Extracellular Vesicle-Derived MicroRNAs’ Value in Diagnosing and Predicting Clinical Outcomes in Patients with COVID-19 and Bacterial Sepsis
Abstract
1. Introduction
2. Results
2.1. Clinical Characteristics of Patients
2.2. Characterization of Extracellular Vesicles
2.3. miRNA Expression in COVID-19 Patients: Comparison Between Patients with Good vs. Poor Prognosis
2.4. miRNA-EVs Aid Differential Diagnosis of COVID-19 and Bacterial Sepsis
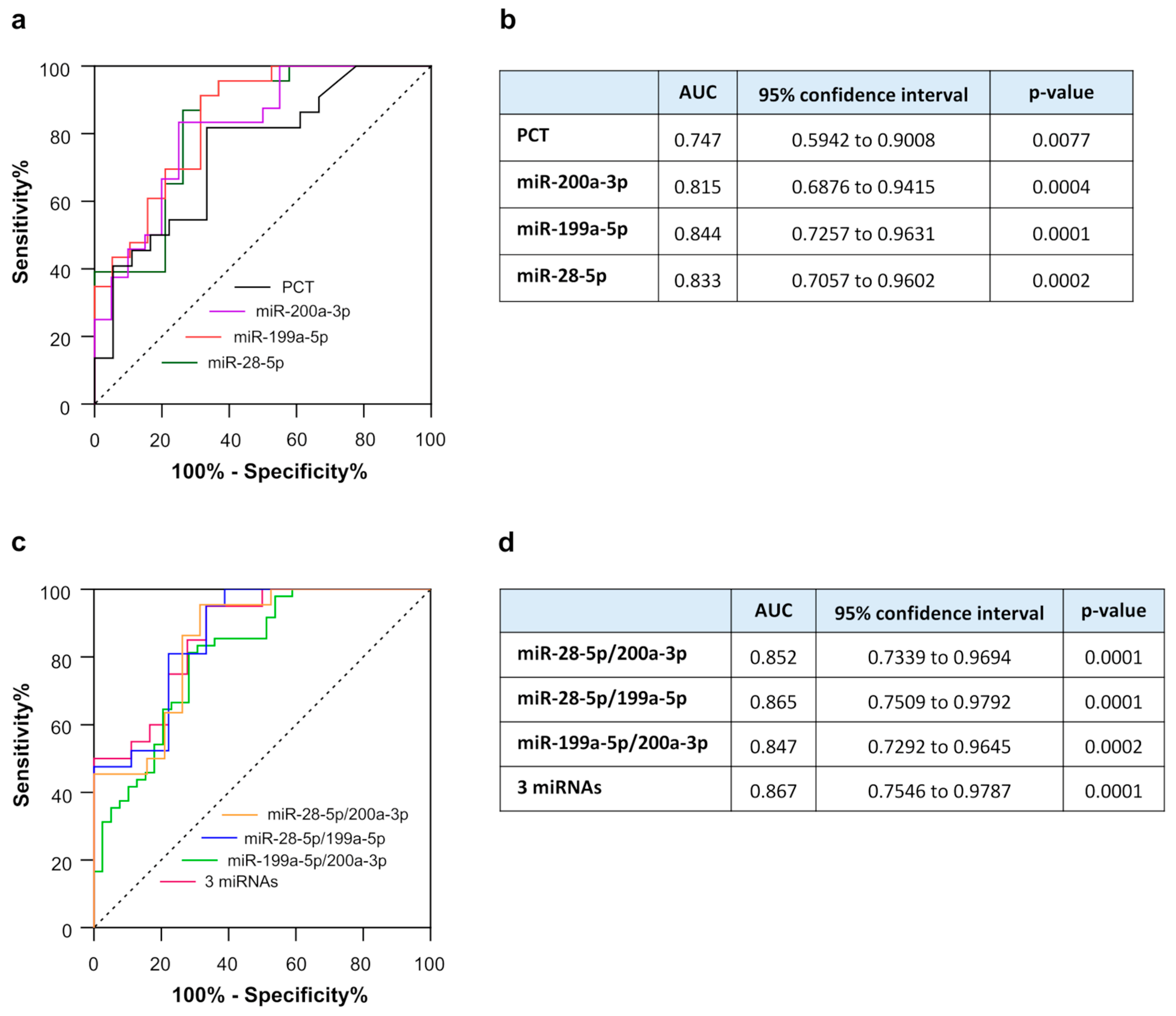
2.5. Diagnostic Value of EV-miRNAs in Bacterial Sepsis
2.6. EV-miRNAs as Early Predictors of Bacterial Sepsis Severity
3. Discussion
4. Materials and Methods
4.1. Patients
4.1.1. COVID-19 Patients
4.1.2. Bacterial Sepsis Patients and Controls
4.2. Sample Collection
4.3. EV Isolation by Charge-Based Precipitation Method
4.4. EV Characterization
4.4.1. Nanoparticle Tracking Analysis
4.4.2. Flow Cytometer Analysis
4.5. Determination and Isolation of EV-miRNAs
4.6. Reverse Transcription
4.7. qRT-PCR
4.8. Statistical Analysis
Supplementary Materials
Author Contributions
Funding
Institutional Review Board Statement
Informed Consent Statement
Data Availability Statement
Acknowledgments
Conflicts of Interest
References
- Koçak Tufan, Z.; Kayaaslan, B.; Mer, M. COVID-19 and Sepsis. Turk. J. Med. Sci. 2021, 51, 3301–3311. [Google Scholar] [CrossRef]
- Singer, M.; Deutschman, C.S.; Seymour, C.W.; Shankar-Hari, M.; Annane, D.; Bauer, M.; Bellomo, R.; Bernard, G.R.; Chiche, J.-D.; Coopersmith, C.M.; et al. The Third International Consensus Definitions for Sepsis and Septic Shock (Sepsis-3). JAMA 2016, 315, 801–810. [Google Scholar] [CrossRef]
- Herminghaus, A.; Osuchowski, M.F. How Sepsis Parallels and Differs from COVID-19. eBioMedicine 2022, 86, 104355. [Google Scholar] [CrossRef]
- Wu, G.; Lu, J.; Liu, D.; He, Y. Characteristics and Risk Factors of Secondary Bacterial Infections in COVID-19 Patients. Antimicrob. Steward. Healthc. Epidemiol. 2023, 3, e156. [Google Scholar] [CrossRef]
- Ren, C.; Yao, R.-Q.; Ren, D.; Li, Y.; Feng, Y.-W.; Yao, Y.-M. Comparison of Clinical Laboratory Tests Between Bacterial Sepsis and SARS-CoV-2-Associated Viral Sepsis. Mil. Med. Res. 2020, 7, 36. [Google Scholar] [CrossRef]
- Rudd, K.E.; Johnson, S.C.; Agesa, K.M.; Shackelford, K.A.; Tsoi, D.; Kievlan, D.R.; Colombara, D.V.; Ikuta, K.S.; Kissoon, N.; Finfer, S.; et al. Global, Regional, and National Sepsis Incidence and Mortality, 1990–2017: Analysis for the Global Burden of Disease Study. Lancet 2020, 395, 200–211. [Google Scholar] [CrossRef]
