita, M. Preparation of 2-Oxazolidinones. Jpn. Kokakai JP 5742678, 1982. [Google Scholar]
- Kawanami, H.; Ikushima, Y. Synthesis of 2-Oxazolidinone from β-Aminoalcohol Using Supercritical Carbon Dioxide. J. Jpn. Petrol. Inst. 2002, 45, 321–324. [Google Scholar] [CrossRef]
- Kodaka, M.; Tomihiro, T.; Lee, A.L.; Okuno, H. Carbon Dioxide Fixation Forming Oxazolidone Coupled with a Thiol/Fe4S4 Cluster Redox System. J. Chem. Soc. Chem. Commun. 1989, 1479–1481. [Google Scholar]
- Kubota, Y.; Kodaka, M.; Tomohiro, T.; Okuno, H. Formation of Cyclic Urethanes from Amno Alcohols and Carbon Dioxide Using Phosphorous(III) Reagents and Halogenoalkanes. J. Chem. Soc. Perkin Trans. I 1993, 5–6. [Google Scholar]
- Matsuda, H.; Baba, A.; Nomura, R.; Kori, M.; Ogawa, S. Improvement of the Process in the Synthesis of 2-Oxazolidinones from 2-Amino Alcohols and Carbon Dioxide by Use of Triphenylstibine Oxide as Catalyst. Ind. Eng. Chem. Prod. Res. Dev. 1985, 24, 239–242. [Google Scholar]
- Nomura, R.; Yamamoto, M.; Matsuda, H. Preparation of Cyclic Ureas from Carbon Dioxide and Diamines Catalyzed by Triphenylstibine Oxide. Ind. Eng. Chem. Res. 1987, 26, 1056–1059. [Google Scholar] [CrossRef]
- Tominaga, K.; Sasaki, Y. Synthesis of 2-Oxazolidinones from CO2 and 1,2-Aminoalcohols Catalyzed by n-Bu2SnO. Synlett 2002, 307–309. [Google Scholar] [CrossRef]
- Ono, Y. Catalysis in the production and reactions of dimethyl carbonate, an environmentally benign building block. Appl. Catal. A: Gen. 1997, 155, 133–166. [Google Scholar] [CrossRef]
- Ono, Y. Dimethyl carbonate for environmentally benign reactions. Catal. Today 1997, 35, 15–25. [Google Scholar] [CrossRef]
- Pacheco, M.A.; Marshall, X.L. Review of Dimethyl Carbonate Manufacture and Its Characteristics as a Fuel Additive. Energy Fuels 1997, 11, 2–29. [Google Scholar] [CrossRef]
- Delledonne, D.; Rivetti, F.; Romano, U. Developments in the production and application of dimethylcarbonate. Appl. Catal. A: Gen. 2001, 221, 241–251. [Google Scholar] [CrossRef]
- Sheldon, R. Catalytic reactions in ionic liquids. Chem. Commun. 2001, 2399–2407. [Google Scholar] [CrossRef]
- Zhao, D.B.; Wu, M.; Kou, Y.; Min, E. Ionic liquids: application in catalysis. Catal. Today 2002, 74, 157–189. [Google Scholar] [CrossRef]
- Wasserscheid, P.; Keim, W. Ionic Liquids–New “Solutions” for Transition Metal Catalysis. Angew. Chem. Int. Ed. 2000, 39, 3772–2789. [Google Scholar] [CrossRef]
- Dupont, J.; de Souza, F.; Suarez, P.A.Z. Ionic Liquid (Molten Salt) Phase Organometallic Catalysis. Chem. Rev. 2002, 102, 3667–3692. [Google Scholar] [CrossRef]
- Holbrey, J.D.; Seddon, K.R. Ionic Liquids. Clean Prod. Process. 1999, 1, 223–236. [Google Scholar]
- Blanchard, L.A.; Hancu, D.; Beckman, E.J.; Brennecke, J.F. Green processing using ionic liquids and CO2. Nature 1999, 399, 28–29. [Google Scholar]
- Anthony, J.L.; Maginn, E.J.; Brennecke, J.F. Solubilities and Thermodynamic Properties of Gases in the Ionic Liquid 1-n-Butyl-3-methylimidazollium Hexafluorophosphate. J. Phys. Chem. B 2002, 106, 7315–7320. [Google Scholar] [CrossRef]
- Sun, J.; Fujita, S.; Arai, M. Development in the Green Synthesis of Cyclic Carbonate Using Ionic Liquids. J. Organomet. Chem. 2005, 690, 3490–3497. [Google Scholar] [CrossRef]
- Kawanami, H.; Matsumoto, H.; Ikushima, Y. Effective scCO2-ionic Liquid Reaction System Based on Symmetric Aliphatic Ammonium Salts for the Rapid CO2 Fixation with Aziridine to 2-Oxazolidinone. Chem. Lett. 2005, 34, 60–61. [Google Scholar] [CrossRef]
