Carrageenan–Acyclovir Complex and Its Liposomal Form
Abstract
1. Introduction
2. Results
2.1. Polysaccharide Characteristics
2.2. The Interaction of CRG with ACV
2.2.1. FTIR Analysis
2.2.2. Quantum-Chemical Calculations to Evaluate the Binding of CRG with ACV
2.3. Dynamic Light Scattering (DLS) and Electrophoretic Properties of the CRG/ACV Complex
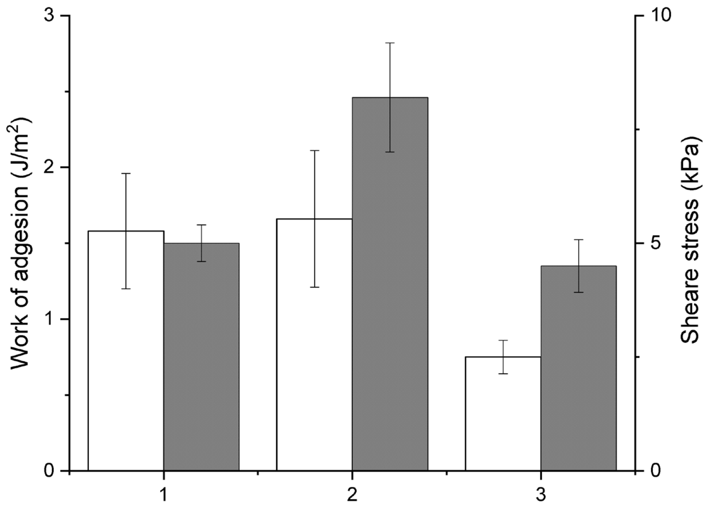
2.4. Mucoadhesive Properties of the CRG/ACV Complex
2.5. Characterization of CRG/ACV-Containing Liposomes
2.6. Antiherpetic Activity of CRG/ACV Complex and Its Liposome Form
3. Discussion
4. Materials and Methods
4.1. Isolation and Analysis of CRGs
4.2. FTIR and NMR Spectra
4.3. Quantum-Chemical Calculations
4.4. ACV/CRG Complexes
4.5. Liposome Preparation
4.6. Dynamic Light Scattering (DLS) and Electrophoretic Analysis
4.7. Complex Formation with Mucin
4.8. Determination of Mucoadhesive Properties of CRG/ACV Complex by the Mechanical Method
4.9. Antiherpetic Activity
4.9.1. Virus and Cell Culture
4.9.2. Cytotoxicity and Anti-HSV-1 Activity of CRG/ACV Complex and Its Liposomal Form
4.10. Statistical Analysis
Supplementary Materials
Author Contributions
Funding
Institutional Review Board Statement
Informed Consent Statement
Data Availability Statement
Acknowledgments
Conflicts of Interest
References
- Jiang, J.-L.; Zhang, W.-Z.; Ni, W.-X.; Shao, J.-W. Insight on structure-property relationships of carrageenan from marine red algal: A review. Carbohydr. Polym. 2021, 257, 117642. [Google Scholar] [CrossRef]
- Yermak, I.M.; Barabanova, A.O.; Aminin, D.L.; Davydova, V.N.; Sokolova, E.V.; Solov’eva, T.F.; Kim, Y.H.; Shin, K.S. Effects of structural peculiarities of carrageenans on immunomodulation and anti-coagulant activities. Carbohydr. Polym. 2012, 87, 713–720. [Google Scholar] [CrossRef] [PubMed]
- Knutsen, S.H.; Myslabodski, D.E.; Larsen, B.; Usov, A.I. A modified system of nomenclature for red algal galactans. Bot. Mar. 1994, 37, 163–169. [Google Scholar] [CrossRef]
- Das, I.J.; Bal, T. Evaluation of opuntia-carrageenan superporous hydrogel (OPM-CRG SPH) as an effective biomaterial for drug release and tissue scaffold. Int. J. Biol. Macromol. 2024, 256, 128503. [Google Scholar] [CrossRef] [PubMed]
- Dong, Y.; Wei, Z.; Xue, C. Recent advances in carrageenan-based delivery systems for bioactive. Trends Food Sci. Technol. 2021, 112, 348–361. [Google Scholar] [CrossRef]
- Edo, G.I.; Jikah, A.; Elooghene, E.M.; Oberhiri, S.O.; Yousif, E.; Gaaz, T.S.; Isoje, E.F.; Owheruo, J.O.; Akpoghelie, P.O.; Igbuku, U.A.; et al. Exploring carrageenan: Biological activities and applications in drug delivery and tissue engineering. Cur. Pharmacol. Rep. 2025, 11, 34. [Google Scholar] [CrossRef]
