Physicochemical Characteristics of Amphipathic Peptides and Their Cytotoxic Effects on Cancer and Normal Cell Lines
Abstract
1. Introduction
2. Results
2.1. Physicochemical and Thermodynamic Profiling of Peptides in Solution
2.1.1. Peptide Stability at 0.125 mg/mL in 0.9% NaCl Solution
2.1.2. Osmotic Properties
2.1.3. Analysis of Surface Tension of Peptides (P1–P6) as a Function of Concentration
2.2. Cell Viability of Human Melanoma (Me45), Mouse Melanoma (B16F10), and Normal Human Keratinocytes (HaCaT) After 24 h and 72 h Incubation with Peptides P1–P6
2.3. The Thermodynamics of POPG–Peptide Interactions
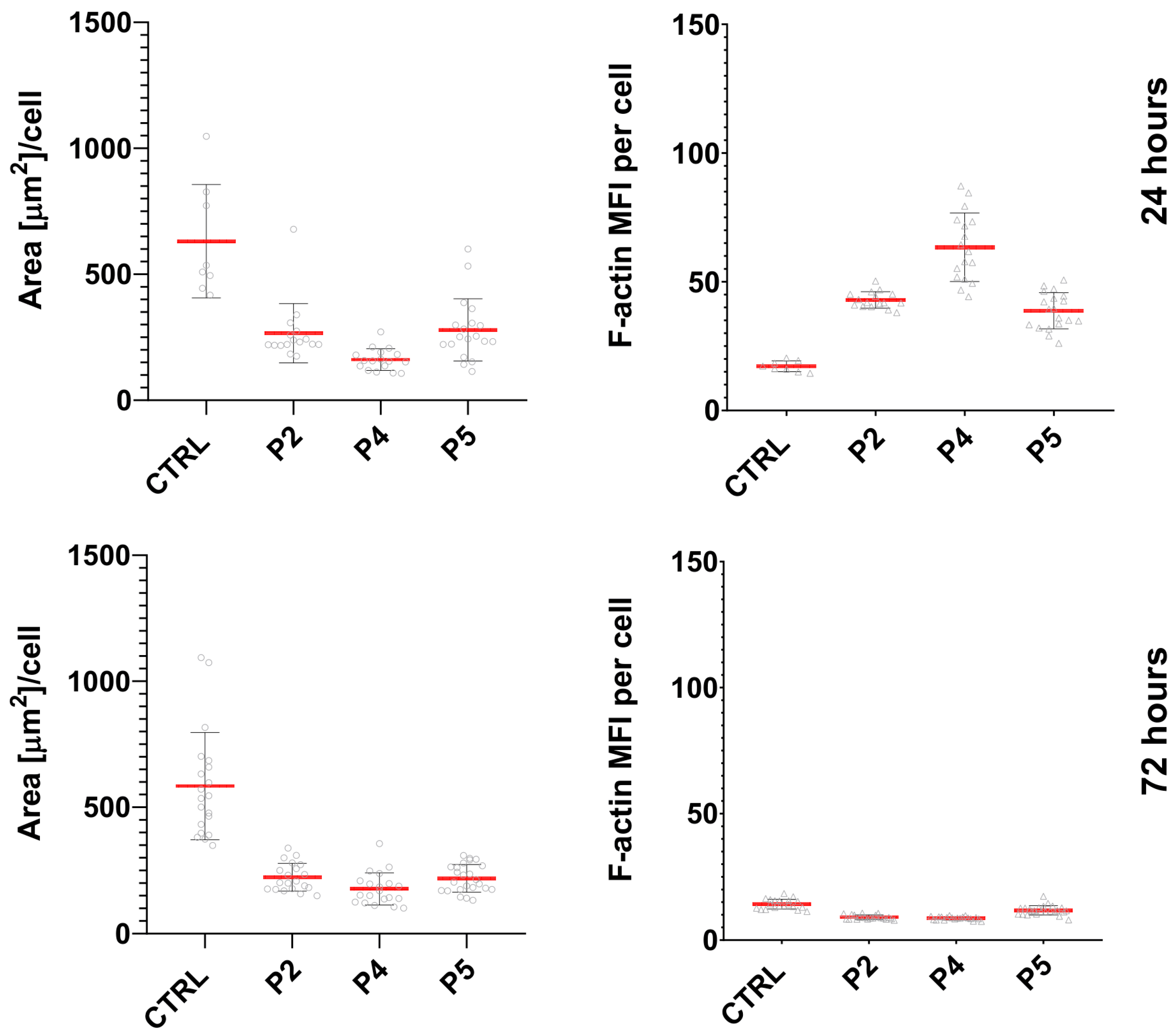
2.4. Effect of Peptides on Actin Cytoskeleton Organization and Membrane Permeability
3. Discussion
4. Materials and Methods
4.1. Synthesis and Characterization of the Peptide
4.2. Peptide Stability Study in NaCl
4.3. Osmotic Pressure
4.4. Surface Tension
4.5. Cell Culture
4.6. Cell Viability Assay—MTT
4.7. Determination of IC50 Values and Selectivity Index (SI) Values
4.8. Liposome Preparation
4.9. Isothermal Titration Calorimetry (ITC)
4.10. Steady-State Fluorescence Spectroscopy (SF)
4.11. Membrane Permeability and F-Actin Staining
5. Conclusions
Supplementary Materials
Author Contributions
Funding
Institutional Review Board Statement
Informed Consent Statement
Data Availability Statement
Acknowledgments
Conflicts of Interest
References
- Varela-Quitián, Y.F.; Mendez-Rivera, F.E.; Bernal-Estévez, D.A. Cationic antimicrobial peptides: Potential templates for anticancer agents. Front. Med. 2025, 12, 1548603. [Google Scholar] [CrossRef]
- de la Fuente-Núñez, C.; Silva, O.N.; Lu, T.K.; Franco, O.L. Antimicrobial peptides: Role in human disease and potential as immunotherapies. Pharmacol. Ther. 2017, 178, 132–140. [Google Scholar] [CrossRef] [PubMed]
- Hilchie, A.L.; Hoskin, D.W.; Power Coombs, M.R. Anticancer activities of natural and synthetic peptides. Adv. Exp. Med. Biol. 2019, 1117, 131–147. [Google Scholar]
- Bakare, O.O.; Gokul, A.; Wu, R.; Niekerk, L.-A.; Klein, A.; Keyster, M. Biomedical Relevance of Novel Anticancer Peptides in the Sensitive Treatment of Cancer. Biomolecules 2021, 11, 1120. [Google Scholar] [CrossRef]
- Zhong, C.; Zhang, L.; Yu, L.; Huang, J.; Huang, S.; Yao, Y. A Review for Antimicrobial Peptides with Anticancer Properties: Re-purposing of Potential Anticancer Agents. BIO Integr. 2020, 1, 156–167. [Google Scholar] [CrossRef]