- La Via, L.; Sangiorgio, G.; Stefani, S.; Marino, A.; Nunnari, G.; Cocuzza, S.; La Mantia, I.; Cacopardo, B.; Stracquadanio, S.; Spampinato, S.; et al. The Global Burden of Sepsis and Septic Shock. Epidemiologia 2024, 5, 456–478. [Google Scholar] [CrossRef] [PubMed]
- Wang, N.; Huang, H.; Tan, Y.; Zhang, N. Research Progress of Biomarkers for Sepsis and Precision Medicine. Emerg. Med. Int. 2025, 2025, 4585495. [Google Scholar] [CrossRef] [PubMed]
- Daud, M.; Khan, M.B.; Qudrat, Q.U.; Ullah, I.; Khan, S.; Khan, M.Z.; Yousuf, I.; Ahmad, F. Role of C-Reactive Protein and Procalcitonin in Early Diagnostic Accuracy and Their Prognostic Significance in Sepsis. Cureus 2024, 16, e70358. [Google Scholar] [CrossRef] [PubMed]
- Saavedra-Torres, J.S.; Pinzón-Fernández, M.V.; Nati-Castillo, H.A.; Cadena Correa, V.; Lopez Molina, L.C.; Gaitán, J.E.; Tenorio-Castro, D.; Lucero Guanga, D.A.; Arias-Intriago, M.; Tello-De-la-Torre, A.; et al. Immunodynamic Disruption in Sepsis: Mechanisms and Strategies for Personalized Immunomodulation. Biomedicines 2025, 13, 2139. [Google Scholar] [CrossRef]
- Xiong, L.; Tang, H.; Xie, Q.; Fang, H.; Jing, D.; Chen, L. Immune Signatures Distinguish Pure and Mixed Sepsis in Critical COVID-19: A Retrospective Cohort Study. J. Inflamm. Res. 2025, 18, 11139–11153. [Google Scholar] [CrossRef] [PubMed]
- Castello, L.M.; Gavelli, F. Sepsis Scoring Systems: Mindful Use in Clinical Practice. Eur. J. Intern. Med. 2024, 125, 32–35. [Google Scholar] [CrossRef] [PubMed]
- Im, Y.; Yoo, H.; Ko, R.-E.; Lee, J.Y.; Park, J.; Jeon, K. Exosomal CD63 in Critically Ill Patients with Sepsis. Sci. Rep. 2021, 11, 20300. [Google Scholar] [CrossRef]
- Dakhlallah, D.A.; Wisler, J.; Gencheva, M.; Brown, C.M.; Leatherman, E.R.; Singh, K.; Brundage, K.; Karsies, T.; Dakhlallah, A.; Witwer, K.W.; et al. Circulating Extracellular Vesicle Content Reveals de Novo DNA Methyltransferase Expression as a Molecular Method to Predict Septic Shock. J. Extracell. Vesicles 2019, 8, 1669881. [Google Scholar] [CrossRef]
- O’Toole, H.J.; Lowe, N.M.; Arun, V.; Kolesov, A.V.; Palmieri, T.L.; Tran, N.K.; Carney, R.P. Plasma-Derived Extracellular Vesicles (EVs) as Biomarkers of Sepsis in Burn Patients via Label-Free Raman Spectroscopy. J. Extracell. Vesicles 2024, 13, e12506. [Google Scholar] [CrossRef]