- Bhatt, A.; Purohit, P.; Abdellattif, M.H. Precision-engineered carrageenan gels: Boosting the efficacy, selectivity, and release of celecoxib for lung cancer therapy. Anti-Cancer Agents Med. Chem. 2025, 25, 302–312. [Google Scholar] [CrossRef]
- Álvarez-Viñas, M.; Souto, S.; Flórez-Fernández, N.; Torres, M.D.; Bandín, I.; Domínguez, H. Antiviral activity of carrageenans and processing implications. Mar. Drugs 2021, 19, 437. [Google Scholar] [CrossRef]
- Banerjee, A.; Kulkarni, S.; Mukherjee, A. Herpes simplex virus: The hostile guest that takes over your home. Front. Microbiol. 2020, 11, 733. [Google Scholar] [CrossRef]
- Park, J.H.; Kim, Y.H.; Kwon, T.K.; Park, J.H.; Woo, J.S. Antiviral Composition Comprising a Carrageenan as an Active Ingredient. Korea Patent KR20160003964A, 12 January 2016. [Google Scholar]
- Fernández-Romero, J.A.; Abraham, C.J.; Rodriguez, A.; Kizima, L.; Jean-Pierre, N.; Menon, R.; Begay, O.; Seidor, S.; Ford, B.E.; Gil, P.I.; et al. Zinc acetate/carrageenan gels exhibit potent activity in vivo against high-dose herpes simplex virus 2 vaginal and rectal challenge. Antimicrob. Agents Chemother. 2012, 56, 358–368. [Google Scholar] [CrossRef]
- Turner, L.D.; Beckingsale, P. Acyclovir-resistant herpetic keratitis in a solid-organ transplant recipient on systemic immunosuppression. Clin. Ophthalmol. 2013, 7, 229–232. [Google Scholar] [CrossRef] [PubMed]
- Pan, D.; Kaye, S.B.; Hopkins, M.; Kirwan, R.; Hart, I.J.; Coen, D.M. Common and new acyclovir resistant herpes simplex virus-1 mutants causing bilateral recurrent herpetic keratitis in an immunocompetent patient. J. Infect. Dis. 2014, 209, 345–349. [Google Scholar] [CrossRef] [PubMed]
- Spruance, S.L.; Kriesel, J.D. Treatment of herpes simplex labialis. Herpes J. IHMF 2002, 9, 64–69. [Google Scholar] [CrossRef]
- Asvadi, N.H.; Dang, N.T.T.; Davis-Poynter, N.; Coombes, A.G.A. Evaluation of microporous polycaprolactone matrices for controlled delivery of antiviral microbicides to the female genital tract. J. Mater. Sci. Mater. Med. 2013, 24, 2719–2727. [Google Scholar] [CrossRef]
- Mukherjee, B.; Balaram, P.; Buddhadev, L.; Mukherjee, A. Sustained release of acyclovir from nano-liposomes and nano-niosomes: An in vitro study. Int. J. Nanomed. 2007, 2, 213–225. [Google Scholar]
- Gandhi, A.; Jana, S.; Sen, K.K. In-vitro release of acyclovir loaded Eudragit RLPO® nanoparticles for sustained drug delivery. Int. J. Biol. Macromol. 2014, 67, 478–482. [Google Scholar] [CrossRef]
- Babu, G.N.; Muthukaruppan, M.; Ahad, H.A. Azadirachta indica fruit mucilage aided mucoadhesive microspheres of acyclovir for drug entrapment and mucoadhesive time assets with design-expert software. Indian J. Pharm. Educ. Res. 2025, 59, 243–255. [Google Scholar] [CrossRef]
- Pacheco-Quito, E.M.; Ruiz-Caro, R.; Veiga, M.D. Carrageenan: Drug delivery systems and other biomedical applications. Mar. Drugs 2020, 18, 583. [Google Scholar] [CrossRef]