- Karami Fath, M.; Babakhaniyan, K.; Zokaei, M.; Yaghoubian, A.; Akbari, S.; Khorsandi, M.; Soofi, A.; Nabi Afjadi, M.; Zalpoor, H.; Jalalifar, F.; et al. Anti cancer peptide based therapeutic strategies in solid tumors. Cell. Mol. Biol. Lett. 2022, 27, 33. [Google Scholar] [CrossRef] [PubMed]
- Bahar, A.; Porbaran, M.; Khazaei, M.; Tahmasebi, H. Antimicrobial peptides for anticancer and antiviral therapy: Last promising update. Discov. Oncol. 2025, 16, 1991. [Google Scholar] [CrossRef] [PubMed]
- Preetam, S.; Pandey, A.; Mishra, R.; Mohapatra, G.; Rath, P.; Malik, S.; Rustagi, S.; Dash, A.; Samal, S.K. Phosphatidylserine: Paving the way for a new era in cancer therapies. Mater. Adv. 2024, 5, 8384–8403. [Google Scholar] [CrossRef]
- Chiangjong, W.; Chutipongtanate, S.; Hongeng, S. Anticancer peptide: Physicochemical property, functional aspect and trend in clinical application (Review). Int. J. Oncol. 2020, 57, 678–696. [Google Scholar] [CrossRef]
- Zare-Zardini, H.; Saberian, E.; Jenča, A.; Ghanipour-Meybodi, R.; Jenča, A.; Petrášová, A.; Jenčová, J. From Defense to Offense: Antimicrobial Peptides as Promising Therapeutics for Cancer. Front. Oncol. 2024, 14, 1463088. [Google Scholar] [CrossRef]
- Ghavimi, R.; Mahmoudi, S.; Mohammadi, M.; Khodamoradi, E.; Jahanian-Najafabadi, A. Exploring the potential of anticancer peptides as therapeutic agents for cancer treatment. Res. Pharm. Sci. 2025, 20, 165–187. [Google Scholar] [CrossRef]
- Moreno-Vargas, L.M.; Prada-Gracia, D. Cancer-Targeting Applications of Cell-Penetrating Peptides. Int. J. Mol. Sci. 2025, 26, 2. [Google Scholar] [CrossRef]
- Pan, F.; Li, Y.; Ding, Y.; Lv, S.; You, R.; Hadianamrei, R.; Tomeh, M.A.; Zhao, X. Anticancer effect of rationally designed α-helical amphiphilic peptides. Colloids Surf. B Biointerfaces 2022, 220, 112841. [Google Scholar] [CrossRef]
- Ghaly, G.; Tallima, H.; Dabbish, E.; Badr ElDin, N.; Abd El-Rahman, M.K.; Ibrahim, M.A.A.; Shoeib, T. Anti-Cancer Peptides: Status and Future Prospects. Molecules 2023, 28, 1148. [Google Scholar] [CrossRef] [PubMed]
- Jakubczyk, A.; Rybczyńska-Tkaczyk, K.; Grenda, A. Plant Antimicrobial Oligopeptides with Anticancer Properties as a Source of Biologically Active Peptides—An In Silico Study. Int. J. Mol. Sci. 2025, 26, 9189. [Google Scholar] [CrossRef] [PubMed]
- Tripathi, A.K.; Vishwanatha, J.K. Role of Anti-Cancer Peptides as Immunomodulatory Agents: Potential and Design Strategy. Pharmaceutics 2022, 14, 2686. [Google Scholar] [CrossRef]