- Schiavello, M.; Bosco, O.; Vizio, B.; Sciarrillo, A.; Pensa, A.; Pivetta, E.; Morello, F.; Risso, D.; Montrucchio, G.; Mariano, F.; et al. Profiling of miRNAs Contained in Circulating Extracellular Vesicles and Associated with Sepsis Development in Burn Patients: A Proof-of-Concept Study. Int. J. Mol. Sci. 2025, 26, 1844. [Google Scholar] [CrossRef]
- Schiavello, M.; Vizio, B.; Bosco, O.; Mariano, F.; Bruno, S.; Pensa, A.; Cagna Vallino, P.; Dini, C.; Montrucchio, G.; Lupia, E. CD42-Enriched Extracellular Vesicles Contribute to Increased Platelet Aggregation and Possibly Organ Damage in Patients with Burn Injury Complicated by Sepsis. Int. J. Nanomed. 2025, 20, 12733–12750. [Google Scholar] [CrossRef]
- Repici, A.; Piraino, G.; Wolfe, V.; Kaplan, J.; Nakamura, T.; Zingarelli, B.; Repici, A.; Piraino, G.; Wolfe, V.; Kaplan, J.; et al. Role of Extracellular Vesicles as Mediators of Cell Communication and Novel Biomarkers in Sepsis. J. Clin. Med. 2025, 14, 6649. [Google Scholar] [CrossRef]
- Kumar, M.A.; Baba, S.K.; Sadida, H.Q.; Marzooqi, S.A.; Jerobin, J.; Altemani, F.H.; Algehainy, N.; Alanazi, M.A.; Abou-Samra, A.-B.; Kumar, R.; et al. Extracellular Vesicles as Tools and Targets in Therapy for Diseases. Signal Transduct. Target. Ther. 2024, 9, 27. [Google Scholar] [CrossRef]
- Bartel, D.P. MicroRNAs: Genomics, Biogenesis, Mechanism, and Function. Cell 2004, 116, 281–297. [Google Scholar] [CrossRef] [PubMed]
- Yoshikawa, F.S.Y.; Teixeira, F.M.E.; Sato, M.N.; Oliveira, L.M.d.S. Delivery of microRNAs by Extracellular Vesicles in Viral Infections: Could the News Be Packaged? Cells 2019, 8, 611. [Google Scholar] [CrossRef]
- Schiavello, M.; Vizio, B.; Sanavia, T.; Bosco, O.; Dini, C.; Vallino, P.C.; Pivetta, E.; Morello, F.; Fariselli, P.; Montrucchio, G.; et al. Utility of Plasma MicroRNA Profiling as Diagnostic Biomarker in Immune System Activation and Inflammation and Early Predictor of Severity in Patients with COVID-19. Sci. Rep. 2025, 16, 384. [Google Scholar] [CrossRef]
- Cavaillon, J.-M.; Chousterman, B.G.; Skirecki, T. Compartmentalization of the Inflammatory Response during Bacterial Sepsis and Severe COVID-19. J. Intensive Med. 2024, 4, 326–340. [Google Scholar] [CrossRef] [PubMed]
- Xinyu, X.; Jiang, Z.; Qing, A.; Lihua, L.; Xiehong, L.; Lin, Z. Clinical Significance of PCT, CRP, IL-6, NLR, and TyG Index in Early Diagnosis and Severity Assessment of Acute Pancreatitis: A Retrospective Analysis. Sci. Rep. 2025, 15, 2924. [Google Scholar] [CrossRef]
