VOCs Profiling and Quality Assessment of Milk Employing Odorant-Binding Proteins-Based Fluorescence Biosensor
Abstract
1. Introduction
2. Results and Discussion
2.1. Docking Results
Direct Docking Analysis
- Predicted binding free energy (ΔG);
- Cluster population;
- Ligand positioning within the binding site.
2.2. Fluorescence Characterization of OBPs
- A blue-shift in the emission maximum to 481 nm, along with a significant increase in fluorescence intensity.
- A decrease in the tryptophan fluorescence emission at 340 nm.
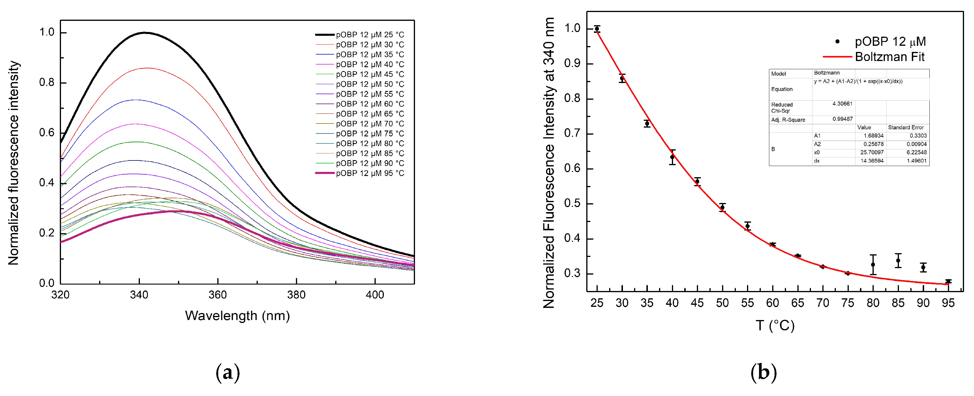