- Hadianamrei, R.; Tomeh, M.A.; Brown, S.; Wang, J.; Zhao, X. Rationally designed short cationic α-helical peptides with selective anticancer activity. J. Colloid Interface Sci. 2022, 607, 488–501. [Google Scholar] [CrossRef] [PubMed]
- Rathore, A.S.; Kumar, N.; Choudhury, S.; Mehta, N.K.; Raghava, G.P.S. Prediction of hemolytic peptides and their hemolytic concentration. Commun. Biol. 2025, 8, 176. [Google Scholar] [CrossRef]
- Guerrero, M.; Braden, C.; Bao, Y. Applications of Isothermal Titration Calorimetry in Studying Biomimetic Nanocarriers. Biomolecules 2025, 15, 1349. [Google Scholar] [CrossRef]
- Beck, K.; Nandy, J.; Hoernke, M. Strong Membrane Permeabilization Activity Can Reduce Selectivity of Cyclic Antimicrobial Peptides. J. Phys. Chem. B 2025, 129, 2446–2460. [Google Scholar] [CrossRef]
- Swamy, M.J.; Sankhala, R.S.; Singh, B.P. Thermodynamic Analysis of Protein-Lipid Interactions by Isothermal Titration Calorimetry. Methods Mol. Biol. 2019, 2003, 71–89. [Google Scholar]
- Henriksen, J.R.; Andresen, T.L. Thermodynamic profiling of peptide membrane interactions by isothermal titration calo-rimetry: A search for pores and micelles. Biophys. J. 2011, 101, 100–109. [Google Scholar] [CrossRef]
- Walrant, A.; Bauzá, A.; Girardet, C.; Alves, I.D.; Lecomte, S.; Illien, F.; Cardon, S.; Chaianantakul, N.; Pallerla, M.; Burlina, F.; et al. Ionpair-π interactions favor cell penetration of arginine/tryptophan-rich cell-penetrating peptides. Biochim. Biophys. Acta Biomembr. 2020, 1862, 183098. [Google Scholar] [CrossRef] [PubMed]
- Straus, S.K. Tryptophan- and arginine-rich antimicrobial peptides: Anti-infectives with great potential. Biochim. Biophys. Acta Biomembr. 2024, 1866, 184260. [Google Scholar] [CrossRef] [PubMed]
- Fillion, M.; Valois-Paillard, G.; Lorin, A.; Noël, M.; Voyer, N.; Auger, M. Membrane interactions of synthetic peptides with anti-microbial potential: Effect of electrostatic interactions and amphiphilicity. Probiotics Antimicrob. Proteins 2015, 7, 66–74. [Google Scholar] [CrossRef] [PubMed]
- Mishra, A.K.; Choi, J.; Moon, E.; Baek, K.-H. Tryptophan-Rich and Proline-Rich Antimicrobial Peptides. Molecules 2018, 23, 815. [Google Scholar] [CrossRef]
- Carabadjac, I.; Steigenberger, J.; Geudens, N.; De Roo, V.; Muangkaew, P.; Madder, A.; Martins, J.C.; Heerklotz, H. Time-resolved fluorescence of tryptophan characterizes membrane perturbation by cyclic lipopeptides. Biophys. J. 2024, 123, 2557–2573. [Google Scholar] [CrossRef]