- Xu, Z.; Zhang, J.; Li, Z.; Wu, H.; Xu, H.; Guo, Y.; Li, Y. Organ-Targeted Biomarkers of Sepsis: A Systematic Review Reveals the Value of Inflammation and Lipid Metabolic Dysregulation. Pharmacol. Res. 2025, 219, 107917. [Google Scholar] [CrossRef]
- Nargis, W.; Ibrahim, M.; Ahamed, B.U. Procalcitonin versus C-Reactive Protein: Usefulness as Biomarker of Sepsis in ICU Patient. Int. J. Crit. Illn. Inj. Sci. 2014, 4, 195–199. [Google Scholar] [CrossRef]
- Muratsu, A.; Oda, S.; Onishi, S.; Yoshimura, J.; Matsumoto, H.; Togami, Y.; Mitsuyama, Y.; Ito, H.; Okuzaki, D.; Ogura, H.; et al. Bacterial Sepsis Causes More Dramatic Pathogenetic Changes in the Th1 Pathway than Does Viral (COVID-19) Sepsis: A Prospective Observational Study of Whole Blood Transcriptomes. Virol. J. 2024, 21, 190. [Google Scholar] [CrossRef]
- Dong, X.; Wang, C.; Liu, X.; Gao, W.; Bai, X.; Li, Z. Lessons Learned Comparing Immune System Alterations of Bacterial Sepsis and SARS-CoV-2 Sepsis. Front. Immunol. 2020, 11, 598404. [Google Scholar] [CrossRef]
- Xu, D.; Di, K.; Fan, B.; Wu, J.; Gu, X.; Sun, Y.; Khan, A.; Li, P.; Li, Z. MicroRNAs in Extracellular Vesicles: Sorting Mechanisms, Diagnostic Value, Isolation, and Detection Technology. Front. Bioeng. Biotechnol. 2022, 10, 948959. [Google Scholar] [CrossRef] [PubMed]
- Sanz-Rubio, D.; Martin-Burriel, I.; Gil, A.; Cubero, P.; Forner, M.; Khalyfa, A.; Marin, J.M. Stability of Circulating Exosomal miRNAs in Healthy Subjects. Sci. Rep. 2018, 8, 10306. [Google Scholar] [CrossRef] [PubMed]
- Vincent, J.-L.; Ince, C.; Pickkers, P. Endothelial Dysfunction: A Therapeutic Target in Bacterial Sepsis? Expert Opin. Ther. Targets 2021, 25, 733–748. [Google Scholar] [CrossRef] [PubMed]
- Ghazal, P.; Rodrigues, P.R.S.; Chakraborty, M.; Oruganti, S.; Woolley, T.E. Challenging Molecular Dogmas in Human Sepsis Using Mathematical Reasoning. eBioMedicine 2022, 80, 104031, Correction in eBioMedicine 2022, 85, 104331. [Google Scholar] [CrossRef]
- Han, Y.; Zhang, G.; Lv, X.; Ren, L. Critical Role of Cellular microRNAs in Virus Infection: Decades of Progress. Anim. Zoonoses 2025, 1, 385–393. [Google Scholar] [CrossRef]
- Roustai Geraylow, K.; Hemmati, R.; Kadkhoda, S.; Ghafouri-Fard, S. miRNA Expression in COVID-19. Gene Rep. 2022, 28, 101641. [Google Scholar] [CrossRef]