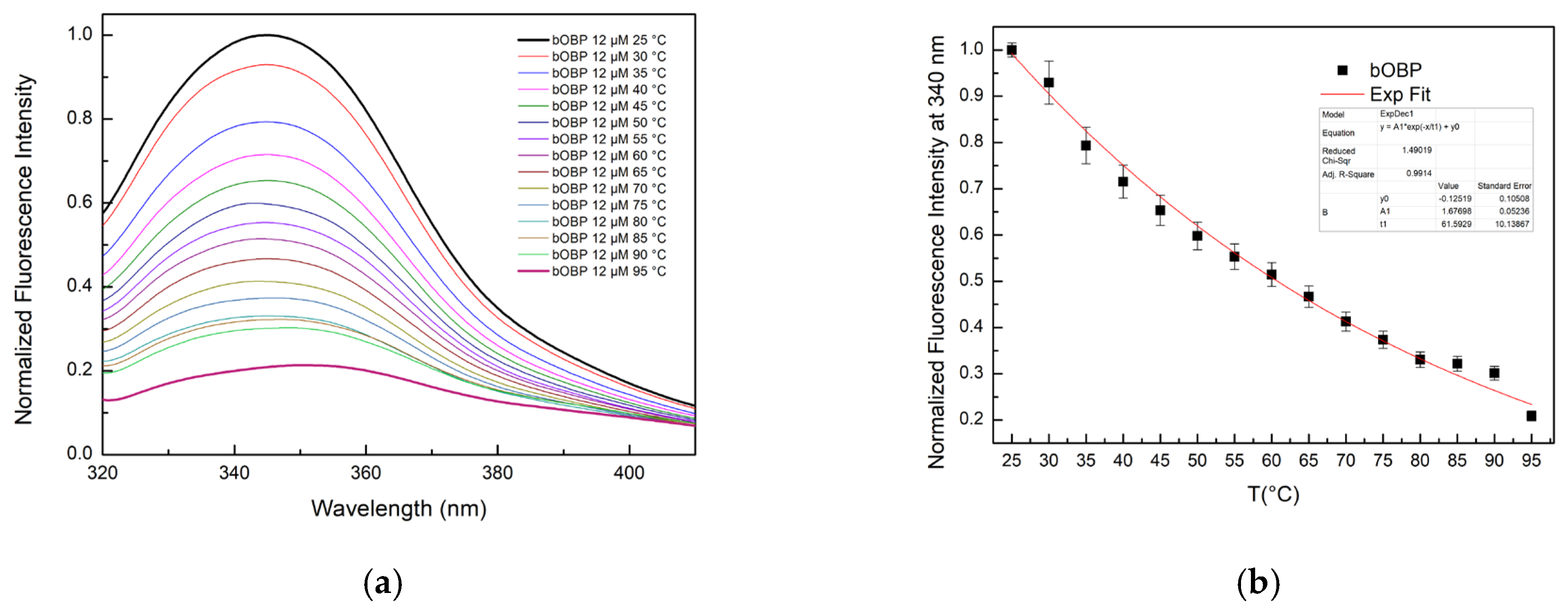
2.3. Thermal Stability of pOBP and bOBP
2.3.1. Effect of VOC Binding on Thermal Stability of pOBP and bOBP
2.3.2. Comparison of the Thermal Denaturation Curves Exhibited by pOBP and bOBP
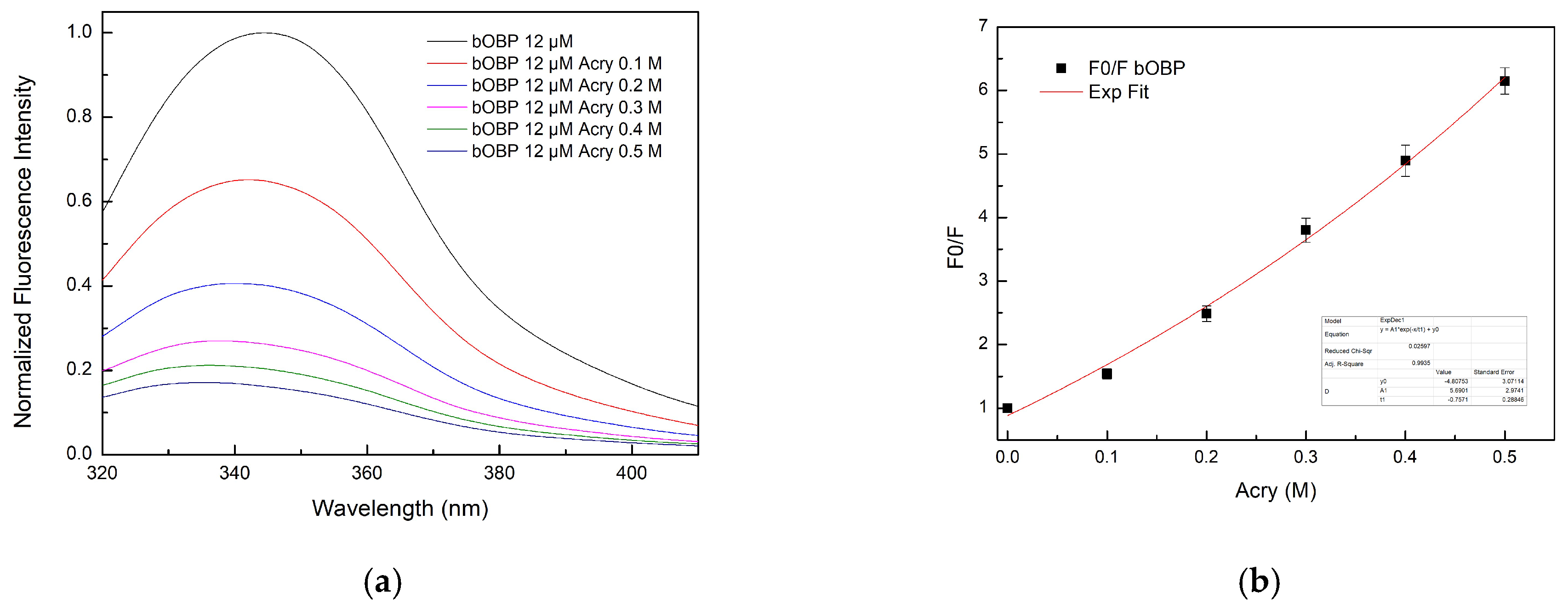
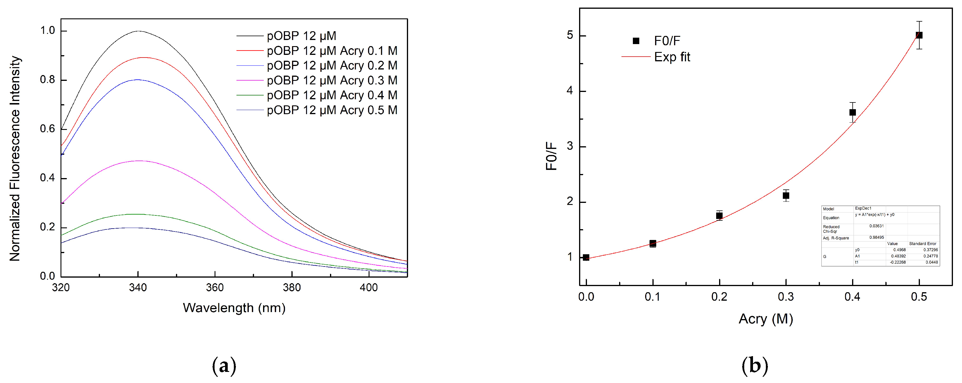
2.4. Fluorescence Quenching Studies
- F0 and F represent fluorescence intensities in the absence and in the presence of acrylamide, respectively;
- Ksv is the Stern–Volmer constant (indicative of dynamic quenching);
- [Q] is the acrylamide concentration;
- V is the static quenching constant.