- Yermak, I.M.; Davydova, V.N.; Volod’ko, A.V. Mucoadhesive marine polysaccharides. Mar. Drugs 2022, 20, 522. [Google Scholar] [CrossRef]
- Nanaki, S.; Karavas, E.; Kalantzi, L.; Bikiaris, D. Miscibility study of carrageenan blends and evaluation of their effectiveness as sustained release carriers. Carbohydr. Polym. 2010, 79, 1157–1167. [Google Scholar] [CrossRef]
- Liu, Y.; Zhu, Y.; Wei, G.; Lu, W. Effect of carrageenan on poloxamer-based in situ gel for vaginal use: Improved in vitro and in vivo sustained-release properties. Eur. J. Pharm. Sci. 2009, 37, 306–312. [Google Scholar] [CrossRef]
- Sánchez-Sánchez, M.P.; Martín-Illana, A.; Ruiz-Caro, R.; Bermejo, P.; Abad, M.J.; Carro, R.; Bedoya, L.M.; Tamayo, A.; Rubio, J.; Fernández-Ferreiro, A.; et al. Chitosan and kappa-carrageenan vaginal acyclovir formulations for prevention of genital herpes. In vitro and ex vivo evaluation. Mar. Drugs 2015, 13, 5976–5992. [Google Scholar] [CrossRef] [PubMed]
- Krylova, N.V.; Gorbach, V.I.; Iunikhina, O.V.; Pott, A.B.; Glazunov, V.P.; Kravchenko, A.O.; Shchelkanov, M.Y.; Yermak, I.M. Antiherpetic activity of carrageenan complex with echinochrome A and its liposomal form. Int. J. Mol. Sci. 2022, 23, 15754. [Google Scholar] [CrossRef] [PubMed]
- Yermak, I.M.; Davydova, V.N.; Kravchenko, A.O.; Chistyulin, D.A.; Pimenova, E.A.; Glazunov, V.P. Mucoadhesive properties of sulphated polysaccharides carrageenans from red seaweed families Gigartinaceae and Tichocarpaceae. Int. J. Biol. Macromol. 2020, 142, 634–642. [Google Scholar] [CrossRef] [PubMed]
- Beltrán-Gracia, E.; López-Camacho, A.; Higuera-Ciapara, I.; Velázquez-Fernández, J.B.; Vallejo-Cardona, A.A. Nanomedicine review: Clinical developments in liposomal applications. Cancer Nanotechnol. 2019, 10, 11. [Google Scholar] [CrossRef]
- Yermak, I.M.; Kim, Y.H.; Titlynov, E.A.; Isakov, V.V.; Solov’eva, T.F. Chemical structure and gel properties of carrageenans from algae belonging to the Gigartinaceae and Tichocarpaceae, collected from the Russian Pacific Coast. J. Appl. Phycol. 1999, 11, 41–48. [Google Scholar] [CrossRef]
- Pereira, L.; Amado, A.M.; Critchley, A.T.; van de Velde, F.; Ribeiro-Claro, P.J.A. Identification of selected seaweed polysaccharides (phycocolloids) by vibrational spectroscopy (FTIR-ATR and FT-Raman). Food Hydrocoll. 2009, 23, 1903–1909. [Google Scholar] [CrossRef]
- Nisha, S.V.D.; Joe, I.H. Quantum chemical computation and spectroscopic investigation on antiviral drug Acyclovir: In-silico and in-vitro analysis. J. Mol. Struct. 2021, 1233, 130033. [Google Scholar] [CrossRef]
- Shamshina, J.L.; Cojocaru, O.A.; Kelley, S.P.; Bica, K.; Wallace, S.P.; Gurau, G.; Rogers, R.D. Acyclovir as an ionic liquid cation or anion can improve aqueous solubility. ACS Omega 2017, 2, 3483–3493. [Google Scholar] [CrossRef]