- Riesco-Llach, G.; Llanet-Ferrer, S.; Planas, M.; Feliu, L. Deciphering the Mechanism of Action of the Antimicrobial Peptide BP100. Int. J. Mol. Sci. 2024, 25, 3456. [Google Scholar] [CrossRef]
- Gratino, L.; Gogliettino, M.; Balestrieri, M.; Porritiello, A.; Dardano, P.; Miranda, B.; Ambrosio, R.L.; Ambrosio, M.; Nicolais, L.; Palmieri, G. Functional interplay between short antimicrobial peptides and model lipid membranes. Bioorg. Chem. 2024, 153, 107939. [Google Scholar] [CrossRef]
- Herrera-Guardiola, S.; Valencia-Llano, C.H.; Casillas-Santana, M.Á.; Dipp-Velázquez, F.A.; Aristizábal-Pérez, J.F. Evaluation of cellular viability in chitosan/L-arginine hydrogels. Polym. Med. 2024, 54, 7–14. [Google Scholar] [CrossRef]
- Pascariu, M.; Nevoie, A.; Jitaru, D.; Carasevici, E.; Luchian, T. The evaluation of biological effect of cytotoxic peptides on tumor cell lines. Dig. J. Nanomater. Biostruct. 2011, 7, 79–84. [Google Scholar]
- Golonka, I.; Greber, K.E.; Oleksy-Wawrzyniak, M.; Paleczny, J.; Dryś, A.; Junka, A.; Sawicki, W.; Musiał, W. Antimicrobial and antioxidative activity of newly synthesized peptides absorbed into bacterial cellulose carrier against Acne vulgaris. Int. J. Mol. Sci. 2021, 22, 7466. [Google Scholar] [CrossRef]
- Dong, Q.; Wang, S.; Miao, Y.; Luo, H.; Weng, Z.; Yu, L. Novel antimicrobial peptides against Cutibacterium acnes designed by deep learning. Sci. Rep. 2024, 14, 4529. [Google Scholar] [CrossRef]
- Li, M.; Liu, Z.; He, J.; Jiang, J.; Shang, D.; Dong, W. Trp-containing peptides with therapeutic potential for Cutibacterium acnes infection. Probiotics Antimicrob. Proteins 2025. Online ahead of print. [Google Scholar] [CrossRef]
- Golonka, I.; Greber, K.E.; Szyja, B.M.; Petrus, P.P.; Pucułek, J.E.; Musiał, W. Effect of Newly Synthesized Structures of Peptides on the Stability of the Monolayers Formed. Int. J. Mol. Sci. 2023, 24, 4318. [Google Scholar] [CrossRef] [PubMed]
- Golonka, I.; Łukasiewicz, I.W.; Sebastiańczyk, A.; Greber, K.E.; Sawicki, W.; Musiał, W. The Influence of the Amphiphilic Properties of Peptides on the Phosphatidylinositol Monolayer in the Presence of Ascorbic Acid. Int. J. Mol. Sci. 2024, 25, 12484. [Google Scholar] [CrossRef]
- Golonka, I.; Sebastiańczyk, A.; Łukasiewicz, I.W.; Greber, K.E.; Sawicki, W.; Musiał, W. The Role of a Newly Synthesized Antimicrobial Peptide (KK)2-KWWW-NH2 in Modulating Phosphatidylinositol Monolayer Properties in the Presence of Ascorbic Acid. Int. J. Mol. Sci. 2025, 26, 10344. [Google Scholar] [CrossRef]