2.4.1. Quenching Experiments on pOBP
2.4.2. Experiments on bOBP Fluorescence Quenching
2.4.3. Effect of VOCs on Fluorescence Quenching of pOBP and bOBP
2.4.4. Comparative Analysis of pOBP and bOBP
- pOBP: Exhibits a predominantly static quenching profile stabilized by VOCs binding.
- bOBP: Displays a dynamic quenching, which indicates higher structural flexibility and exposure of the tryptophan residues.
2.4.5. VOC Profiling in Milk Samples
2.4.6. Binding of Milk VOCs to OBPs
2.5. Impinger System Performance
3. Materials and Methods
3.1. Materials
3.2. Molecular Docking Studies
3.3. Expression and Purification of OPBs
3.4. Fluorescence Spectroscopy and FRET Assays
3.5. Thermal Stability Studies
3.6. Fluorescence Quenching Experiments
3.7. HS-SPME/GC-MS Analysis
3.8. Impinger System for VOC Capture
4. Conclusions
Supplementary Materials
Author Contributions
Funding
Institutional Review Board Statement
Informed Consent Statement
Data Availability Statement
Acknowledgments
Conflicts of Interest
References
- Kamath, R. Food traceability on blockchain: Walmart’s pork and mango pilots with IBM. J. Br. Blockchain Assoc. 2018, 1, 47–53. [Google Scholar] [CrossRef]
- O’Mahony, J.A.; Fox, P.F. Milk: An Overview. In Milk Proteins, 2nd ed.; Elsevier: Amsterdam, The Netherlands, 2014; pp. 19–73. [Google Scholar]
- Alothman, M.; Hogan, S.A.; Hennessy, D.; Dillon, P.; Kilcawley, K.N.; O’Donovan, M.; Obin, J.; Fenelon, M.A. The “Grass-Fed” Milk Story: Understanding the Impact of Pasture Feeding on the Composition and Quality of Bovine Milk. Foods 2019, 8, 350. [Google Scholar] [CrossRef]
- Richardson, I.; Duthie, C.A.; Hyslop, J.; Rooke, J.; Roehe, R. Nutritional strategies to reduce methane emissions from cattle: Effects on meat eating quality and retail shelf life of loin steaks. Meat Sci. 2019, 153, 51–57. [Google Scholar] [CrossRef] [PubMed]
- Villeneuve, M.P.; Lebeuf, Y.; Gervais, R.; Tremblay, G.F.; Vuillemard, J.C.; Fortin, J.; Chouinard, P.Y. Milk volatile organic compounds and fatty acid profile in cows fed timothy as hay, pasture, or silage. J. Dairy Sci. 2013, 96, 7181–7194. [Google Scholar] [CrossRef] [PubMed]
- Bergamaschi, M.; Bittante, G. Evolution of flavor fingerprint of milk, cream, curd, whey, ricotta, scotta, and ripened cheese obtained during summer Alpine pasture. J. Dairy Sci. 2018, 101, 3918–3934. [Google Scholar] [CrossRef]
- Natrella, G.; Gambacorta, G.; De Palo, P.; Maggiolino, A.; Faccia, M. Volatile organic compounds in milk and mozzarella: Comparison between two different farming systems. Running Title: Mozzarella VOC from different farming systems. Int. J. Food Sci. Technol. 2020, 55, 3403–3411. [Google Scholar] [CrossRef]
- Borge, G.I.A.; Sandberg, E.; Øyaas, J.; Abrahamsen, R.K. Variation of terpenes in milk and cultured cream from Norwegian alpine rangeland-fed and indoor fed cows. Food Chem. 2016, 199, 195–202. [Google Scholar] [PubMed]
- Pawliszyn, J. Solid Phase Microextraction: Theory and Practice; Wiley-VCH Inc.: New York, NY, USA, 1997. [Google Scholar]
- Ampuero, S.; Bosset, J.O. The electronic nose applied to dairy products: A review. Sens. Actuator B-Chem. 2003, 94, 1–12. [Google Scholar] [CrossRef]
- Peris, M.; Escuder-Gilabert, L. A 21st century technique for food control: Electronic noses. Anal. Chim. Acta 2009, 638, 1–15. [Google Scholar] [CrossRef]