- Patwari, G.N.; Lisy, J.M. Mimicking the solvation of aqueous Na+ in the gas phase. J. Chem. Phys. 2003, 118, 8555–8558. [Google Scholar] [CrossRef]
- Albarkah, Y.A.; Green, R.J.; Khutoryanskiy, V.V. Probing the mucoadhesive interactions between porcine gastric mucin and some water-soluble polymers. Macromol. Biosci. 2015, 15, 1546–1553. [Google Scholar] [CrossRef] [PubMed]
- Khutoryanskiy, V.V. Advances in mucoadhesion and mucoadhesive polymers. Macromol. Biosci. 2011, 11, 748–764. [Google Scholar] [CrossRef] [PubMed]
- Smart, J.D. The basics and underlying mechanisms of mucoadhesion. Adv. Drug Deliv. Rev. 2005, 57, 1556–1568. [Google Scholar] [CrossRef] [PubMed]
- Khan, M.A. Targeted drug delivery using tuftsin-bearing liposomes: Implications in the treatment of infectious diseases and tumors. Curr. Drug Targets 2021, 22, 770–778. [Google Scholar] [CrossRef]
- Geng, W.-C.; Jiang, Z.-T.; Chen, S.-L.; Guo, D.-S. Supramolecular interaction in the action of drug delivery systems. Chem. Sci. 2024, 15, 7811–7823. [Google Scholar] [CrossRef]
- Krylova, N.V.; Kravchenko, A.O.; Iunikhina, O.V.; Pott, A.B.; Likhatskaya, G.N.; Volod’ko, A.V.; Zaporozhets, T.S.; Shchelkanov, M.Y.; Yermak, I.M. Influence of the structural features of carrageenans from red algae of the far eastern seas on their antiviral properties. Mar. Drugs 2022, 20, 60. [Google Scholar] [CrossRef]
- Pavli, M.; Vrečer, F.; Baumgartner, S. Matrix tablets based on carrageenans with dual controlled release of doxazosin mesylate. Int. J. Pharm. 2010, 400, 15–23. [Google Scholar] [CrossRef]
- Li, L.; Wang, L.; Shao, Y.; Tian, Y.E.; Li, C.; Li, Y.; Mao, S. Elucidation of release characteristics of highly soluble drug trimetazidine hydrochloride from chitosan-carrageenan matrix tablets. J. Pharm. Sci. 2013, 102, 2644–2654. [Google Scholar] [CrossRef]
- Leong, K.H.; Chung, L.Y.; Noordin, M.I.; Mohamad, K.; Nishikawa, M.; Onuki, Y.; Morishita, M.; Takayama, K. Carboxymethylation of kappa-carrageenan for intestinal-targeted delivery of bioactive macromolecules. Carbohydr. Polym. 2011, 83, 1507–1515. [Google Scholar] [CrossRef]
- Kharenko, E.A.; Larionova, N.I.; Demina, N.B. Mucoadhesive drug delivery systems (Review). Pharm. Chem. J. 2009, 43, 200–208. [Google Scholar] [CrossRef]
- O’Brien, J.J.; Campoli-Richards, D.M. Acyclovir. Drugs 1989, 37, 233–309. [Google Scholar] [CrossRef]
- Indrayanto, G.; Putra, G.S.; Suhud, F. Validation of in-vitro bioassay methods: Application in herbal drug research. Profiles Drug Subst. Excip. Relat. Methodol. 2021, 46, 273–307. [Google Scholar] [CrossRef] [PubMed]
- Drulis-Kawa, Z.; Gubernator, J.; Dorotkiewicz-jach, A.; Doroszkiewicz, W.; Kozubek, A. A comparison of the in vitro antimicrobial activity of liposomes containing meropenem and gentamicin. Cell Mol. Biol. Lett. 2006, 11, 360–375. [Google Scholar] [CrossRef] [PubMed]