- Mustafa, F.; Ahmad, W.; Gull, B.; Baby, J.; Panicker, N.G.; Khader, T.A.; Baki, H.A.; Rehman, E.; Salim, A.M.; Ahmed, R.L.G.; et al. miRNA Biomarkers for Prognosis and Therapy Monitoring in a Multi-Ethnic Cohort with SARS-CoV-2 Infection. Sci. Rep. 2025, 15, 30815. [Google Scholar] [CrossRef]
- Mi, S.; Zhang, J.; Zhang, W.; Huang, R.S. Circulating MicroRNAs as Biomarkers for Inflammatory Diseases. MicroRNA 2013, 2, 64–72. [Google Scholar] [CrossRef] [PubMed]
- Van der Auwera, S.; Ameling, S.; Wittfeld, K.; Bülow, R.; Nauck, M.; Völzke, H.; Völker, U.; Grabe, H.J. Circulating miRNAs Modulating Systemic Low-Grade Inflammation and Affecting Neurodegeneration. Prog. Neuropsychopharmacol. Biol. Psychiatry 2024, 135, 111130. [Google Scholar] [CrossRef] [PubMed]
- Garcia-Giralt, N.; Du, J.; Marin-Corral, J.; Bódalo-Torruella, M.; Blasco-Hernando, F.; Muñoz-Bermúdez, R.; Clarós, M.; Nonell, L.; Perera-Bel, J.; Fernandez-González, M.; et al. Circulating microRNA Profiling is Altered in the Acute Respiratory Distress Syndrome Related to SARS-CoV-2 Infection. Sci. Rep. 2022, 12, 6929. [Google Scholar] [CrossRef]
- Mortazavi-Jahromi, S.S.; Aslani, M. Dysregulated miRNAs Network in the Critical COVID-19: An Important Clue for Uncontrolled Immunothrombosis/Thromboinflammation. Int. Immunopharmacol. 2022, 110, 109040. [Google Scholar] [CrossRef]
- Formosa, A.; Turgeon, P.; dos Santos, C.C. Role of miRNA Dysregulation in Sepsis. Mol. Med. 2022, 28, 99. [Google Scholar] [CrossRef]
- Dixson, A.; Dawson, T.R.; Di Vizio, D.; Weaver, A.M. Context-Specific Regulation of Extracellular Vesicle Biogenesis and Cargo Selection. Nat. Rev. Mol. Cell Biol. 2023, 24, 454–476. [Google Scholar] [CrossRef]
- Molinero, M.; Benítez, I.D.; González, J.; Gort-Paniello, C.; Moncusí-Moix, A.; Rodríguez-Jara, F.; García-Hidalgo, M.C.; Torres, G.; Vengoechea, J.J.; Gómez, S.; et al. Bronchial Aspirate-Based Profiling Identifies MicroRNA Signatures Associated with COVID-19 and Fatal Disease in Critically Ill Patients. Front. Med. 2022, 8, 756517. [Google Scholar] [CrossRef]
- Du, X.; Tian, D.; Wei, J.; Yan, C.; Hu, P.; Wu, X.; Yang, W.; Zhu, Z. miR-199a-5p Exacerbated Intestinal Barrier Dysfunction through Inhibiting Surfactant Protein D and Activating NF-κB Pathway in Sepsis. Mediat. Inflamm. 2020, 2020, 8275026. [Google Scholar] [CrossRef]
- Pimenta, R.; Viana, N.I.; Dos Santos, G.A.; Candido, P.; Guimarães, V.R.; Romão, P.; Silva, I.A.; de Camargo, J.A.; Hatanaka, D.M.; Queiroz, P.G.S.; et al. MiR-200c-3p Expression may be Associated with Worsening of the Clinical Course of Patients with COVID-19. Mol. Biol. Res. Commun. 2021, 10, 141–147. [Google Scholar] [CrossRef] [PubMed]