- Kumar, A.; Rai, Y.; Bhatt, A. Anti-cancer drug-mediated increase in mitochondrial mass limits the application of metabolic viability-based MTT assay in cytotoxicity screening. Cytotechnology 2024, 76, 301–311. [Google Scholar] [CrossRef]
- Cavalcanti, I.D.L.; Xavier Junior, F.H.; Magalhães, N.S.S.; Nogueira, M.C.B.L. Isothermal titration calorimetry (ITC) as a promising tool in pharmaceutical nanotechnology. Int. J. Pharm. 2023, 641, 123063. [Google Scholar] [CrossRef]
- Makowska, M.; Wardowska, A.; Bauer, M.; Wyrzykowski, D.; Małuch, I.; Sikorska, E. Impact of lipidation site on the activity of α-helical antimicrobial peptides. Bioorg. Chem. 2024, 153, 107821. [Google Scholar] [CrossRef]
- Makowska, M.; Kosikowska-Adamus, P.; Zdrowowicz, M.; Wyrzykowski, D.; Prahl, A.; Sikorska, E. Lipidation of Naturally Occurring α-Helical Antimicrobial Peptides as a Promising Strategy for Drug Design. Int. J. Mol. Sci. 2023, 24, 3951. [Google Scholar] [CrossRef] [PubMed]
- You, J.; Aznavoorian, S.; Liotta, L.A.; Dong, C. Responses of tumor cell pseudopod protrusion to changes in medium osmolality. J. Cell. Physiol. 1996, 167, 156–163. [Google Scholar] [CrossRef]
- Lira, R.B.; Leomil, F.S.C.; Melo, R.J.; Riske, K.A.; Dimova, R. To Close or to Collapse: The Role of Charges on Membrane Stability upon Pore Formation. Adv. Sci. 2021, 8, e2004068. [Google Scholar] [CrossRef]
- Schweizer, F. Cationic amphiphilic peptides with cancer-selective toxicity. Eur. J. Pharmacol. 2009, 625, 190–194. [Google Scholar] [CrossRef]
- Deslouches, B.; Di, Y.P. Antimicrobial peptides with selective antitumor mechanisms: Prospect for anticancer applications. Oncotarget 2017, 8, 46635–46651. [Google Scholar] [CrossRef]
- Hoskin, D.W.; Ramamoorthy, A. Studies on anticancer activities of antimicrobial peptides. Biochim. Biophys. Acta 2008, 1778, 357–375. [Google Scholar] [CrossRef]
- Khemaissa, S.; Walrant, A.; Sagan, S. Tryptophan, more than just an interfacial amino acid in the membrane activity of cationic cell-penetrating and antimicrobial peptides. Q. Rev. Biophys. 2022, 55, e10. [Google Scholar] [CrossRef]
- Gopal, R.; Seo, C.H.; Song, P.I.; Park, Y. Effect of repetitive lysine-tryptophan motifs on the bactericidal activity of antimicrobial peptides. Amino Acids 2013, 44, 645–660. [Google Scholar] [CrossRef]
- Sanchez, K.M.; Kang, G.; Wu, B.; Kim, J.E. Tryptophan-lipid interactions in membrane protein folding probed by ultraviolet resonance Raman and fluorescence spectroscopy. Biophys. J. 2011, 100, 2121–2130. [Google Scholar] [CrossRef] [PubMed]