- Seyfoddin, A.; Al-Kassas, R. Development of solid lipid nanoparticles and nanostructured lipid carriers for improving ocular delivery of acyclovir. Drug Dev. Ind. Pharm. 2013, 39, 508–519. [Google Scholar] [CrossRef] [PubMed]
- Hussain, A.; Altamimi, M.; Afzal, O.; Altamimi, A.S.A.; Ramzan, M.; Khuroo, T. Mechanistic of vesicular ethosomes and elastic liposomes on permeation profiles of acyclovir across artificial membrane, human cultured EpiDerm, and rat skin: In vitro-ex vivo study. Pharmaceutics 2023, 15, 2189. [Google Scholar] [CrossRef]
- Usov, A.I.; Elashvili, M.Y. Investigation of sulfated galactan from Laurencia nipponica Yamada (Rhodophyta, Rhodomelaceae) using partial reductive hydrolysis. Bot. Mar. 1991, 34, 553–560. [Google Scholar] [CrossRef]
- Dodgson, K.S.; Price, R.G. A note on the determination of the ester sulphate content of sulphated polysaccharides. Biochem. J. 1962, 84, 106–110. [Google Scholar] [CrossRef]
- Stephens, P.J.; Devlin, F.J.; Chabalowski, C.F.; Frisch, M.J. Ab initio calculation of vibrational absorption and circular dichroism spectra using density functional force fields. J. Phys. Chem. 1994, 98, 11623–11627. [Google Scholar] [CrossRef]
- Miertuš, S.; Scrocco, E.; Tomasi, J. Electrostatic interaction of a solute with a continuum. A direct utilizaion of AB initio molecular potentials for the prevision of solvent effects. Chem. Phys. 1981, 55, 117–129. [Google Scholar] [CrossRef]
- Keler, T.; Nowotny, A. Metachromatic assay for the quantitative determination of bacterial endotoxins. Anal. Biochem. 1986, 156, 189–193. [Google Scholar] [CrossRef]
- Henry, D.C. The cataphoresis of suspended particles. Part I. The equation of cataphoresis. Proc. R. Soc. Lond. 1931, 133, 106–129. [Google Scholar] [CrossRef]
- Shchelkanov, M.Y.; Eremin, V.F.; Sakhuriya, I.B.; Burunova, V.V.; Pavlova, T.V.; Kornilaeva, G.V.; Karamov, E.V. Dehydrogenase activity of infected cells and biological properties of HIV-1 variants. Biochem. Biokhimiia 1999, 64, 431–436. [Google Scholar]
- Pauwels, R.; Balzarini, J.; Baba, M.; Snoeck, R.; Schols, D.; Herdewijn, P.; Desmyter, J.; De Clercq, E. Rapid and automated tetrazolium-based colorimetric assay for the detection of anti-HIV compounds. J. Virol. Methods 1988, 20, 309–321. [Google Scholar] [CrossRef]





| Z-Average, d, nm | Charge, mV | |||
|---|---|---|---|---|
| Samples | Without Mucin | with Mucin | Without Mucin | with Mucin |
| ACV Sigma | - | −6.9 ± 2.9% | ||
| Mucin | 1909.8 ± 4.0 | −26.1 ± 0.8 | ||
| κ-CRG | 614.6 ± 88.5 | −85.3 ± 0.8 | ||
| κ-CRG/ACV 10: 1 | 1076 ± 83 | −74.1 ± 0.8 | ||
| Σ-CRG | 683.5 ± 24.3 | 774.8 ± 14.3 | −68.7 ± 0.7 | −36.6 ± 0.8 |
| Σ CRG/ACV 10:1 | 1097.0 ± 39.15 | 1001.3 ± 188.6 | −63.3 ± 1.0 | −41.6 ± 0.7 |
| Control liposomes | 363.8 ± 8.7 (62%) 107.6 ± 12.0 (38%) | 605.6 ± 140.7 (68%) 115.1 ± 16.2 (32%) | −14.5 ± 1.2 | −21.5 ± 0.5 |