- Mitchell, M.I.; Ben-Dov, I.Z.; Liu, C.; Ye, K.; Chow, K.; Kramer, Y.; Gangadharan, A.; Park, S.; Fitzgerald, S.; Ramnauth, A.; et al. Extracellular Vesicle Capture by AnTibody of CHoice and Enzymatic Release (EV-CATCHER): A Customizable Purification Assay Designed for Small-RNA Biomarker Identification and Evaluation of Circulating Small-EVs. J. Extracell. Vesicles 2021, 10, e12110. [Google Scholar] [CrossRef]
- Sodagar, H.; Alipour, S.; Hasani, S.; Aziz, S.G.-G.; Ansari, M.H.K.; Asghari, R. The Role of microRNAs in COVID-19 with a Focus on miR-200c. J. Circ. Biomark. 2022, 11, 14–23. [Google Scholar] [CrossRef] [PubMed]
- Yang, Z.; Hu, Q.; Huang, F.; Xiong, S.; Sun, Y. The Prognostic Value of the SOFA Score in Patients with COVID-19. Medicine 2021, 100, e26900. [Google Scholar] [CrossRef] [PubMed]
- Roepke, R.M.L.; Janzantti, H.B.L.; Cantamessa, M.B.; Machado, L.F.; Luckemeyer, G.D.; Gandolfi, J.V.; Besen, B.A.M.P.; Lobo, S.M.; Roepke, R.M.L.; Janzantti, H.B.L.; et al. Predictive Performance of SAPS-3, SOFA Score, and Procalcitonin for Hospital Mortality in COVID-19 Viral Sepsis: A Cohort Study. Life 2025, 15, 1161. [Google Scholar] [CrossRef]
- Li, H.; Liu, L.; Zhang, D.; Xu, J.; Dai, H.; Tang, N.; Su, X.; Cao, B. SARS-CoV-2 and Viral Sepsis: Observations and Hypotheses. Lancet 2020, 395, 1517–1520. [Google Scholar] [CrossRef]
- Chen, L.; Zhang, X.; Shi, P. Recent Advances in Biomarkers for Detection and Diagnosis of Sepsis and Organ Dysfunction: A Comprehensive Review. Eur. J. Med. Res. 2025, 30, 1081. [Google Scholar] [CrossRef]
- Ma, L.; Zhang, Y.; Hu, F. miR-28-5p Inhibits the Migration of Breast Cancer by Regulating WSB2. Int. J. Mol. Med. 2020, 46, 1562–1570. [Google Scholar] [CrossRef] [PubMed]
- Wang, C.; Wu, C.; Yang, Q.; Ding, M.; Zhong, J.; Zhang, C.-Y.; Ge, J.; Wang, J.; Zhang, C. miR-28-5p Acts as a Tumor Suppressor in Renal Cell Carcinoma for Multiple Antitumor Effects by Targeting RAP1B. Oncotarget 2016, 7, 73888–73902. [Google Scholar] [CrossRef] [PubMed]
- Abdelaleem, O.O.; Mohammed, S.R.; El Sayed, H.S.; Hussein, S.K.; Ali, D.Y.; Abdelwahed, M.Y.; Gaber, S.N.; Hemeda, N.F.; El-Hmid, R.G.A. Serum miR-34a-5p and miR-199a-3p as New Biomarkers of Neonatal Sepsis. PLoS ONE 2022, 17, e0262339. [Google Scholar] [CrossRef]