- Steine, C.; Beaucousin, F.; Siv, C.; Peiffer, G. Potential of Semiconductor Sensor Arrays for the Origin Authentication of Pure Valencia Orange Juices. J. Agric. Food Chem. 2001, 49, 3151–3160. [Google Scholar] [CrossRef]
- Baranwal, J.; Barse, B.; Gatto, G.; Broncova, G.; Kumar, A. Electrochemical Sensors and Their Applications: A Review. Chemosensors 2022, 10, 363. [Google Scholar] [CrossRef]
- Raymundo-Pereira, P.A. Biosensors for Monitoring of Biologically Relevant Molecules. Biosensors 2023, 13, 738. [Google Scholar] [CrossRef] [PubMed]
- Camarca, A.; Varriale, A.; Capo, A.; Pennacchio, A.; Calabrese, A.; Giannattasio, C.; Murillo Almuzara, C.; D’Auria, S.; Staiano, M. Emergent biosensing technologies for analyses of high social interest. Sensors 2021, 21, 906. [Google Scholar] [CrossRef]
- Faulkner, H.; O’Callaghan, T.F.; McAuliffe, S.; Hennessy, D.; Stanton, C.; O’Sullivan, M.G.; Kilcawley, J.P. Effect of different forage types on the volatile and sensory properties of bovine milk. J. Dairy Sci. 2018, 101, 1034–1047. [Google Scholar] [CrossRef]
- Sacchi, R.; Boscaino, F.; Ghiretti, G.; Gallo, M.; Cappucci, A.; O’Sullivan, M.G.; Kilcawley, J.P. Effects of Inclusion of Fresh Forage in the Diet for Lactating Buffaloes on Volatile Organic Compounds of Milk and Mozzarella Cheese. Molecules 2020, 25, 1332. [Google Scholar] [CrossRef]
- Nespoulous, C.; Briand, L.; Delage, M.M.; Tran, V.; Pernollet, J.C. Odorant binding and conformational changes of a rat odorant-binding protein. Chem. Senses 2004, 29, 189–198. [Google Scholar] [CrossRef]
- Ziemba, B.P.; Murphy, E.J.; Hannah, T.; Edlin, D.; Jones, N.M. A novel mechanism of ligand binding and release in the odorant binding protein 20 from the malaria mosquito Anopheles gambiae. Protein Sci. 2012, 22, 11–21. [Google Scholar] [CrossRef]
- Lakowicz, J.R. Principles of Fluorescence Spectroscopy, 3rd ed.; Springer: Berlin/Heidelberg, Germany, 2006. [Google Scholar]
- Staiano, M.; D’Auria, S.; Varriale, A.; Rossi, M.; Marabotti, A.; Fini, C.; Olesya, V.; Stepanenko, I.; Kuznetsova, M.; Turoverov, K.K. Stability and dynamics of the porcine odorant-binding protein. Biochemistry 2007, 46, 11120–11127. [Google Scholar] [CrossRef]
- Marsili, R.T. SPME-MS-MVA as an electronic nose for the study of off-flavors in milk. J. Agric. Food Chem. 2002, 47, 648–654. [Google Scholar] [CrossRef]
- Li, H.L.; Zhang, L.Y.; Zhuang, S.; Ni, C.S.; Shang, H.W. Fluorescence Investigation on the Interaction of a Prevalent Competitive Fluorescent Probe with Entomic Odorant Binding Protein Spectroscopy. Letters 2013, 46, 527–534. [Google Scholar]
- Clarke, H.J.; Fitzpatrick, E.; Hennessy, D.; O’Sullivan, M.G.; Kerry, J.P.; Kilcawley, K.N. The Influence of Pasture and Non-pasture-Based Feeding Systems on the Aroma of Raw Bovine Milk. Front. Nutr. 2022, 10, 841454–841465. [Google Scholar] [CrossRef] [PubMed]
- Kaskoutis, D.; Petridis, D.; Daskas, E.; Politis, I. Effects of Intensive and Semi-Intensive Production on Sheep Milk Chemical Composition, Physicochemical Characteristics, Fatty Acid Profile, and Nutritional Indices. Animals 2021, 11, 2578. [Google Scholar] [CrossRef] [PubMed]