| Liposomes with Σ-CRG/ACV 10:1 | 436.3 ± 63.5 (66%) 124.0 ± 17.0 (34%) | 421.2 ± 68.9 (88%) 76.7 ± 13.6 (12%) | −28.4 ± 1.4 | −31.0 ± 0.5 |
| Lyophilized liposomes with Σ-CRG/ACV 10:1 | 598.2 ± 80.6 (77%) 107.0 ± 11.6 (23%) | - | −25.6 ± 1.1 | |
| Compounds | CC50 (µg/mL) | Pre-Treatment of Cells | Treatment of Infected Cells | ||
|---|---|---|---|---|---|
| IC50 (µg/mL) | SI | IC50 (µg/mL) | SI | ||
| Σ-CRG | >2000 | 18 ± 3 | 111 ± 14 | 77 ± 11 | 26 ± 3.4 |
| ACV | >1000 | no activity | 1.9 ± 0.3 | 609 ± 67 | |
| Σ-CRG/ACV 10:1 | >1000 | 35 ± 4 | 28 ± 3 | 1.8 ± 0.2 | 555 ± 61 |
| Σ-CRG/ACV 100:1 | >1000 | 26 ± 3 | 38 ± 5 | 16 ± 2 | 63 ± 8 |
| Liposomes with Σ-CRG | >1000 | 5.3 ± 0.7 | 189 ± 21 | not studied | |
| Liposomes with ACV | >1000 | no activity | 2.9 ± 0.4 | 344 ± 38 | |
| Liposomes with Σ-CRG/ACV | >1000 | 7.8 ± 0.9 | 128 ± 14 | 3.1 ± 0.4 | 322 ± 35 |
| Empty liposomes | >2000 | no activity | no activity | ||
Disclaimer/Publisher’s Note: The statements, opinions and data contained in all publications are solely those of the individual author(s) and contributor(s) and not of MDPI and/or the editor(s). MDPI and/or the editor(s) disclaim responsibility for any injury to people or property resulting from any ideas, methods, instructions or products referred to in the content. |
© 2026 by the authors. Licensee MDPI, Basel, Switzerland. This article is an open access article distributed under the terms and conditions of the Creative Commons Attribution (CC BY) license.
Share and Cite
Yermak, I.M.; Glazunov, V.P.; Krylova, N.V.; Gorbach, V.I.; Kravchenko, A.O.; Volod’ko, A.V.; Davydova, V.N.; Chistyulin, D.K.; Shchelkanov, M.Y. Carrageenan–Acyclovir Complex and Its Liposomal Form. Int. J. Mol. Sci. 2026, 27, 3367. https://doi.org/10.3390/ijms27083367
Yermak IM, Glazunov VP, Krylova NV, Gorbach VI, Kravchenko AO, Volod’ko AV, Davydova VN, Chistyulin DK, Shchelkanov MY. Carrageenan–Acyclovir Complex and Its Liposomal Form. International Journal of Molecular Sciences. 2026; 27(8):3367. https://doi.org/10.3390/ijms27083367
Chicago/Turabian StyleYermak, Irina M., Valery P. Glazunov, Natalya V. Krylova, Vladimir I. Gorbach, Anna O. Kravchenko, Alexandra V. Volod’ko, Viktoriya N. Davydova, Dmitry K. Chistyulin, and Mikhail Y. Shchelkanov. 2026. "Carrageenan–Acyclovir Complex and Its Liposomal Form" International Journal of Molecular Sciences 27, no. 8: 3367. https://doi.org/10.3390/ijms27083367
APA StyleYermak, I. M., Glazunov, V. P., Krylova, N. V., Gorbach, V. I., Kravchenko, A. O., Volod’ko, A. V., Davydova, V. N., Chistyulin, D. K., & Shchelkanov, M. Y. (2026). Carrageenan–Acyclovir Complex and Its Liposomal Form. International Journal of Molecular Sciences, 27(8), 3367. https://doi.org/10.3390/ijms27083367