- Gu, Y.; Zhang, Q.; Duan, Z.; Zhang, J.; Zhang, S.; Deng, Y. Ionic Liquid as an Efficient Promoting Medium for Fixation of Carbon Dioxide: A Clean Method for the Synthesis of 5-Methylene-3-oxazolidin-2-ones from Propargylic Alcohols, Amines, and Carbon Dioxide Catalyzed by Cu(I) under Mild Conditions. J. Org. Chem. 2005, 70, 7376–7380. [Google Scholar] [CrossRef]
- Shi, F.; Deng, Y.; SiMa, T.; Peng, J.; Gu, Y.; Qiao, B. Alternatives to Phosgene and Carbon Monoxide: Synthesis of Symmetric Urea Derivatives with Carbon Dioxide in Ionic Liquids. Angew. Chem. Int. Ed. 2003, 42, 3257–3260. [Google Scholar] [CrossRef]
- Fujita, S.; Bhanage, B.M.; Arai, M. Progress in Catalysis Research; Bevy, L.P., Ed.; Nova Science Publishers Inc.: New York, 2005; p. 57. [Google Scholar]
- Fujita, S.; Arai, M. Chemical Fixation of Carbon Dioxide: Synthesis of Cyclic Carbonate, Dimethyl Carbonate, Cyclic Urea and Cyclic Urethane. J. Jpn. Petrol. Inst. 2005, 48, 67–75. [Google Scholar] [CrossRef]
- Zhao, F.; Fujita, S.; Arai, M. Developments and Applications of Supported Liquid Phase Catalysts. Curr. Org. Chem. 2006, 10, 1681–1695. [Google Scholar] [CrossRef]
- Howarth, J.; Hanlon, K.; Fayne, D.; McCorma, P. Moisture Stable Dialklimidazolium Salts as Heterogeneous and Homogeneous Lewis Acids in the Diels-Alder Reaction. Tetrahedron Lett. 1997, 38, 3097–3100. [Google Scholar] [CrossRef]
- Thomas, J.-L.; Howarth, J.; Hanlon, K.; McGuirk, D. Ferrocenyl imidazolium salts as a new class of anion receptors with C–H∙∙∙X– hydrogen bonding. Tetrahedron Lett. 2000, 41, 413–416. [Google Scholar]
- Kim., Y.J.; Varma, R.S. Tetrahaloinate(III)-Based Ionic Liquids in the Coupling Reaction of Carbon Dioxide and Epoxide To Generate Cyclic Carbonates: H-Bonding and mechanistic Studies. J. Org. Chem. 2005, 70, 7882–7891. [Google Scholar] [CrossRef]
- Sun, J.; Fujita, S.; Zhao, F.; Arai, M. Synthesis of Styrene Carbonate from Styrene Oxide and Carbon Dioxide in the Presence of Zinc Bromide and Ionic Liquid under Mild Conditions. Green Chem. 2004, 6, 613–616. [Google Scholar] [CrossRef]
- Zhao, F.; Ikushima, Y.; Chatterjee, M.; Sato, O.; Arai, M. Hydrogenation of an α,β-unsaturated aldehyde catalyzed with ruthenium complexes with different fluorinated phosphine compounds in supercritical carbon dioxide and conventional organic solvents. J. Supercrit. Fluids 2003, 27, 65–72. [Google Scholar] [CrossRef]
© 2006 by MDPI (http://www.mdpi.org). Reproduction is permitted for noncommercial purposes.
Share and Cite
Fujita, S.-i.; Kanamaru, H.; Senboku, H.; Arai, M. Preparation of Cyclic Urethanes from Amino Alcohols and Carbon Dioxide Using Ionic Liquid Catalysts with Alkali Metal Promoters. Int. J. Mol. Sci. 2006, 7, 438-450. https://doi.org/10.3390/i7100438
Fujita S-i, Kanamaru H, Senboku H, Arai M. Preparation of Cyclic Urethanes from Amino Alcohols and Carbon Dioxide Using Ionic Liquid Catalysts with Alkali Metal Promoters. International Journal of Molecular Sciences. 2006; 7(10):438-450. https://doi.org/10.3390/i7100438
Chicago/Turabian StyleFujita, Shin-ichiro, Hiroshi Kanamaru, Hisanori Senboku, and Masahiko Arai. 2006. "Preparation of Cyclic Urethanes from Amino Alcohols and Carbon Dioxide Using Ionic Liquid Catalysts with Alkali Metal Promoters" International Journal of Molecular Sciences 7, no. 10: 438-450. https://doi.org/10.3390/i7100438
APA StyleFujita, S.-i., Kanamaru, H., Senboku, H., & Arai, M. (2006). Preparation of Cyclic Urethanes from Amino Alcohols and Carbon Dioxide Using Ionic Liquid Catalysts with Alkali Metal Promoters. International Journal of Molecular Sciences, 7(10), 438-450. https://doi.org/10.3390/i7100438