- Yu, J.; Chen, J.; Yang, H.; Chen, S.; Wang, Z. Overexpression of miR-200a-3p Promoted Inflammation in Sepsis-induced Brain Injury through ROS-induced NLRP3. Int. J. Mol. Med. 2019, 44, 1811–1823. [Google Scholar] [CrossRef]
- Welsh, J.A.; Goberdhan, D.C.I.; O’Driscoll, L.; Buzas, E.I.; Blenkiron, C.; Bussolati, B.; Cai, H.; Di Vizio, D.; Driedonks, T.A.P.; Erdbrügger, U.; et al. Minimal Information for Studies of Extracellular Vesicles (MISEV2023): From Basic to Advanced Approaches. J. Extracell. Vesicles 2024, 13, e12404, Correction in J. Extracell. Vesicles 2024, 13, e12451. [Google Scholar] [CrossRef]





| Characteristics | Healthy Subjects (HS, n = 15) | COVID-19 Patients (COVID-19, n = 25) | Non-Septic Infected Patients (nSIP, n = 23) | Bacterial Sepsis (SP, n = 33) | p-Value |
|---|---|---|---|---|---|
| Age, year, mean | 61 (±19.61) | 70.5 (±13.88) | 67.1 (±20.5) | 74.48 (±12.99) | 0.152 |
| Gender ratio (M/F) | 8/7 | 15/10 | 14/9 | 17/16 | 0.874 |
| Comorbidities | |||||
| Diabetes Mellitus, n (%) | 0 | 14 (56.00%) | 6 (26.09%) | 9 (28.12%) | 0.002 |
| Hypertension, n (%) | 0 | 16 (64.00%) | 9 (39.13%) | 20 (62.50%) | 0.002 |
| Obesity, n (%) | 0 | 5 (20.00%) | 2 (8.70%) | 5 (15.62%) | 0.263 |
| Cancer, n (%) | 0 | 0 | 2 (8.70%) | 7 (21.2%) | 0.008 |
| Smoking, n (%) | 2 (13.33%) | 2 (8.00%) | 2 (8.70%) | 5 (15.62%) | 0.778 |
| MAP | - | 116.9 (±18.53) | 94.50 (±15.51) | 90.60 (±15.31) | <0.0001 |
| In-hospital death, n (%) | 0 | 5 (20%) | 0 | 7 (21.2%) | 0.029 |
| SOFA score | - | 2 (2–3) | 0 (0–0) *** | 5.54 (±2.39) ***§§§§ | <0.0001 |
| Primary Site of Infections, n (%) | |||||
| Pneumonia (Respiratory) | - | 25 (100%) | 13 (39.4%) | 18 (54.5%) | <0.0001 |
| Abdominal (Gastrointestinal) | - | 0 | 2 (8.7%) | 6 (12.1%) | 0.184 |
| Urinary tract | - | 0 | 8 (34.8%) | 4 (12.1%) | 0.001 |
| Skin | - | 0 | 0 | 5 (15.1%) | 0.018 |
| Laboratory Findings | |||||
| White Blood Cell (109/L) | 5.13 (±0.55) | 6.73 (4.84–8.67) | 8.04 (5.65–12.45) | 10.04 (6.12–14.02) *° | 0.007 |
| Hemoglobin (g/dL) | 13.58 (±0.13) | 13.50 (±1.66) | 11.27 (±2.09) ** | 12.30 (9.95–13.95) | 0.007 |
| Platelets (109/L) | 210.7 (±46.42) | 187.5 (153.3–241.5) | 228.4 (±72.43) | 227 (131–302) | 0.800 |
| Creatinine (mg/dL) | 0.86 (±0.12) | 0.89 (0.80–1.11) | 0.74 (0.38–1.22) | 1.64 (1.00–2.55) *§§§ | 0.0004 |
| Bilirubin (mg/dL) | - | 0.60 (0.40–0.80) | 0.5 (0.3–0.8) | 1.10 (0.55–2) *§§ | 0.004 |
| Lactate (mmol/L) | - | 1.10 (0.80–1.50) | 1.25 (0.9–2.07) | 2.35 (1.05–5.60) ** | 0.005 |