- Marabotti, A.; Scirè, A.; Staiano, M.; Crescenzo, R.; Aurilia, V.; Tanfani, F.; D’Auria, S. Wildtype and mutant bovine odorant-binding proteins to probe the role of the quaternary structure organization in the protein thermal stability. J. Proteome Res. 2008, 7, 5221–5229. [Google Scholar] [CrossRef] [PubMed]
















| VOC | bOBP | pOBP | Amino Acid Residues Involved in Interactions (bOBP) | Amino Acid Residues Involved in Interactions (pOBP) | ||
|---|---|---|---|---|---|---|
| ΔG | Ki | ΔG | Ki | |||
![]() l-Aminoanthracene | −7.39 kcal/mol | 3.82 μM | −7.64 kcal/mol | 2.50 μM | Thr38-Phe40-Phe54-Val89-Phe89-Ala101-His102-Asn103-Thr116-Glu117 | Ile21-Val37-Leu53-Val80-Tyr82-Phe88- Ile100-Asn102-Met114-Gly116- |
![]() 1-octen-3-ol | −4.27 kcal/mol | 738.27 μM | −4.84 kcal/mol | 284.95 μM | Ile22-Thr36-Thr38-Phe89-Ala101-His102-Asn103-Thr116-Glu117-Phe119 | Phe35-Leu53-Val80-Tyr82-Phe88-Asn102-Met114 |
![]() 1-pentanol | −2.80 kcal/mol | 8.92 μM | −3.11 kcal/mol | 5.29 μM | Ile22-Thr36-Phe40-Phe89-Ala101-His102-Asn103-Leu115-Asn117 | Ile21-Phe35-Phe88-Thr115-Gly116 |
![]() 2-butanone | −4.37 kcal/mol | 622.37 μM | −4.27 kcal/mol | 746.84 μM | Phe54-Phe89-Leu99-Ala101-His102-Phe110-Thr114-Leu115 | Ile2l-Phe35-Tyr82-Ile100-Asn102-Met114-Gly116 |
| Ligand | pOBP (Kd ± SD, μM) | bOBP (Kd ± SD, μM) |
|---|---|---|
| 1-AMA | 2.03 ± 0.13 | 2.68 ± 0.46 |
| 1-octen-3-ol | 479 ± 53 | 139 ± 45 |
| 1-pentanol | 1800 ± 1200 | 40,000 ± 1000 |
| 2-butanone | 934 ± 56 | / |
| Ligand | PBS 1X | BSA | pOBP |
|---|---|---|---|
| 2-butanone | 269.8 ± 1.6 | 276.2 ± 2.7 | 926.7 ± 10.3 |
| 1-octen-3-ol | 228.4 ± 14.0 | 226.7 ± 8.9 | 708.1 ± 2.7 |
| 1-pentanol | 229.2 ± 7.0 | 242.5 ± 5.1 | 425.0 ± 8.3 |
Disclaimer/Publisher’s Note: The statements, opinions and data contained in all publications are solely those of the individual author(s) and contributor(s) and not of MDPI and/or the editor(s). MDPI and/or the editor(s) disclaim responsibility for any injury to people or property resulting from any ideas, methods, instructions or products referred to in the content. |
© 2026 by the authors. Licensee MDPI, Basel, Switzerland. This article is an open access article distributed under the terms and conditions of the Creative Commons Attribution (CC BY) license.
Share and Cite
Giannattasio, C.; Cozzolino, R.; D’Auria, S.; Pennacchio, A. VOCs Profiling and Quality Assessment of Milk Employing Odorant-Binding Proteins-Based Fluorescence Biosensor. Int. J. Mol. Sci. 2026, 27, 1333. https://doi.org/10.3390/ijms27031333
Giannattasio C, Cozzolino R, D’Auria S, Pennacchio A. VOCs Profiling and Quality Assessment of Milk Employing Odorant-Binding Proteins-Based Fluorescence Biosensor. International Journal of Molecular Sciences. 2026; 27(3):1333. https://doi.org/10.3390/ijms27031333
Chicago/Turabian StyleGiannattasio, Cristina, Rosaria Cozzolino, Sabato D’Auria, and Angela Pennacchio. 2026. "VOCs Profiling and Quality Assessment of Milk Employing Odorant-Binding Proteins-Based Fluorescence Biosensor" International Journal of Molecular Sciences 27, no. 3: 1333. https://doi.org/10.3390/ijms27031333
APA StyleGiannattasio, C., Cozzolino, R., D’Auria, S., & Pennacchio, A. (2026). VOCs Profiling and Quality Assessment of Milk Employing Odorant-Binding Proteins-Based Fluorescence Biosensor. International Journal of Molecular Sciences, 27(3), 1333. https://doi.org/10.3390/ijms27031333