- Ferreira, A.R.; Teixeira, C.; Sousa, C.F.; Bessa, L.J.; Gomes, P.; Gameiro, P. How Insertion of a Single Tryptophan in the N-Terminus of a Cecropin A-Melittin Hybrid Peptide Changes Its Antimicrobial and Biophysical Profile. Membranes 2021, 11, 48. [Google Scholar] [CrossRef]
- Li, G.; Huang, Y.; Feng, Q.; Chen, Y. Tryptophan as a Probe to Study the Anticancer Mechanism of Action and Specificity of α-Helical Anticancer Peptides. Molecules 2014, 19, 12224–12241. [Google Scholar] [CrossRef] [PubMed]
- Lim, S.; Woo, S.; Lee, K.W.; Kim, K.D. Roles of cytoskeleton in metastasis: From its mechanism to therapeutic strategies. Exp. Mol. Med. 2026, 58, 1–13. [Google Scholar] [CrossRef] [PubMed]
- Alvarez-Artime, A.; Cernuda-Cernuda, R.; Naveda, F.A.; Cepas, V.; Gonzalez-Menendez, P.; Fernadez-Vega, S.; Quiros-Gonzalez, I.; Sainz, R.M.; Mayo, J.C. Melatonin-Induced Cytoskeleton Reorganization Leads to Inhibition of Melanoma Cancer Cell Proliferation. Int. J. Mol. Sci. 2020, 21, 548. [Google Scholar] [CrossRef]
- Chen, C.H.; Zan, B.; Ulmschneider, J.P.; Wimley, W.C.; Lu, T.K.; Ulmschneider, M.B.; Zhou, L. Development of membrane-active peptide therapeutics in oncology. J. Pept. Sci. 2023, 29, e3482. [Google Scholar] [CrossRef] [PubMed]
- Trujillo, M.; Schramm, M.P. Measuring Critical Micelle Concentration as a Function of Cavitand Additives Using Surface Tension and Dye Micellization. Ronald E. McNair Postbac. Achiev. Program 2010, 14, 155–168. [Google Scholar]
- Lakra, J.; Tikariha Jangde, D.; Kumar, B.; Ghosh, K.K. Micellization properties of quinolinium based surfactants: 1-alkylquinolinium bromide and 6-hydroxy-1-alkylquinolinium-bromide by fluorimetry, conductivity and surface tension measurements and its parameters. Chem. Thermodyn. Therm. Anal. 2022, 8, 100089. [Google Scholar] [CrossRef]
- Golonka, I.; Pucułek, J.E.; Greber, K.E.; Dryś, A.; Sawicki, W.; Musiał, W. Evaluation of the Effect of Antibacterial Peptides on Model Monolayers. Int. J. Mol. Sci. 2023, 24, 14861. [Google Scholar] [CrossRef]
- Sudheesh, S.; Ahmad, J. Effect of Wilhelmy Plate Material on Hysteresis of Langmuir Film Isotherms. Asian J. Chem. 2013, 25, 3535–3538. [Google Scholar] [CrossRef]
- TIBCO Software Inc. Statistica (Data Analysis Software System), version 13; TIBCO Software Inc.: Santa Clara, CA, USA, 2017; Available online: https://www.statistica.pro/knowledgebase/tibco-statistica-13-4-release-notes/ (accessed on 16 February 2026).