| C-Reactive Protein (mg/L) | 3.15 (±2.17) | 80.51 (±55.98) °° | 100 (76.10–154.3) °°° | 91 (31.40–164.2) °°° | 0.0002 |
| Procalcitonin (ng/mL) | 0.02 (0.02–0.02) | 0.09 (0.06–0.18) °° | 0.22 (0.07–2.03) °°°° | 0.64 (0.14–7.19) °°°°** | <0.0001 |
Disclaimer/Publisher’s Note: The statements, opinions and data contained in all publications are solely those of the individual author(s) and contributor(s) and not of MDPI and/or the editor(s). MDPI and/or the editor(s) disclaim responsibility for any injury to people or property resulting from any ideas, methods, instructions or products referred to in the content. |
© 2026 by the authors. Licensee MDPI, Basel, Switzerland. This article is an open access article distributed under the terms and conditions of the Creative Commons Attribution (CC BY) license.
Share and Cite
Schiavello, M.; Vizio, B.; Bosco, O.; Dini, C.; Gennaro, B.; Trost, A.; Greco, E.; Randazzo, S.A.; Pivetta, E.; Mengozzi, G.; et al. Extracellular Vesicle-Derived MicroRNAs’ Value in Diagnosing and Predicting Clinical Outcomes in Patients with COVID-19 and Bacterial Sepsis. Int. J. Mol. Sci. 2026, 27, 1334. https://doi.org/10.3390/ijms27031334
Schiavello M, Vizio B, Bosco O, Dini C, Gennaro B, Trost A, Greco E, Randazzo SA, Pivetta E, Mengozzi G, et al. Extracellular Vesicle-Derived MicroRNAs’ Value in Diagnosing and Predicting Clinical Outcomes in Patients with COVID-19 and Bacterial Sepsis. International Journal of Molecular Sciences. 2026; 27(3):1334. https://doi.org/10.3390/ijms27031334
Chicago/Turabian StyleSchiavello, Martina, Barbara Vizio, Ornella Bosco, Chiara Dini, Barbara Gennaro, Anna Trost, Elisabetta Greco, Salvatore Andrea Randazzo, Emanuele Pivetta, Giulio Mengozzi, and et al. 2026. "Extracellular Vesicle-Derived MicroRNAs’ Value in Diagnosing and Predicting Clinical Outcomes in Patients with COVID-19 and Bacterial Sepsis" International Journal of Molecular Sciences 27, no. 3: 1334. https://doi.org/10.3390/ijms27031334
APA StyleSchiavello, M., Vizio, B., Bosco, O., Dini, C., Gennaro, B., Trost, A., Greco, E., Randazzo, S. A., Pivetta, E., Mengozzi, G., Montrucchio, G., Morello, F., & Lupia, E. (2026). Extracellular Vesicle-Derived MicroRNAs’ Value in Diagnosing and Predicting Clinical Outcomes in Patients with COVID-19 and Bacterial Sepsis. International Journal of Molecular Sciences, 27(3), 1334. https://doi.org/10.3390/ijms27031334