- Ghasemi, M.; Turnbull, T.; Sebastian, S.; Kempson, I. The MTT Assay: Utility, Limitations, Pitfalls, and Interpretation in Bulk and Single-Cell Analysis. Int. J. Mol. Sci. 2021, 22, 12827. [Google Scholar] [CrossRef] [PubMed]
- MicroCal. ITC Data Analysis in Origin: Tutorial Guide; MicroCal: Northampton, MA, USA, 2004; Version 7.0. [Google Scholar]











| Name | Structure | Net Charge | MW (g/mol) | Osmotic Pressure (mOsm/kg) * | Temperature (°C) * |
|---|---|---|---|---|---|
| P1 | (WK)2-KWK-NH2 | +5 | 1087.64 | 296, 293, 289 | −0.549, −0.544, −0.536 |
| P2 | (WKWK)2-KWKWK-NH2 | +8 | 2030.16 | 278, 277, 275 | −0.516, −0.514, −0.510 |
| P3 | (WR)2-KWR-NH2 | +5 | 1171.66 | 282, 280, 276 | −0.523, −0.519, −0.512 |
| P4 | (C12)2-KKKK-NH2 | +3 | 893.70 | 281, 278, 274 | −0.522, −0.517, −0.509 |
| P5 | (KWK)2-KWWW-NH2 | +4 | 1587.89 | 315, 302, 289 | −0.585, −0.561, −0.536 |
| P6 | (KK)2-KWWW-NH2 | +4 | 1215.73 | 280, 277, 275 | −0.520, −0.514, −0.510 |
| HaCaT | Me45 | B16F10 | ||||
|---|---|---|---|---|---|---|
| Time [Hours] | 24 | 72 | 24 | 72 | 24 | 72 |
| P1 | >1.5 | >1.5 | >1.5 | >1.5 | 1.374 | 0.7152 |
| P2 | >2.0 | >2.0 | >2.0 | 0.3907 | >2.0 | 0.2385 |
| P3 | 3.207 | 20.94 | 1.077 | 1.329 | >2.0 | >2.0 |
| P4 | 0.3129 | 0.4093 | 0.1231 | 0.2077 | 0.3386 | 0.2558 |
| P5 | >2.0 | >2.0 | 5.191 | 0.1083 | >2.0 | 0.1319 |
| P6 | 1.064 | 1.162 | >2.0 | >2.0 | >2.0 | 0.9135 |
| ITC Data for POPG Complexes | ||
|---|---|---|
| Parameter | P2 | P5 |
| N | 1.55 (±0.06) | 1.83 (±0.06) |
| logK(ITC) | 6.15 (±0.33) | 5.58 (±0.20) |
| ΔG(ITC) [kcal mol−1] | −8.38 (±0.45) | −7.62 (±0.27) |
| ΔH(ITC) [kcal mol−1] | −0.37 (±0.02) | −0.57 (±0.03) |
| TΔS(ITC) [kcal mol−1] | 8.02 | 7.05 |
Disclaimer/Publisher’s Note: The statements, opinions and data contained in all publications are solely those of the individual author(s) and contributor(s) and not of MDPI and/or the editor(s). MDPI and/or the editor(s) disclaim responsibility for any injury to people or property resulting from any ideas, methods, instructions or products referred to in the content. |
© 2026 by the authors. Licensee MDPI, Basel, Switzerland. This article is an open access article distributed under the terms and conditions of the Creative Commons Attribution (CC BY) license.
Share and Cite
Golonka, I.; Greber, K.E.; Łapińska, Z.; Wyrzykowski, D.; Żamojć, K.; Sikorska, E.; Kulbacka, J.; Sawicki, W.; Musiał, W. Physicochemical Characteristics of Amphipathic Peptides and Their Cytotoxic Effects on Cancer and Normal Cell Lines. Int. J. Mol. Sci. 2026, 27, 2952. https://doi.org/10.3390/ijms27072952
Golonka I, Greber KE, Łapińska Z, Wyrzykowski D, Żamojć K, Sikorska E, Kulbacka J, Sawicki W, Musiał W. Physicochemical Characteristics of Amphipathic Peptides and Their Cytotoxic Effects on Cancer and Normal Cell Lines. International Journal of Molecular Sciences. 2026; 27(7):2952. https://doi.org/10.3390/ijms27072952
Chicago/Turabian StyleGolonka, Iwona, Katarzyna E. Greber, Zofia Łapińska, Dariusz Wyrzykowski, Krzysztof Żamojć, Emilia Sikorska, Julita Kulbacka, Wiesław Sawicki, and Witold Musiał. 2026. "Physicochemical Characteristics of Amphipathic Peptides and Their Cytotoxic Effects on Cancer and Normal Cell Lines" International Journal of Molecular Sciences 27, no. 7: 2952. https://doi.org/10.3390/ijms27072952
APA StyleGolonka, I., Greber, K. E., Łapińska, Z., Wyrzykowski, D., Żamojć, K., Sikorska, E., Kulbacka, J., Sawicki, W., & Musiał, W. (2026). Physicochemical Characteristics of Amphipathic Peptides and Their Cytotoxic Effects on Cancer and Normal Cell Lines. International Journal of Molecular Sciences, 27(7), 2952. https://doi.org/10.3390/ijms27072952

